kurs (663969), страница 2
Текст из файла (страница 2)
Этап 2.
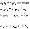
Вернёмся теперь к исходной задаче линейного программирования. В ней, кроме системы неравенств, есть еще целевая функция
.
Рис. 6
Рассмотрим прямую
. Будем увеличивать L. Что будет происходить с нашей прямой?
Легко догадаться, что прямая будет двигаться параллельно самой себе в том направлении, которое дается вектором
, так как это вектор нормали к нашей прямой и одновременно вектор градиента функции
.
А теперь сведем всё вместе. Итак, надо решить задачу
Oграничения задачи вырезают на плоскости некоторый многоугольник. Пусть при некотором L прямая
пересекает допустимую область. Это пересечение дает какие-то значения переменных
, которые являются планами.
Этап 3
Увеличивая L мы начнем двигать нашу прямую и её пересечение с допустимой областью будет изменяться (см. рис. 7). В конце концов эта прямая выйдет награницу допустимой области как правило, это будет одна из вершин многоугольника. Дальнейшее увеличение L приведёт к тому, что пересечение
Рис. 7
прямой
с допустимой областью будет пустым. Поэтому то положение прямой
, при котором она вышла на граничную точку допустимой области, и даст решение задачи, а соответствующее значение L и будет оптимальным значением целевой функции.
1.4 Примеры задач, решаемых графическим методом.
Пример:
Решить задачу
|
| (1.41) |
Решение
Допустимую область мы уже строили она изображена на рис. 5.
Повторим еще раз этот рисунок, оставив только допустимую область и
нарисовав дополнительно прямые
(см. рис. 8).
Рис. 8
Пусть, например, L=2. Тогда прямая
проходит через точки (2,0) и (0,1) и изображена на рис. 8. Будем теперь увеличивать L. Тогда прямая начнёт двигаться параллельно самой себе в направлении, указанном стрелкой. Легко догадаться, что максимальное значение L получится тогда, когда прямая пройдет через вершину многоугольника, указанную на рисунке, и дальнейшее увеличение L приведет к тому, что прямая выйдет за пределы многоугольника и её пересечение с допустимой областью будет пустым.
Выделенная вершина лежит на пересечении прямых
и поэтому имеет координаты
. Это и есть решение нашей задачи, т.е.
есть оптимальный план задачи (1.41). При этом значение целевой функции
, что и дает её максимальное значение.
Обратите внимание на то, что оптимальный план, как правило, соответствует какой-то вершине многоугольника, изображающего допустимую область. И лишь в том случае, когда прямая
случиться так, что решение не будет единственным. Но и в этом случае вершины, соответствующие границам этой стороны, дают оптимальные планы нашей задачи линейного программирования. Таким образом, вершины допустимой области играют в решении задач линейного программирования особую роль.
Рис. 9
Ну, а если допустимая область неограничена, то и значение целевой функции может быть неограниченным.
Подводя итог этим примерам, можно сформулировать следующие положения:
-
допустимая область это выпуклый многоугольник;
-
оптимум достигается в вершине допустимой области (если допустимая область ограничена и не пуста);
-
ограниченность целевой функции в допустимой области является необходимым и достаточным условием разрешимости задачи.
Гл 2 Решение задач линейного программирования графическим способом на ЭВМ
2.1 Описание работы программы
Программа написана с использованием собственных функций и процедур и трех стандартных модулей System, Crt и Graph.
При запуске программы она проверяет возможно ли использование графического интерфейса. Если это возможно то программа переходит к следующему этапу.
Далее процедурой ShowXOY Рисуется на экран координатные оси. На этом работа этой процедуры заканчивается и пользователь в следующей процедуре (EnterNerav и в частности в подпроцедуре GetNerav) предлагается ввести коэффициенты неравенства a1x+a2y=b в следующем порядке: a1 пробел a2 пробел b. Сразу после ввода всех коэффициентов процедурой ShowLine рисуется нужная линия. После нажатия [Esc] процедура EnterNerav заканчивается и передает управление процедуре EnterMainF в которой пользователю предлагается ввести коэффициенты целевой функции. Далее работа переходит к процедуре GetResult где идет подсчет оконцательного товета с помощбю процедуры SolveOprtel где считаетя определитель т. е. точки пересечения целевой функции с каждой линией ограничения. Далее выводится ответ, если это возможно.
Далее следует описание используемых стандартных процедур и функций.
Процедуры и функции модуля System:
Function Frac(X : Real) : Real;
Возвращает дробную часть аргумента.
Параметр X - выражение вещественного типа. Результат - дробная часть X, то есть Frac(X) = X-Int(X).
Procedure Str(X [: Width [: Decimals ]]; Var S : String);
Преобразовывает число в строку. Преобразовывает числовое значение X в строковое представление этого числа, которое можно выводить операторами типа Write и OutText.
Function Round(X : Real) : Longint;
Округляет значение вещественного типа до значения целочисленного типа. X - выражение с реальным типом. Round возвращает значение типа Longint, которое является значением X, округленного к самому близкому целому числу. Если X – ровно посередине между двумя целыми числами, то результатом будет число с самой большой абсолютной величиной.
