45871 (665205)
Текст из файла
Исследование некоторых задач в алгебрах и пространствах программ
Казиев В.М.
Рассмотрим пару алгебр (A,B): алгебру X= событий - алгоритмических процедур (программ) заданную над алфавитом X={x1,x2,...,xn} и В-трехзначную алгебру логики (0,1,2 - неопределенность). В алгебре А определим двухместные операции конъюнкции и условной дизъюнкции и одноместную операцию итерации следующим образом: конъюнкция s1& s2 событий s1, s2 состоит из всех слов вида pq, pÎ s1, qÎ s2; a - дизъюнкция a (s1+s2) совпадает с s1(s2), если условие a истинно (ложно); итерация с постусловием {s}a состоит из пустого события s0=e и всевозможных слов вида p1p2...pk т.е.
, {s}a =sm, где sm - последний из степеней s, для которого условие a выполнено; итерация с предусловием a {s} определяется аналогично. В алгебре А задается событие называемое неопределенным и обозначаемое символом Æ . Элементарные события в А - события е, x1, x2,..., xn. Аксиомы алгебры А ниже рассмотрены. Все аксиомы алгебры B и правила вывода в ней сохраняются. Правила вывода, используемые в алгебре А включают правила вывода, принятые в программировании - см., например, [1]. Событие, получаемое применением конечного числа операций алгебры А над элементарными, называется регулярным.
Имеет место важная теорема Клини [2]: регулярные события и только они представимы в конечных автоматах.
Рассмотрим задачу построения алгоритма регуляризации во введенной паре алгебр (А,B). Алгоритм в укрупненных шагах состоит в следующем.
Шаг 1. Задается произвольное событие s=s0 s1 s2...sn+1, где si - событие номер i, начальное событие - s0, конечное - sn+1, остальные события - преобразователи и/или события - распознаватели.
Шаг 2. Составляется система уравнений алгебры событий А: записывается функция F события, его дерево D и дерево состояний определяющее все к путей выполнения :
, где Fi - функция ветви дерева состояний. Функция ветви дерева - композиция всех функций (событий) данной ветви; программная функция F - объединение всех функций ветвей дерева.
Шаг 3. Система уравнений с помощью подстановок и операций дизъюнкции и конъюнкции представляется в виде : X=XA+B, где X - событие, представленное заключительным состоянием sn+1,
.
Шаг 4. Находим решение системы. Используется теорема [3]: если характеристический граф матрицы А (орграф соединяющий ребрами вершины i и j только тогда, когда eÎ aij) не содержит ни одного цикла, то система X=XA+B имеет единственное решение X=B{A}, которое регулярно при регулярных A, B. При решении системы эффективно преобразовывать уравнения, - как и при решении линейных алгебраических уравнений, например, брать дизъюнкцию событий, изменять порядок исключения событий и др.
Шаг 5. По условиям выполнимости событий находим регулярную форму этого решения. Используются аксиомы алгебры логики В и соотношения алгебры событий А, например, следующие (AB=A& B, a b = a & b , a (A) - условие выполнимости события А, Aa - проверка условия a после события А и для этого условия верны все аксиомы алгебры В,
- отрицание условия a ):
Ae=eA=A,
ea =a (e)=a ,
AÆ =Æ A=Æ ,
2(A+B)=Æ ,
a (b (A))=b ,
A(BC)=(AB)C,
b (A+B)=(a (A)+
(B)),
a (b (A+B))=(b a (A))+(
(B)),
a (A+B)C=a (AC+BC),
Aa (B+C)=a (AB+AC),
a (AB)=a (A)Ba (B),
(AB)a =A(Ba ),
A{B}a ={BAa }A,
a ({A}b )={Ab }b ,
{A}a =a (e+A{A}a ),
{a (A)}
(B)={A}
B,
a {A}a {A}=a {A},
{a a {A}}=a {A},
{A}a {A}a ={A}a ,
{{A}a a }={A}a ,
{a (A)}={A}
,
{A}a +e=a {A},
Aa {A}=a {A}A={A}a .
