25523-1 (675598)
Текст из файла
НЕСОСТОЯТЕЛЬНОСТЬ ТЕОРИИ ЭЛЕКТРОМАГНЕТИЗМА
И ВЫХОД ИЗ СЛОЖИВШЕГОСЯ ТУПИКА
Как известно, теория электромагнетизма, записанная в виде системы уравнений электродинамики - "Электродинамика Максвелла", призвана дать описание всей гамме электромагнитных явлений, встречающихся в природе [1(а,б,в)]. Изначально, теория электромагнетизма Максвелла была разработана в качестве единого физико-математического описания электрических и магнитных эффектов, имевших место в опытах Фарадея, а, также, как теоретическое обоснование электромагнитной природы света, распространяющегося в пространстве в виде электромагнитных поперечных волн.
Как всякая классическая теория, "Электродинамика Максвелла" обязана содержать в себе:
а) точную, единообразную, непротиворечивую физическую модель описываемых процессов, с указанием причинно.следственных связей, строго отвечающую всем известным экспериментальным данным и не приводящую к противоречиям с известными законами природы;
б) математический аппарат, строго обоснованный физической моделью, обладающий свойствами полноты и единственности решений, не противоречащий основным теоремам избранной формы реализации, дающий, без каких.либо дополнений, решения, безусловно соответствующие экспериментальным результатам.
В основе электродинамики Максвелла заложена следующая физическая модель электромагнитных процессов:
а) статические электрические заряды являются источниками статического, безвихревого электрического поля;
б) постоянные электрические токи являются источниками постоянного вихревого магнитного поля;
в) изменяющиеся во времени магнитные поля порождают в окружающем их пространстве вихревые электрические поля. При помещении в эти электрические поля металлической проволоки определенной конфигурации между концами проволоки возникает Э.Д.С. индукции;
г) изменяющиеся во времени электрические заряды порождают изменяющиеся во времени электрические токи, возбуждающие в окружающем пространстве переменные во времени магнитные поля. Магнитные поля, изменяясь во времени, порождают в окружающем их пространстве переменные во времени электрические поля. Электрические поля, изменяясь во времени, порождают в окружающем их пространстве переменные магнитные поля и т.д.; таким образом в пространстве, окружающем переменные во времени токи, возникает так называемая "электромагнитная волна", распространяющаяся в пространстве путем перекачки энергии из магнитного поля в электрическое и обратно (надо заметить, что в последние тридцать лет данная модель процесса распространения электромагнитных волн вытесняется из научно- технической литературы без какой- либо эквивалентной замены).
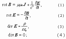
Математический аппарат электродинамики Максвелла представлен системой уравнений электродинамики Максвелла.
где:
B - вектор магнитной индукции,
E - вектор электрической напряженности,
J - вектор плотности электрического тока,
r - плотность электрических зарядов,
mmo - абсолютная магнитная проницаемость среды,
eeo - абсолютная диэлектрическая проницаемость среды,
При решении конкретных электро- и радиотехнических задач, этой системы уравнений оказалось недостаточно, вследствие чего в не╖ было введено дополнительное поле векторного потенциала магнитного поля - вектора A, определенного следующим образом:
B = rot A ,
что, в общем, не противоречит основной системе уравнений и позволяет дать дополнительное выражение для вектора напряженности электрического поля:
где: j - скалярный потенциал электрического поля.
В таком виде теория электромагнетизма представлена заинтересованным специалистам имеющимися на сегодняшний день литературными источниками [1 (а, б, в), 2 (а, в)].
Однако при исследовании физической модели процесса распространения электромагнитных волн, определяющей природу световых и радиоволн, а также, методов решения задач, связанных с вычислением величины Э.Д.С. электромагнитной индукции, выявился ряд парадоксов, не устранимых в рамках теории электромагнетизма и нуждающихся в конкретном рассмотрении.
Парадоксы теории электромагнетизма
I) Парадоксальность физической модели процесса распространения электромагнитных волн.
