25523-1 (675598), страница 3
Текст из файла (страница 3)
Необходимо также заметить, что "выпавшие" из уравнения (11) градиентные составляющие векторов J и E сохраняют свое соотношение, имеют место быть в теории электричества, но рассмотрение физических процессов, связанных с ними, выходит за рамки данной работы, как не относящееся к вопросам магнетизма непосредственно.
Из уравнения (6) полной системы уравнений электродинамики следует, что источником электрического поля E является изменяющееся во времени поле магнитной индукции B. Перепишем уравнение (6), представив вектор E в общем виде:
но , т.к.
то из уравнения (12) получаем, с учетом замечания:
Т. е., изменяющееся во времени поле магнитной индукции B является источником только вихревой составляющей (rotP) вектора электрической напряженности E. Но, согласно уравнению (9) полной системы уравнений электродинамики :
и, следовательно,
Откуда,
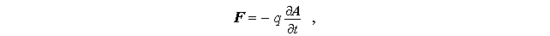
Т. е., вихревая составляющая (rotP) электрической напряженности E есть ничто иное, как частная производная по времени от векторного потенциала A магнитного поля, взятого с обратным знаком, имеющего строго вихревой характер. Рассмотрим основания, приведшие Максвелла к утверждению о том, что изменяющееся во времени магнитное поле возбуждает в окружающем пространстве вихревое электрическое поле. Как известно, основанием для изложенного утверждения послужило появление электрического тока в цепи вторичной обмотки катушки индуктивности при протекании переменного во времени тока в первичной катушке, что наблюдалось в хорошо известных опытах Фарадея. Но, т.к. вторичная обмотка катушки индуктивности была расположена таким образом, что она не контактировала непосредственно с полем магнитной индукции В первичной катушки и, как бы, охватывала область пространства, содержащую его, а из закона Ома уже было известно, что ток в проводнике возникает под действием электрической напряженности E , то и был сделан вывод о возбуждении электрического вихревого поля E в пространстве, окружающем изменяющееся во времени поле магнитной индукции B. Сам по себе, данный вывод парадоксален уже потому, что, как известно, закон Ома выполняется только во вторичной цепи и не выполняется внутри источника Э.Д.С., т.к. в н╖м ток течет навстречу напряженности электрического поля, в результате действия внешних вызывающих сил неэлектрической природы, а вторичная обмотка катушки индуктивности (в указанном эксперименте) выступает в роли источника Э.Д.С. Тем не менее, получить расчетным путем значение Э.Д.С. индукции во вторичной обмотке катушки индуктивности не удалось без введения нового поля . поля векторного потенциала A, причем, как было показано раньше, результат расчета Э.Д.С. индукции в точности совпадал с измеренной величиной, при условии, что напряженность электрического поля строго равнялась нулю. Т. е., введение понятия "вихревое электрическое поле" ничего не дало для расчетного получения значения Э.Д.С. индукции, но породило парадокс, суть которого была изложена ранее. Из опыта работы с электрическими полями заряженных тел было известно, что на металлических предметах, помещенных в электрическое поле, Э.Д.С. не возникает в следствие высокой поляризационной способности металлов, обусловленной большим количество свободных носителей электрических зарядов в них. И, наоборот, если мы хотим получить Э.Д.С. на металлических предметах, то мы должны воздействовать на них некоторой силой неэлектрической природы, например: механической, тепловой, химической и т. д., под действием которой происходит разведение электрических зарядов внутри проводника, что и вызывает возникновение в н╖м электрической напряженности E как силы, противодействующей дальнейшему разведению электрических зарядов. Равенство внешних сил неэлектрической природы, воздействующих на электрические заряды в проводнике, и электрических внутренних противодействующих сил в н╖м и есть условие равновесия. Интеграл от напряженности электрического поля E внутри проводника, взятой с обратным знаком (т.к. E = . gradj), по длине проводника является искомой Э.Д.С. Но, тогда, наличие Э.Д.С. на зажимах вторичной обмотки катушки индуктивности (при протекании электрического переменного во времени тока в первичной катушке) является необходимым и достаточным условием для утверждения того, что на электрические заряды в проводнике вторичной обмотки катушки при протекании электрического переменного тока в первичной обмотке действует сила неэлектрической природы. Если учесть, что электрическая напряженность по определению есть сила, действующая на единичный электрический заряд, то, с учетом ранее изложенных рассуждений, приходим к выводу, что на покоящийся электрический заряд, помещенный в переменное во времени магнитное поле, действует сила со стороны магнитного поля, равная скорости изменения во времени вектора - потенциала A магнитного поля, умноженной на величину электрического заряда, взятого с обратным знаком. Или:
где:
F - сила
A - векторный потенциал магнитного поля,
q - электрический заряд.