Если округленное значение X ненаходится внутри допустимого диапазона Longint, то происходит ошибка во время выполнения программы.
Модуль Crt:
В модуле Crt находятся мощные подпрограммы, которые дают вам возможность полного управления возможностями вашего PC.
Подпрограммы модуля Crt обеспечивают контроль над текстовыми режимами экрана, расширенными кодами клавиатуры, цветами, окнами и звуком.
Crt может использоваться только в программах, предназначенных для IBM PC, AT, PS/2 и полностью совместимых.
Procedure Read( [ var F : Text; ] V1 [ , V2, …, VN ]); (текстовые файлы)
Читает одну или более величин из текстового файла в одну или более переменных. Параметры: F - необязательная переменная текстового файла, если не указана, то используется стандартная переменная Input; V1,...,VN - переменные типа Char, Integer, Real или String.
В случае переменной типа Char процедура Read считывает из файла один символ и присваивает его переменной. В случае переменной целого типа процедура Read ожидает поступления последовательности символов, образующих число со знаком, согласно принятому в Паскале синтаксису. Любые пробелы, знаки табуляции или метки конца строки, предшествующие числовой строке, пропускаются. Считывание прекращается при обнаружении первого пробела, символа табуляции или метки конца строки, которые следуют за числовой строкой, или в том случае, если функция Eof(F) принимает значение True. Если числовая строка не соответствует ожидаемому формату, то происходит ошибка ввода-вывода, в противном случае переменной присваивается считанное значение. Если Eof(F) принимала значение True перед выполнением процедуры Read, или Eof(F) приняла значение True при пропуске начальных пробелов, знаков табуляции или меток конца строки, то переменной присваивается нулевое значение. Следующая операция Read начнется с пробела, символа табуляции или метки конца строки, которыми завершилась числовая строка.
В случае переменной вещественного типа процедура Read ожидает поступления последовательности символов, которые образуют число со знаком в соответствии с принятым в Паскале синтаксисом за исключением того, что шестнадцатиричное представление не допускается. Любые пробелы, знаки табуляции или метки конца строки, предшествующие числовой строке, пропускаются. Считывание прекращается при обнаружении первого пробела, символа табуляции или метки конца строки, которые следуют за числовой строкой или в том случае, если функция Eof(F) принимает значение True. Если числовая строка не соответствует ожидаемому формату, то происходит ошибка ввода-вывода, в противном случае переменной присваивается считанное значение.
Если Eof(F) принимало значение True перед выполнением процедуры Read, или Eof(F) приняло значение True при пропуске начальных пробелов, знаков табуляции или меток конца строки, то переменной присваивается нулевое значение. Следующая операция Read начнется с пробела, символа табуляции или метки конца строки, которыми завершилась числовая строка.
Procedure Write( [ var F : Text; ] P1 [ , P2,…, PN ] ); (текстовые файлы) Записывает одну или более величин в текстовый файл. F - переменная текстового файла, если не указана, то предполагается использование стандартной файловой переменной Output, P1,...,PN - параметры записи, которые содержат выводимые выражения типов Char, Integer, Real, String, Packed String или Boolean. Параметр записи также может содержать спецификацию ширины поля и количество десятичных знаков. Параметр записи имеет следующий вид: OutExpr [ : MinWidth [ : DecPlaces ] ], где OutExpr представляет собой выводимое выражение, MinWidth - целое число, задающее минимальную ширину поля, которая должна быть больше нуля. Записывается ровно столько символов, сколько определено в MinWidth (при необходимости используются ведущие пробелы) за исключением случаев, когда OutExpr имеет значение, которое должно быть представлено большим количеством символов, чем указано в MinWidth. В этом случае записывается количество символов, достаточное для представления выводимой величины. Аналогично, если параметр MinWidth опущен, то записывается необходимое количество символов. DecPlaces задает число десятичных знаков в представлении вещественного значения с фиксированной точкой. Оно может указываться только в том случае, если OutExpr имеет тип Real, и указан параметр MinWidth. Если параметр MinWidth указан, то он должен быть больше или равен нулю.
Модуль Graph находится библиотека, состоящая из более чем 50 графических подпрограмм от побитовых до подпрограмм высокого уровня.
Procedure SetColor(Color : Word);
Устанавливает текущий цвет, используя палитру. SetColor(5) делает пятый цвет в палитре цветом текущего рисунка. Цвет может быть задан числом от 0 до 15 (для стандартных драйверов), в зависимости от текущего графического драйвера и текущего графического режима.
Procedure Line(X1, Y1, X2, Y2 : Integer);
Рисует линию из точки с координатами (X1, Y1) в точку с координатами (X2, Y2). Рисует линию стилем и толщиной, определенными SetLineStyle и использует цвет, установленный обращением к процедуре SetColor.
Последовательность операторов
