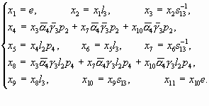
Пример 1. Регуляризуем микропрограмму А деления с фиксированной запятой. Для простоты считаем, что числа неотрицательны, а операция не приводит к переполнению разрядной сетки компьютера фон - Неймановского типа, операционный автомат которого состоит из регистров R1, R2 сумматора R3 и счетчика сдвигов R4. Делимое храниться на R1, делитель - на R2, частное накапливается на R3. Введем обозначения: li - микрооперация сдвига регистра Ri влево (i=1,2,3); s-1ij - микрокоманда вычитания из содержимого регистра Rj содержимого регистра Ri; a i - условие заполненности регистра Ri; g i - условие отрицательности содержимого регистра Ri; pi - микрооперация занесения единицы в младший разряд Ri; si,j- микрокоманда добавления содержимого регистра Ri к содержимому Rj.
Выпишем систему уравнений, обозначив через xi - событие соответствующее каждому из 11 пунктов алгоритма деления (см., например, [3]):
Решим эту систему. После очевидных подстановок, вводя обозначения:
x=x3+x7+x10 ,
B=el3s-113,
A=
g 3p2l2p4l3s-113+
g 3l2p4l3s-113
получим уравнение X=XA+B, решение которого будет X=B{A} и после упрощений с помощью приведенных аксиом, заключительное событие S равно
s=x11l3s-113{g 3(l2p4l3s13+p2 l2p4l3s13-1)}a 4
2. Рассмотрим задачу нахождения оптимальных (например, в смысле операции, длины и т.д.) структурированных программ из заданного набора базовых процедур (некоторые из них - см. в [5]), а также построения грамматик для анализа структур из программных единиц. При решении этой задачи используются аксиомы алгебры А.
Пример 2. Дана программа Р, где А,В,С - процедуры, a , b - предикаты:
P=a (BA+CA)b (Ab {A}+e)=a (B+С)Ab (Ab {A}+e)=a (B+С)Ab ({A}b +e)=a (B+С)Ab {A}=a (B+C){A}b =T.
Программа Т - более оптимальна и ее правильность доказываема формально.
Доказана теорема (доказательство не приводим из-за объема).
Теорема 1. Если R,A,S Î A, a ,b ,g Î B, A и S - коммутативны, то:
а)AX=Aa (R+SX)Û AX=A{S}a R, б)Ag =Aa (b +Sg )Û Ag =A{S}a b ,
в)Ag =Aa (b +S
)Þ Ag =A{S2}t a (b +S
),t =a +Sa ,
г)Ag =A{S2}t g Þ Ag =At (e+S2)g , g =a (b +S
), t =a +Sa .
Рассмотрим задачу исследования разрешимости в пространствах программ.
Пусть x= - программа, определенная на входном алфавите Х, выходном алфавите Y и состоящая из подпрограмм (процедур) М с логической схемой (структурой) S. Структуре S поставим в соответствие орграф: Вершины - подпрограммы, ребра - в соответствии со структурой их взаимодействий. Метрика r (x,y) в этом пространстве - сумма всех весов ребер орграфов программ не совпадающих при заданной структуре S или отклоняющихся от оптимальной структуры, т.е.
Аксиомы метрики проверяемы.
Отметим метризуемость пространства и по некоторым характеристикам качества программ Холстеда [6], а также с помощью понятия интеллектуальной работы программы, оцениваемой как разность энтропии до работы (статической формы программы) и после работы (динамической формы). У идеальной программы энтропия равна нулю. Отметим, что если ds/dt - общее изменение энтропии программного комплекса при отладке, ds1/dt - изменение энтропии за счет необратимых изменений структуры, потоков внутри комплекса (рассматриваемую как открытую систему), ds2/dt - изменение энтропии за счет усилий по отладке и тестированию, то справедливо уравнение Пригожина: ds/dt = ds1/dt + ds2/dt. Последовательность программ {xi}, сходится по схеме (структуре) к программе х (обозначим
), если r (xn,x)® 0, при n® ¥ , т.е. дерево программы xn при n® ¥ стремится к дереву программы х. Последовательность {xi} сходится функционально к программе х (обозначим
), если F(xn)® F(x) при n® ¥ (программная функция xn стремится к программной функции х). Нетрудно видеть, что из сходимости по схеме следует сходимость функциональная, но обратное неверно.
