25185 (654631), страница 2
Текст из файла (страница 2)
Тоді
Підставивши отримане рівняння у формулу 1 отримаємо систему умовних рівнянь поправок в лінійному вигляді:
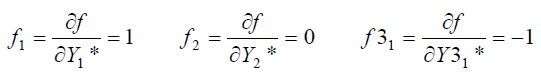
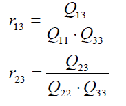
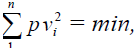
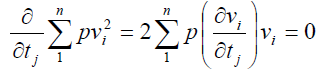
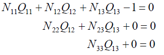
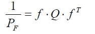
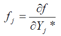
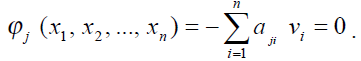
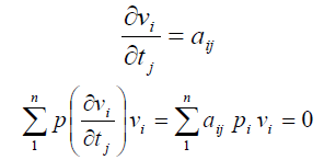
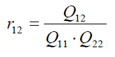
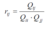
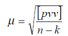
Дана система r рівнянь з n невідомими є невизначена, оскільки r Параметричний спосіб зрівнювання і спосіб умов є еквівалентними за однакових додаткових умов, тобто приводять до однакових значень зрівняних елементів геодезичної побудови. Суть і послідовність врівноваження параметричним способом При побудові геодезичних мереж на місцевості закріплюються пункти, координати і висоти яких є шуканими величинами. Як правило, при зрівнюванні геодезичних мереж параметричним способом шукані параметри приймаються: 1) координати X і Y пунктів при зрівнюванні планових мереж; 2) висоти Н пунктів при врівноваженні висотних мереж. Елементами геодезичних мереж є вимірювані на місцевості горизонтальні кути, довжини ліній, перевищення між точками, введемо наступні позначення (k Yj (j = 1, k) – дійсні значення шуканих параметрів або необхідних невідомих; y* j (j = 1, k) – зрівняні значення параметрів; yj (j = 1, k) – наближені значення параметрів; tj (j = 1, k) – поправки в наближені значення параметрів; Xi (i = 1, n) – дійсні значення елементів мережі; x*i (i = 1, n) – зрівняні значення елементів; vi (i = 1, n) – поправки у виміряні значення елементів мережі; aij (i = 1, n; j = 1, k) – коефіцієнти параметричних рівнянь поправок; li (i = 1, n) – вільні члени параметричних рівнянь поправок; 10) Pi (i = 1, n) – ваги результатів вимірів. При врівноваженні параметричним способом складається система параметричних рівнянь поправок де Вирішення системи параметричних рівнянь поправок полягає у відшуканні вектора поправок Т до наближених значень параметрів yj (j = 1, k) за умови де Для відшукання min функції необхідно прирівняти до нуля її першу похідну і вирішити отримані рівняння. У нашому випадку: З системи параметричних рівнянь поправок виходить, що Покажемо, що умова Рівносильно умові Отже: Помножимо рівняння AT + L = V зліва на або враховуючи умову Отримана система k рівнянь з k невідомими параметрами tj називається системою нормальних рівнянь. Матриця коефіцієнтів системи нормальних рівнянь має вигляд: Отримана матриця: квадратна матриця порядку k; симетрична матриця; позитивно визначена рангу k; неособлива. В результаті вирішення системи нормальних рівнянь отримуємо поправки tj до наближених значень параметрів yj, а потім по формулі y*j = yj + tj зрівняні значення параметрів. Поправки vi до виміряних значень елементів мережі xi обчислюються за формулою: Потім обчислюються зрівняні значення елементів мережі: Контроль вирішення системи нормальних рівнянь обчислення поправок vi і зрівняних значень x*i і y*j виробляється по формулі: тобто по зрівняних значеннях параметрів ще раз обчислюють зрівняні значення елементів мережі. Недотримання цієї контрольної рівності може відбуватися із-за помилок в обчисленнях або унаслідок недостатньої точності наближених значень параметрів yj. У першому випадку необхідно відшукати і виправити помилки в обчисленнях. У другому випадку зрівняних значень y*j слід набути як наближені значення і з ними повторити весь процес зрівнювання. Ознакою недостатньої точності наближених значень параметрів є недопустимо великі значення поправок tj. У цих випадках не можна нехтувати нелінійними членами розкладання функції в ряд Тейлора при обчисленні коефіцієнтів параметричних рівнянь поправок. Оцінка точності при параметричному методі врівноваження. Визначення середньої квадратичної погрішності одиниці ваги. Визначається по формулі: де n – число виміряних величин; k – число необхідних вимірів. Середня квадратична похибкам визначення m обчислюється за формулою: Величина [pvv] або по алгоритму Гауса – при вирішенні системи нормальних рівнянь до основної системи NT + L = 0 додається ще одне рівняння Знов отримана система k+1 рівнянь з k+1 невідомими зберігає всі властивості нормальних рівнянь, причому останній діагональний елемент 2) по обчислених поправках v – обчисливши поправки V = AT + L, де А – матриця коефіцієнтів рівнянь поправок. Обчислимо величину [pvv] за формулою: 3) по значеннях вільних членів l в рівняннях поправок і поправках v – знаючи поправки v в результати вимірів і вільні члени