25185 (654631)
Текст из файла
Міністерство освіти і науки України
Волинський національний університет ім. Лесі Українки
географічний факультет
Реферат на тему:
«Оцінка точності при параметричному методі врівноваження »
Виконала:
Студентка 25 групи ЗІК
Витрикуш Анастасія
Володимирівна
Викладач:
Бліндер Ю. С.
Луцьк- 2010
План
Вступ.
-
Суть завдання врівноваження геодезичних побудов.
-
Основні способи врівноваження геодезичних побудов.
-
Суть і послідовність врівноваження параметричним способом.
-
Оцінка точності при парметричному методі врівноваженні.
Висновок
Список використаної літератури
Вступ
Геодезія займається вивченням Землі в геометричному відношенні. Назва геодезія походить від грецьких слів: гео-земля та дазаман-ділю, тобто Землі розділення. Звідси видно, що геодезія дуже близька до геометрії-науці про вимір. Обидві ці науки зародилися в далекій давнині. З розвитком людського суспільства геометрія стала займатися вивченням просторових форм, а практична частина в додатку до питань виміру на землі отримала назву геодезія.
Геодезія у свою чергу тісно пов'язана з картографією-наукою про складання карт. Геодезичні матеріали служать основою для складання карт. Завданням геодезії є вивчення деталей земної поверхні. У результаті вивчення отримують плани, карти та числові характеристики, що відносяться до Землі в цілому і окремих дільницях, лініях і точкам на ній. У геодезії вивчаються способи та інструменти, що застосовуються при вимірюванні кутіві довжин ліній.
Матеріали геодезичних робіт у вигляді планів, карт і числових величин (координат і висот) точок земної поверхні мають велике застосування в різних галузях народного господарства. Усяке споруда проектують з урахуванням наявних на місцевості контурів споруд, доріг, водних джерел, ґрунту. Тому для проектування необхідний план місцевості з докладним відображенням всіх деталей. Проектування та будівництво сіл, міст, залізних і шосейних доріг не можна виконувати без геодезичних матеріалів. Геодезичні роботи за змістом і характером поділяються на дві стадії: 1. польові вимірювальні роботи із застосуванням сучасної геодезичної техніки. 2. обчислювальна обробка результатів вимірювань, графічне складання та оформлення планів і карт.
Винятково велике значення планова-картографічний матеріал має в сільському господарстві. Землевпорядні органи займаються проблемою раціонального використання землі.
Перед сільським господарством стоять завдання зрошення, осушення земельних ділянок, поведінка заходів щодо боротьби з ерозією грунтів та ін всі ці питання можна вирішити тільки з використанням геодезії. Для вирішення багатьох питань необхідні плани, карти, що відображають рельєф, межі видів ґрунтів, рослинності, водойм та ін Методи вивчення Землі в цілому, як планети значно відрізняються від методів вивчення окремих ділянок поверхні. Земля є сферичне тіло, отже, досліджуючи її в цілому або великих її ділянок необхідно враховувати сферичність, що і вивчає наука вища геодезія.
Суть завдання врівноваження геодезичних побудов
Геодезичні побудови створюються для забезпечення єдиної системи координат і висот, для визначення взаємного положення точок, що знаходяться на земній поверхні, під і над нею. При цьому об'єкти можуть бути нерухомими (рівновага об'єктів) або знаходиться в русі.
Геодезичними побудовами є різні геометричні фігури, в яких вимірюються довжини ліній, кути, перевищення. Розрізняють такі геодезичні побудови:
-
ряди і мережі тріангуляції, трилатерації, лінійно-кутові мережі;
-
ходи і мережі полігонометричні, нівелірні, теодолітні, висотно теодолітні;
-
просторові геодезичні і космічні мережі і ін.
