kurs (663969)
Текст из файла
Министерство Образования Российской Федерации
Тюменский Государственный Нефтегазовый Университет филиал в городе Ишиме
Курсовая работа по программированию на тему:
Линейное программирование: решение задач графическим методом
Выполнил:
студент 1 курса
АиУ-02. Афанасьев В. Ю.
Проверил:
Андреенко О.В.
Дата сдачи « » июня 2003г.
Оценка_______________
Подпись______________
Ишим 2003
Содержание:
Введение 3
Гл 1Математические основы решения задачи линейного программирования графическим способом 4
1.1 Математический аппарат 4
1.2 Геометрическая интерпретация задачи линейного программирования. 5
1.3 Этапы решения графического метода задач линейного программирования 7
Гл 2 Решение задач линейного программирования графическим способом на ЭВМ 15
2.1 Описание работы программы 15
2.1 Текст программы 20
Заключение 29
Литература 31
Рецензия 33
Введение
Линейное программирование - это наука о методах исследования и отыскания наибольших и наименьших значений линейной функции, на неизвестные которой наложены линейные ограничения. Таким образом, задачи линейного программирования относятся к задачам на условный экстремум функции. Казалось бы, что для исследования линейной функции многих переменных на условный экстремум достаточно применить хорошо разработанные методы математического анализа, однако невозможность их использования можно довольно просто проиллюстрировать.
Действительно, путь необходимо исследовать на экстремум линейную функцию
Z = С1х1+С2х2+... +СNxN
при линейных ограничениях
a11x1 + a22x2 + ... + a1NХN = b1
a21x1 + a22x2 + ... + a2NХN = b2
. . . . . . . . . . . . . . .
aМ1x1 + aМ2x2 + ... + aМNХN = bМ
Так как Z - линейная функция, то Z = Сj, (j = 1, 2, ..., n), то все коэффициенты линейной функции не могут быть равны нулю, следовательно, внутри области, образованной системой ограничений, экстремальные точки не существуют. Они могут быть на границе области, но исследовать точки границы невозможно, поскольку частные производные являются константами.
Для решения задач линейного программирования потребовалось создание специальных методов. Особенно широкое распространение линейное программирование получило в экономике, так как исследование зависимостей между величинами, встречающимися во многих экономических задачах, приводит к линейной функции с линейными ограничениями, наложенными на неизвестные.
Гл 1Математические основы решения задачи линейного программирования графическим способом
1.1 Математический аппарат
Для понимания всего дальнейшего полезно знать и представлять себе геометрическую интерпретацию задач линейного программирования, которую можно дать для случаев n =2 и n =3.
Наиболее наглядна эта интерпретация для случая n =2, т.е. для случая двух переменных
и
. Пусть нам задана задача линейного программирования в стандартной форме
Возьмём на плоскости декартову систему координат и каждой паре чисел
поставим в соответствие точку на этой плоскости.
Обратим прежде всего внимание на ограничения
и
. Они из всей плоскости вырезают лишь её первую четверть (см. рис. 1). Рассмотрим теперь, какие области соответствуют неравенствам вида
. Сначала рассмотрим область, соответствующую равенству
. Как Вы, конечно, знаете, это прямая линия. Строить её проще всего по двум точкам.
Пусть
. Если взять
, то получится
. Если взять
, то получится
. Таким образом, на прямой лежат две точки
и
. Дальше через эти две точки можно по линейке провести прямую линию (смотри рисунок 2).
Если же b=0, то на прямой лежит точка (0,0). Чтобы найти другую точку, можно взять любое отличное от нуля значение
и вычислить соответствующее ему значение
.
Эта построенная прямая разбивает всю плоскость на две полуплоскости. В одной её части
, а в другой наоборот
. Узнать, в какой полуплоскости какой знак имеет место проще всего посмотрев, какому неравенству удовлетворяет какая-то точка плоскости, например, начало координат, т.е. точка (0,0).
1.2 Геометрическая интерпретация задачи линейного программирования.
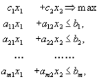
Рассмотрим задачу ЛП в стандартной форме записи:
max f(X) = с1х1 + с2х2 + ... + спхп (*)
при ограничениях
а
(**)
11х1 + а12х2 + … + а1nхn ≤ b1а21х1 + а22х2 + … + а2nхn ≤ b2
……………………………..
а
(***)
m1х1 + аm2х2 + … + аmnхn ≤ bmхj ≥ 0, j = 1, 2, …, n.
Рассмотрим эту задачу на плоскости, т.е. при п = 2. Пусть система неравенств (**), (***) совместна (имеет хотя бы одно решение):
а11х1 + а12х2 ≤ b1
а21х1 + а22х2 ≤ b2
…………..
аm1х1 + аm2х2 ≤ bm
x1 ≥ 0; х2 ≥ 0.