Как было изложено выше, распространение электромагнитных волн в пространстве осуществляется посредством взаимного преобразования изменяющегося во времени магнитного поля в электрическое, и изменяющегося во времени электрического поля в магнитное, что является основополагающим в идее электромагнетизма [1(в) т. 2 стр. 295], и определило электромагнитную природу световых и радиоволн. Однако если мы рассмотрим уравнения (1) и (2) системы уравнений электродинамики, то увидим, что для волнового решения данных уравнений, векторы E и B синфазны, т. е. энергия электрического поля и энергия магнитного поля одновременно проходят через максимум и через ноль, и, следовательно, никакого взаимного преобразования электрических и магнитных полей в пространстве и времени не происходит, что в корне противоречит самой идее электромагнетизма, как физической модели процесса распространения в пространстве электромагнитных волн. Из сказанного ясно, что в рамках электродинамики Максвелла никакой непротиворечивой физической модели процесса распространения в пространстве световых и радиоволн не существует, и природа их требует уточнения. Данную ситуацию нельзя назвать иначе, как парадоксальной.
II) Парадоксальность методики вычисления величины Э.Д.С. электромагнитной индукции.
Рассмотрим классическую методику определения величины Э.Д.С. электромагнитной индукции на примере расчета Э.Д.С. электромагнитной индукции на зажимах вторичной обмотки катушки индуктивности при протекании переменного тока в первичной обмотке катушки. Для решения этой задачи по классической методике предлагается следующая логика: под действием переменного тока, протекающего в первичной обмотке катушки индуктивности, внутри не╖ возникает переменный во времени поток вектора магнитной индукции B, а снаружи катушки, как следствие этого, возникает электрическое вихревое поле E. Под действием вихревого электрического поля E во вторичной обмотке катушки, размещенной в нем, течет электрический ток. Вектор плотности тока J определен согласно закону Ома в дифференциальной форме:
J = sE ,
где s . электропроводность материала вторичной обмотки катушки.
Из дополнительного уравнения системы уравнений электродинамики имеем:
Подставим данное выражение вектора E в выражение для вектора J :
Разделив левую и правую части полученного выражения на " s " , получим:
Но, т.к. вторичная обмотка катушки выполнена из металла, а электропроводность металлов очень велика, то при конечной плотности тока J напряженность электрического поля Е в проводнике вторичной обмотки катушки мала, и, следовательно, левую часть уравнения можно положить равной нулю.
И, следовательно:
что и является искомым выражением для определения Э.Д.С. электромагнитной индукции, дающим результаты, точно совпадающие с экспериментом.
Из данной методики видно, что правильный результат получен за счет допущения равенства нулю вектора электрической напряженности E. Обоснованием этого допущения послужила высокая электропроводность металлической обмотки и конечная величина плотности тока, индуцированного в ней. Т.е., получение правильного выражения для Э.Д.С. электромагнитной индукции жестко привязано к величине проводимости материала вторичной обмотки и, следовательно, варьируя е╖, можно ожидать соответственного изменения величины Э.Д.С. электромагнитной индукции, чего не наблюдается на практике. В случае использования в качестве материала вторичной обмотки материалов с низкой электропроводностью задача вычисления Э.Д.С. электромагнитной индукции становится, очевидно, вообще не разрешимой, т.е. условие равенства нулю вектора электрической напряженности E является принципиальным для получения выражения Э.Д.С. электромагнитной индукции, дающего результаты, не противоречащие эксперименту. Но, как следует из предлагаемой физической модели процесса электромагнитной индукции, электрическая напряженность E является первопричиной поляризации проводника вторичной обмотки катушки, т.е. внешней воздействующей силой по отношению к ней и, следовательно, не может быть приравнена к нулю. Получение выражения для Э.Д.С. электромагнитной индукции, как реакции проводника вторичной обмотки катушки на воздействие электрического поля E, исходя из равенства вектора E нулю, вступает в неустранимое противоречие с третьим законом Ньютона и принципом причинности, что является парадоксом.