У цих мережах прямим або непрямим способом вимірюються різні елементи, які дають можливість знайти невідомі параметри (координати і висоти), що характеризують взаємне положення вершин геометричних фігур в просторі. У будь-якому геодезичній побудові вимірюються k невідомих величин, які вистачає для відшукання невідомих нам параметрів. Наприклад, в мережі тріангуляцію досить знати один базис і виміряти по два кути в кожному трикутнику (рис. 1).
Рис.1 – Необхідні величини.
Крім того, вимірюються r надлишкових (додаткових) величин, необхідних для відбракування грубих вимірів, підвищення точності визначення шуканих параметрів і для оцінки точності вимірів і визначуваних параметрів (рис. 2). Наприклад, в приведеній раніше мережі тріангуляції необхідно виміряти додатково треті кути в трикутниках і вихідний (останній) базис і так далі.
Рис. 2 Необхідні і надлишкові величини.
Надлишкові величини пов'язані з необхідними математичними співвідношеннями. Наприклад, в даній мережі тріангуляції сума кутів в кожному трикутнику повинна бути рівна 180˚. Або b1 і b2 зв'язані між собою трикутниками, вирішення яких виробляється по теоремі синусів.
Всього в кожній побудові виконується n = k + r вимірів. Слід мати на увазі, що для визначення координат кожної точки необхідно виконати по 2 виміри, а для визначення висот кожної точки – по одному виміру.
Всі виміри n = k + r елементів геодезичної побудови супроводяться похибками (випадковими і систематичними). Тому виміряні значення елементів мережі відрізняються від їх дійсних значень, а з цього виходить, що математичні співвідношення між значеннями елементів в мережі не дотримуються.
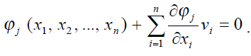
Нехай для елементів Xi отримані результати вимірів xi. Ці результати є функціями його елементів. Обчислене по виміряних елементах значення параметра y=f(x1, x2 ..., xn) відрізняється від його дійсного значення
Y=f(X1, X2 ..., Xn) і має дійсну похибку ∆y=y-Y.
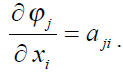
Ця похибка ∆y функціонально залежить від похибок виміру елементів ∆i. До того ж кожен параметр може бути знайдений по різних комбінаціях k елементів з n виміряних. Значень одного і того ж параметра, що набувають при цьому, будуть різні.
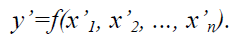
Елементи геодезичної побудови зв'язані між собою різними геометричними умовами, які можна записати в наступному вигляді:
Ці рівняння називаються умовними рівняннями або рівняннями зв'язку. При підстановці в умовні рівняння виміряних значень елементів отримують нев'язки.
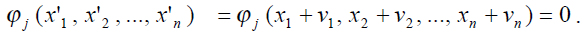
Якщо нев'язки wj не перевищують допустимого значення, то виміри вважаються виконаними правильно. У такому разі виміри зрівнюються для усунення нев'язок, визначення зрівняних значень елементів xi і оцінки їх точності. Це основні завдання зрівнювання. При підстановці зрівняних значень елементів x’i в умовні рівняння отримуємо:
Параметр геодезичної побудови, обчислений по зрівняних елементах, набуває лише одне значення
Крім того, зрівняні значення елементів володіють меншою (по абсолютній величині) похибкою, чим виміряні значення елементів, тобто
,
Таким чином, врівноваження забезпечує:
-
однозначне визначення параметрів геодезичної побудови;
-
підвищення точності визначення елементів і параметрів побудови.
Зрівнювання геодезичних побудов виконується в тих випадках, коли:
-
відомі вихідні дані, яких вистачає для обчислення визначуваних параметів побудови;
2 ) виконано n вимірів, причому n>k (k – число необхідних вимірів);
3) серед виміряних n елементів побудови є k величини, необхідні і достатні для відшукання визначуваних параметрів.
Основні способи врівноваження геодезичних побудов
Основними є два способи зрівнювання:
1) параметричний спосіб (спосіб необхідних невідомих);
2) коррелатний спосіб (спосіб умов).