К
аждое неравенство этой системы геометрически определяет полуплоскость с граничной прямой аi1х1 + аi2х2 ≤ bi i = 1, m. Условия неотрицательности определяют полуплоскости соответственно с граничными прямыми x1 = 0; х2 = 0.. Система совместна, поэтому полуплоскости, как выпуклые множества, пересекаясь, образуют общую часть, которая является выпуклым множеством и представляет собой совокупность точек, координаты каждой из которых составляют решение данной системы. Совокупность этих точек называют многоугольником решений. Это может быть точка, отрезок, луч, замкнутый многоугольник, неограниченная многоугольная область.
Если в системе ограничений (**) - (***) n = 3, то каждое неравенство геометрически представляет полупространство трехмерного пространства, граничная плоскость которого аi1х1 + аi2х2 + аi3х1 ≤ bi, а условия неотрицательности — полупространства с граничными плоскостями соответственно xi = 0 (i = 1, 2, 3). Если система ограничений совместна, то эти полупространства, как выпуклые множества, пересекаясь, образуют в трехмерном пространстве общую часть, которая называется многогранником решений.
П
усть в системе (**) - (***) п > 3, тогда каждое неравенство определяет полупространство n-мерного пространства с граничной гиперплоскостью аi1х1 + аi2х2 + … + аinхn ≤ bi i = 1, т , а условия неотрицательности — полупространства с граничными гиперплоскостями xj = 0, j = 1, n.
Если система ограничений совместна, то по аналогии с трехмерным пространством она образует общую часть n-мерного пространства, называемую многогранником решений, так как координаты каждой его точки являются решением.
Таким образом, геометрически задача линейного программирования представляет собой отыскание такой точки многогранника решений, координаты которой доставляют линейной функции минимальное значение, причем допустимыми решениями служат все точки многогранника решений.
1.3 Этапы решения графического метода задач линейного программирования
Графический метод основан на геометрической интерпретации задачи линейного программирования и применяется в основном при решении задач двумерного пространства и только некоторых задач трехмерного пространства, так как довольно трудно построить многогранник решений, который образуется в результате пересечения полупространств. Задачу пространства размерности больше трех изобразить графически вообще невозможно.
Пусть задача линейного программирования задана в двумерном пространстве, т. е. ограничения содержат две переменные.
Если в ЗЛП ограничения заданы в виде неравенств с двумя переменными, она может быть решена графически. Графический метод решения ЗЛП состоит из следующих этапов.
Этап 1.
Сначала на координатной плоскости x1Ox2 строится допустимая многоугольная область (область допустимых решений, область определения), соответствующая ограничениям:
|
| (1.31) |
Не приводя строгих доказательств, укажем те случаи, которые тут могут получится.
-
Основной случай - получающаяся область имеет вид ограниченного выпуклого многоугольника (рис. 3а)).
-
Неосновной случай получается неограниченный выпуклый многоугольник, имеющий вид, подобный изображенному на рис. 3.б. Подобная ситуация, например, получится, если в рассмотренном выше примере убрать ограничение
. Оставшаяся часть будет неограниченным выпуклым многоугольником.
а)
б)
Рис. 3
Наконец, возможен случай, когда неравенства (1.31) противоречат друг другу, и допустимая область вообще пуста.
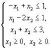
Рассмотрим теорию на конкретном примере:
Найти допустимую область задачи линейного программирования, определяемую ограничениями
Решение:
-
Рассмотрим прямую
. При
, а при
. Таким образом, эта прямая проходит через точки (0,1) и (-1,0). Беря
получим, что -0+0<1 и поэтому интересующая нас полуплоскость лежит ниже прямой, изображенной на рис. 4.а. -
Рассмотрим прямую
. При
, а при . Таким образом, эта прямая проходит через точки (0, -1/2) и (1,0). так как
(4.б). -
Наконец, рассмотри
м прямую
. Она проходит через точки (0,3) и (3,0) и так как 0+0<3, то интересующая нас полуплоскость лежит ниже прямой, изображенной на рис. 4.в.
Сводя все вместе и добавляя условия
получим рисунок 5, где выделена область, в которой выполняются одновременно все ограничения (1.32). Обратите внимание на то, что получившаяся область имеет вид выпуклого многоугольника.
Характеристики
Тип файла документ
Документы такого типа открываются такими программами, как Microsoft Office Word на компьютерах Windows, Apple Pages на компьютерах Mac, Open Office - бесплатная альтернатива на различных платформах, в том числе Linux. Наиболее простым и современным решением будут Google документы, так как открываются онлайн без скачивания прямо в браузере на любой платформе. Существуют российские качественные аналоги, например от Яндекса.
Будьте внимательны на мобильных устройствах, так как там используются упрощённый функционал даже в официальном приложении от Microsoft, поэтому для просмотра скачивайте PDF-версию. А если нужно редактировать файл, то используйте оригинальный файл.
Файлы такого типа обычно разбиты на страницы, а текст может быть форматированным (жирный, курсив, выбор шрифта, таблицы и т.п.), а также в него можно добавлять изображения. Формат идеально подходит для рефератов, докладов и РПЗ курсовых проектов, которые необходимо распечатать. Кстати перед печатью также сохраняйте файл в PDF, так как принтер может начудить со шрифтами.
