Если теперь полученное выражение для вихревой составляющей "rot P" подставить в уравнение (11), дополнив уравнением (9) из полной системы уравнений электродинамики, определяющим векторный потенциал магнитного поля, а также полученным выражением для силы, действующей на покоящиеся электрические заряды в переменном во времени магнитном поле, дописав также выражение для силы, действующей на движущиеся заряды в постоянном магнитном поле (сила Лоренца), получим полную систему уравнений магнитного поля в свободном пространстве:
или, что то же самое:
Где:
A - векторный потенциал магнитного поля,
J - вектор плотности электрического тока,
F - сила, действующая на электрические заряды в магнитном поле,
q - электрический заряд,
mmo - абсолютная магнитная проницаемость окружающей среды,
c - скорость распространения магнитного поля в окружающей среде.
Полученная система уравнений (13), (14), (15), при очевидной простоте по сравнению с системой уравнений электродинамики, дает полное, непротиворечивое описание в векторной форме как распространения и распределения магнитного поля в пространстве по заданному распределению источников поля, так и всей гаммы эффектов, связанных с электромагнитной индукцией, распространением света и радиоволн, без каких.либо дополнительных соотношений, в строгом соответствии с фундаментальными положениями классической теории поля и известными законами физики.
Примеры решения прикладных задач с помощью полученной системы уравнений магнитного поля
1. Механизм распространения магнитного поля в пространстве и перенос энергии магнитными волнами (вектор Пойнтинга).
Как известно, решением однородного волнового уравнения Даламбера в свободном пространстве для векторного потенциала магнитного поля является распространяющаяся в пространстве, окружающем источники поля, разбегающаяся, поперечная (в силу строго вихревого характера вектора A) волна запаздывающего векторного потенциала A. При удалении от первичного источника поля (передающей антенны) на расстояние, много большее размеров передающей антенны и длины волны, и размерах приемной антенны, соизмеримых с длиной волны, фронт волны воспринимается в виде плоскости, нормальной к линии "r ", проведенной от передающей антенны к приемной (линия распространения). Такие волны называются плоскими запаздывающими волнами и описываются следующим выражением:
A = Am cos (wt-kr),
где Am - амплитуда векторного потенциала магнитного поля, причем вектор A лежит в плоскости, нормальной к линии "r ".
Рассмотрим механизм распространения поперечной магнитной волны и перенос ею энергии, для чего запишем выражение вектора Пойнтинга для электромагнитных волн, предлагаемое в рамках электродинамики Максвелла.
Где:
P - мгновенная плотность потока энергии (вектор Пойнтинга),
E - вектор напряженности электрического вихревого поля,
H - вектор напряженности магнитного поля
Но, как было показано раньше, вектор напряженности вихревого электрического поля E есть ничто иное, как частная производная по времени от векторного потенциала магнитного поля, взятая с обратным знаком, и, следовательно, выражение для вектора Пойнтинга надо переписать с учетом данного замечания.
Анализируя данное выражение, приходим к выводу, что распространение магнитной волны происходит за счет перекачки энергии из поля векторного потенциала A в поле вектора магнитной индукции B и т.д. Действительно, т.к. векторный потенциал для плоской волны есть периодическая функция по пространству и времени, то оператор "rot" сводится к простому дифференцированию вектора A по линии распространения (т.е. по координате "r"), и, следовательно, вектор A и вектор B сдвинуты относительно друг друга как по пространству, так и по времени на четверть периода, что и обеспечивает распространение магнитной волны в пространстве.
Подставим в полученное выражение для вектора Пойнтинга имеющееся выражение для запаздывающего векторного потенциала A плоской поперечной магнитной волны.
Тогда,
Произведя соответственные дифференцирования, получим окончательное выражение для вектора Пойнтинга плоской поперечной магнитной волны:
Где:
w . угловая частота,
k = w/с . волновой вектор,
eeo . абсолютная диэлектрическая проницаемость среды в окружающем пространстве,