l рівнянь поправок знайдемо [pvv] по формулі: або Обчислення середніх квадратичних похибок зрівняних значень параметрів. Виразимо невідомі Т у вигляді лінійних функцій вільних членів нормальних рівнянь за допомогою зворотної матриці: Позначимо Тобто Для будь-якого ti можна записати У параметричному способі зрівнювання елементи зворотної матриці Q є ваговими коефіцієнтами. При цьому всі діагональні елементи Qij завжди позитивні і називаються квадратними, а Qij = Qji, тобто матриця симетрична. Середня квадратична погрішність зрівняного значення параметрів Yj* (j = 1,k) обчислюється за формулою: Вагові коефіцієнти Qij визначаються вирішенням системи рівнянь N·q – E = 0. Для цього в таблиці вирішення нормальних рівнянь по алгоритму Гауса додаються стовпці з коефіцієнтами одиничної матриці. Наприклад, для i = 1 маємо: Після завершення всіх перетворень обчислимо Q11, Q12 і Q13 також, як і невідомі. При цьому замість графи L використовується додаткова графа Q1j. Використовуючи коефіцієнти нормальних рівнянь можна довести, що зворотна вага j-того параметра визначається по формулі: Тоді Обчислення середньої квадратичної погрішності зрівняних значень виміряних величин. Середня квадратична погрішність обчислюється за формулою: де Pfi – вага зрівняного значення виміряної величини xi*. Виразимо xi* через зрівняні значення параметрів Yj* і визначимо коефіціенти Наприклад, Зворотна вага функції 1/Рf обчислюється безпосередньо в графові F за допомогою вагових функцій fi, узятих із зворотним знаком. Крім того: Обчислення коефіцієнтів кореляції між зрівняними значеннями параметрів. Тоді Висновок Геоде́зія (у перекладі з грецької — «землерозділення) — наука про методи визначення фігури і розмірів Землі, зображення земної поверхні на планах і картах і точних вимірювань на місцевості, пов'язаних з розв'язанням різних наукових і практичних завдань. Виділяють вищу геодезію (вивчає фігуру, розміри і гравітаційне поле Землі, а також теорію й методи побудови опорної геодезичної мережі), топографію та прикладну геодезію (використання методів і техніки геодезії для розв'язання спеціальних вимірювальних завдань у різних галузях господарства). Геодезія тісно пов'язана з математикою, фізикою, радіоелектронікою, радіотехнікою, геофізикою, астрономією, картографією, географією, геоморфологією. Геодезичні побудови створюються для забезпечення єдиної системи координат і висот, для визначення взаємного положення точок, що знаходяться на земній поверхні, під і над нею. При цьому об'єкти можуть бути нерухомими (рівновага об'єктів) або знаходиться в русі. Врівноваження забезпечує: однозначне визначення параметрів геодезичної побудови; підвищення точності визначення елементів і параметрів побудови. Зрівнювання геодезичних побудов виконується в тих випадках, коли: 1)відомі вихідні дані, яких вистачає для обчислення визначуваних параметів побудови; 2 ) виконано n вимірів, причому n>k (k – число необхідних вимірів); 3) серед виміряних n елементів побудови є k величини, необхідні і достатні для відшукання визначуваних параметрів. Основними є два способи зрівнювання: 1) параметричний спосіб (спосіб необхідних невідомих); 2) коррелатний спосіб (спосіб умов). Окремі способи зрівнюваннями, що мають свої назви, є видозміни або різні комбінації цих способів (зрівнювання вимірів однієї величини, групове зрівнювання, параметричний спосіб з надлишковими невідомими, спосіб умов з додатковими невідомими і ін.) При побудові геодезичних мереж на місцевості закріплюються пункти, координати і висоти яких є шуканими величинами. Як правило, при зрівнюванні геодезичних мереж параметричним способом шукані параметри приймаються: 1) координати X і Y пунктів при зрівнюванні планових мереж; 2) висоти Н пунктів при врівноваженні висотних мереж. Параметричний спосіб зрівнювання і спосіб умов є еквівалентними за однакових додаткових умов, тобто приводять до однакових значень зрівняних елементів геодезичної побудови. Список використаної літератури Геодезія. Підручник. Частина друга / А. Л. Островський, О. І. Мороз, В. Л. Тарнавський; За заг. ред. А. Л. Островського. Львів: Видавництво Львівської політехніки, 2008. 564 с. Вища геодезія. Підручник/ Савчук С. Г. – Житомир, 2005. – 315 с. Геодезія. Підручник. Порицький. 2007.-260с.
- матриця коефіцієнтів параметричних рівнянь поправок розміром k*n;
- вектор поправок до вектора наближених значень параметрів yj;
- вектор вільних членів системи параметричних рівнянь поправок l= f(y1, y2 ., yk) – xi;
- вектор поправок до вектора виміряних елементів мережі xi.
- вагова матриця або матриця вагів результатів вимірів розміром n*n.
і отримаємо:
може бути знайдена різними шляхами:
Тому після виключення всіх невідомих ti отримаємо:
Тоді
Тоді
.
