Пусть M = {x1, x2, ..., xn,...} - последовательность программ с общей функцией (эквивалентных функционально). На этом множестве рассмотрим множество операторов А преобразования (композиции, суперпозиции) программ. Последовательность {An} сходится к А функционально (по схеме, структуре), если верно: " xÎ М:
С точки зрения исследования существования, единственности оптимальной (в каком-то смысле) программы можно рассмотреть: операторы минимизации числа операндов; операторы минимизации числа типов операторов; операторы минимизации числа вызовов процедур; минимизации числа ошибок в программе; минимизации сложности (разных способов определения) и др. При исследовании программных систем важно рассматривать пространства векторов х=(х1,x2,...,xn), где xi - характеристика ошибок в программе или структурной связностипроцедур, ui - количество ошибок в i-ом модуле программного комплекса P(u)=P(u1,u2,...,un).
Пусть u(x,t) - количество ошибок, обнаруженных в программе (системе) в момент времени t, а х - характеристика уровня ошибок. Рассмотрим модель обнаружения ошибок при отладке, представимая уравнением (см. также [7]): Lu+Tu=f, где T - оператор, определяющий первоначальный уровень ошибок в программе или их некоторую характеристику, L - некоторый линейный ограниченный оператор отладки, L:U® V, U,V - линейные нормированные пространства D(L) Í U, R(L)Í V.
Теорема 2. Если R(L)=V и для каждого uÎ D(L) существует постоянная c такая, что
, то Lu+Tu=f имеет единственное решение uÎ U.
Доказательство. Условия теоремы гарантируют существование непрерывного обратного оператора L-1, причем
. Тогда u=L-1(f-Tu). Для однородного уравнения:
. Отсюда следует, что
, т.е. u=0. Следовательно, неоднородное уравнение имеет единственное решение.
Пример 3. Пусть umax - максимальный уровень синтаксических ошибок в программе Р, u(t) - их оставшееся количество к моменту времени t. Исходя из модели du/dt+l umax=0, u(t0)=u0 можно заключить, что уровень ошибок убывает при l (c-t0) ¹ -1 (t0
Если задать дополнительно u(t*)=u*, (umax - неизвестная величина), то закон изменения уровня ошибок находится однозначно, так как: с=(u*t0-u0t*)/(l u*-l u0)-1/l .
Вопросы разрешимости некоторых уравнений Lx=y, где х - неизвестная программа, y - заданная программа, L - оператор, например, оптимизации, будут изложены в другой работе.
Список литературы
Характеристики
Тип файла документ
Документы такого типа открываются такими программами, как Microsoft Office Word на компьютерах Windows, Apple Pages на компьютерах Mac, Open Office - бесплатная альтернатива на различных платформах, в том числе Linux. Наиболее простым и современным решением будут Google документы, так как открываются онлайн без скачивания прямо в браузере на любой платформе. Существуют российские качественные аналоги, например от Яндекса.
Будьте внимательны на мобильных устройствах, так как там используются упрощённый функционал даже в официальном приложении от Microsoft, поэтому для просмотра скачивайте PDF-версию. А если нужно редактировать файл, то используйте оригинальный файл.
Файлы такого типа обычно разбиты на страницы, а текст может быть форматированным (жирный, курсив, выбор шрифта, таблицы и т.п.), а также в него можно добавлять изображения. Формат идеально подходит для рефератов, докладов и РПЗ курсовых проектов, которые необходимо распечатать. Кстати перед печатью также сохраняйте файл в PDF, так как принтер может начудить со шрифтами.