Окремі способи зрівнюваннями, що мають свої назви, є видозміни або різні комбінації цих способів (зрівнювання вимірів однієї величини, групове зрівнювання, параметричний спосіб з надлишковими невідомими, спосіб умов з додатковими невідомими і ін.)
Параметричний спосіб заснований на тому, що кожен елемент геодезичної побудови xi функціонально пов'язаний з системою незалежних між собою параметрів y1, y2, ..., yk, достатніх для визначення взаємного положення пунктів геодезичної побудови, тобто
де Xi і Yj – дійсні значення елементів і параметрів геодезичної побудови. При зрівнюванні параметричним способом визначають зрівняні значення параметрів y’1, y’2, ..., y’k, необхідних для представлення всіх елементів геодезичної побудови в наступному вигляді:
де xi і vi – виміряне значення i-того елементу побудови і поправка до нього. З цього рівняння отримують систему початкових рівнянь поправок або параметричні рівняння:
Для приведення цих рівнянь до лінійного вигляду знаходимо наближені значення невідомих параметрів y1, y2 ..., yk і представляємо їх зрівняні значення у вигляді:
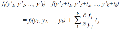
де tj – невеликі по абсолютній величині поправки до наближених значень параметрів.
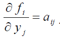
Розкладемо функцію fi(y’1, y’2, ..., y’k) в ряд Тейлора і, обмежуючись лише лінійними членами, отримаємо:
Приймемо, що
Тоді
Отже,
Приймемо, що
тобто li – це різниця між елементами, обчисленими по наближених параметрах і їх виміряними значеннями. Тоді отримаємо систему параметричних рівнянь поправок в лінійному вигляді
Число цих рівнянь дорівнює числу n виміряних величин, а число невідомих параметрів – k, причому k Зрівнювання параметричним способом полягає у відшуканні поправок t1, t2, ..., tк наближених значень шуканих параметрів у1, у2, ..., уk, їх зрівняних значень у’1 у’2 ., у’k і х’1, х’2 ., х’n, а також в оцінці точності результатів врівноваження. Коррелатний спосіб зрівнювання полягає у вирішенні системи r незалежних умовних рівнянь, що виникають при вимірі r надлишкових елементів в геодезичній побудові. Умовне рівняння має вигляд: де wj – нев'язки в умовних рівняннях. Для приведення умовних рівнянь до лінійного вигляду приймемо, що: де xi і vi – виміряне значення i-того елементу геодезичної побудови і поправка до нього. Поправки vi усувають нев'язку wj (умова зрівнювання). Тоді: Поправки vi малі по абсолютній величині порівняно із значеннями елементів, тому розкладемо функцію f(x’i) в ряд Тейлора і обмежуючись лише членами першого порядку отримаємо: Приймемо, що
(1)
Характеристики
Тип файла документ
Документы такого типа открываются такими программами, как Microsoft Office Word на компьютерах Windows, Apple Pages на компьютерах Mac, Open Office - бесплатная альтернатива на различных платформах, в том числе Linux. Наиболее простым и современным решением будут Google документы, так как открываются онлайн без скачивания прямо в браузере на любой платформе. Существуют российские качественные аналоги, например от Яндекса.
Будьте внимательны на мобильных устройствах, так как там используются упрощённый функционал даже в официальном приложении от Microsoft, поэтому для просмотра скачивайте PDF-версию. А если нужно редактировать файл, то используйте оригинальный файл.
Файлы такого типа обычно разбиты на страницы, а текст может быть форматированным (жирный, курсив, выбор шрифта, таблицы и т.п.), а также в него можно добавлять изображения. Формат идеально подходит для рефератов, докладов и РПЗ курсовых проектов, которые необходимо распечатать. Кстати перед печатью также сохраняйте файл в PDF, так как принтер может начудить со шрифтами.
