Из проведенного рассмотрения классической методики получения выражения для Э.Д.С. электромагнитной индукции следует, что в рамках электродинамики Максвелла не существует непротиворечивой физической модели, способной дать описание процессов электромагнитной индукции, а предлагаемый при╖м искусственен и приводит к неустранимым противоречиям с третьим законом Ньютона и принципом причинности.
Не трудно догадаться, что такое состояние физических моделей в классической электродинамике не могло не отразиться на формализации их в виде уравнений электродинамики.
При исследовании уравнений электродинамики и методов решения полевых задач, обнаруживается пренебрежение основными положениями классической теории поля (например, утверждение об условности разделения полей на потенциальные и вихревые), что имеет место во всех общеизвестных литературных источниках (см., например [1(а)]). В результате этого допускается произвол в методах решения полевых задач, появляются решения в виде виртуальных полей, и возникает необходимость введения дополнительных калибровочных соотношений, например: калибровка Лоренца, калибровка Кулона и т. д.[1;2], без какой.либо убедительной мотивации применения той или иной калибровки, что делает применение теории непосредственно в практической деятельности проблематичным.
На основании ранее сказанного, полагаю разумным, прежде чем перейти к исследованиям уравнений электродинамики Максвелла, уточнить основные понятия классической теории поля, такие как:
1) основная задача классической теории поля;
2) определение вектора поля в классической теории поля в общем виде;
3) действие дифференциальных операторов классической теории поля на вектор поля, заданный в общем виде;
ОСНОВНЫЕ ПОНЯТИЯ КЛАССИЧЕСКОЙ ТЕОРИИ ПОЛЯ
1. Основная задача теории поля
Основной задачей классической теории поля является определение пространственного распределения векторных и (или) скалярных полей по заданному распределению источников поля в этом пространстве ("прямая" задача ).
Так же возможна постановка и "обратной" задачи, т.е. задачи определения распределения источников поля в пространстве по заданному распределению векторного поля и (или) поля скалярного потенциала в этом пространстве.
Таким образом, постановка задачи об определении распределения поля в пространстве без учета распределения источников поля бессмысленна с позиции классической теории поля в рамках основной задачи теории поля.
2. Определение вектора поля в общем виде
Из классической теории поля следует существование трех видов полей:
1) градиентное поле - вектор поля является градиентом скалярного потенциала,
2) вихревое поле - вектор поля является ротором векторного потенциала,
3) смешанное поле - вектор поля является суммой градиента скалярного потенциала и ротора векторного потенциала, что сформулировано в основной теореме классической теории поля - теореме Гельмгольца [2(а;б;в;г)].
Теорема Гельмгольца
Всякое однозначное и непрерывное векторное поле F, обращающееся в ноль в бесконечности, может быть представлено, и притом единственным образом, в виде суммы градиента некоторой скалярной функции j и ротора некоторой векторной функции A , дивергенция которой равна нулю:
F = grad j + rot A ,
Характеристики
Тип файла документ
Документы такого типа открываются такими программами, как Microsoft Office Word на компьютерах Windows, Apple Pages на компьютерах Mac, Open Office - бесплатная альтернатива на различных платформах, в том числе Linux. Наиболее простым и современным решением будут Google документы, так как открываются онлайн без скачивания прямо в браузере на любой платформе. Существуют российские качественные аналоги, например от Яндекса.
Будьте внимательны на мобильных устройствах, так как там используются упрощённый функционал даже в официальном приложении от Microsoft, поэтому для просмотра скачивайте PDF-версию. А если нужно редактировать файл, то используйте оригинальный файл.
Файлы такого типа обычно разбиты на страницы, а текст может быть форматированным (жирный, курсив, выбор шрифта, таблицы и т.п.), а также в него можно добавлять изображения. Формат идеально подходит для рефератов, докладов и РПЗ курсовых проектов, которые необходимо распечатать. Кстати перед печатью также сохраняйте файл в PDF, так как принтер может начудить со шрифтами.














