23069 (653366)
Текст из файла
Оценка возможностей метода переходных процессов при изучении верхней части геологического разреза
Н. О. Кожевников, А. Е. Плотников
Введение
Метод переходных процессов (МПП) является одним из наиболее востребованных в современной электроразведке. Исторически он был изобретен и разрабатывался в связи с потребностями поисков и оценки рудных тел высокой электропроводности, залегающих на глубинах от первых десятков до сотен метров. При изучении горизонтально-слоистых сред или субгоризонтальных геоэлектрических неоднородностей, прежде всего при решении задач нефтяной геофизики, применяется аналог метода переходных процессов - зондирование становлением поля в ближней зоне (ЗСБ), занявшее прочное место в структурной электроразведке.
В 70-х гг. прошлого столетия В. А. Сидоров и др. [18, 19] постулировали возможность использования зондирования методом переходных процессов для картирования малых глубин и решения задач гидрогеологии. Примерно в это же время в связи с появлением аппаратуры "Импульс" и "Каскад" в области малоглубинных ЗСБ были получены первые практические результаты. С тех пор объем малоглубинных исследований методом переходных процессов неуклонно возрастал [2, 11, 29, 30]. В последнее десятилетие освоен микросекундный диапазон регистрации неустановившихся сигналов [1, 20], что позволило существенно расширить круг задач, решаемых с помощью импульсной индуктивной электроразведки.
Таким образом, одно из актуальных направлений развития МПП связано со стремлением уменьшить его глубинность в связи с потребностями инженерной геологии и гидрогеологии, геоэкологии, а также при решении геотехнических проблем. Хотя в последние годы появилось большое число публикаций, посвященных описанию результатов применения МПП для изучения верхней части геологического разреза (ВЧР), практически отсутствуют работы, где бы давалась оценка реальных возможностей, или - если посмотреть на проблему с другой стороны - ограничений метода переходных процессов именно при исследовании малых глубин. В данной статье на основе простой модели и наглядного подхода предпринята попытка до некоторой степени восполнить указанный пробел.
Оценка начального времени регистрации переходного процесса
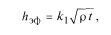
На рис. 1, а изображена установка для осуществления зондирований методом переходных процессов, включающая генераторную и приемную горизонтальные незаземленные петли/рамки. Установка расположена на поверхности однородного проводящего полупространства с удельным электрическим сопротивлением р. Как известно [14], эффективную глубину зондирований (в метрах) можно оценить по формуле
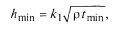
где р - удельное сопротивление зондируемого полупространства, Ом-м; t - временная задержка, с; k1 - коэффициент. По данным разных авторов оптимальное зна чение k1 заключено в пределах от 400 до 700 [3, 4, 14]. В контексте настоящей статьи конкретное значение k1 не играет принципиальной роли; при получении нижеприведенных оценок было принято, что k1 = 500.
Зададимся минимальной глубиной исследования hmin, которой соответствует минимальная временная задержка t min:
откуда получаем формулу, с помощью которой можно оценить начальное время регистрации переходной характеристики ВЧР:
На рис. 1, б представлены графики начального времени регистрации в зависимости от минимальной глубины hmin и удельного сопротивления полупространства р, построенные для интервала глубин от 0,1 до 10 м и для р в диапазоне от 1 до 103 Ом-м. Вследствие того, что начальное время регистрации изменяется пропорционально квадрату глубины, снижение h min влечет за собой необходимость проводить измерения на очень ранних временах. Предположим, что hmjn = 10 м. Тогда при изучении ВЧР, представленной сравнительно низко-омными породами, например глинами или суглинками (р = 10 - 20 Ом-м), tmin не должно превышать 10 мкс. Как уже отмечалось выше, измерения переходных характеристик на временах порядка нескольких микросекунд и более освоены в современной импульсной электроразведке, поэтому исследование проводящего геоэлектрического разреза, начиная с глубины порядка 10 м, представляет собой выполнимую задачу. При повышении удельного сопротивления среды - например, вследствие промерзания ВЧР - до 102 Ом-м и далее до 103 Ом-м начальное время регистрации не должно превышать 1 и 0,1 мкс соответственно. Если же минимальная глубина исследований составляет 1 м, приведенные выше значения времен уменьшатся на два порядка, т. е. измерения переходных характеристик ВЧР необходимо проводить в диапазоне порядка единиц - сотен наносекунд. Подобные измерения представляют собой весьма непростую задачу. Причина этого заключается в том, что инерционность аппаратуры и в особенности приемной и генераторной петель/рамок является серьезным препятствием для измерения быстро устанавливающегося отклика ВЧР на импульсное воздействие.
Оценка размеров приемной рамки
На рис. 2,a в схематическом виде представлена система для импульсной индуктивной электроразведки. Система включает коммутатор тока, генераторную рамку, исследуемую геологическую среду, приемную рамку и регистратор. Обычно при анализе системы указанные компоненты рассматривают как линейные четырехполюсники с сосредоточенными параметрами [6, 9]. Полагают также, что параметры четырехполюсников взаимно независимы и постоянны во времени. Каждый из указанных элементов характеризуется собственной переходной характеристикой. Полезным сигналом является переходная характеристика геологической среды; переходные характеристики остальных элементов в совокупности определяют быстродействие измерительной системы. Чем короче переходная характеристика этих элементов по сравнению с откликом ВЧР, тем раньше можно начать измерять последний и тем меньше начальная глубина исследований.
Предположим, как это делает большинство исследователей [6, 8, 9, 28], что быстродействие системы определяется преимущественно параметрами измерительной петли или рамки. При близком расположении генераторной и приемной рамок последняя в момент выключения тока в источнике подвергается сильному импульсному воздействию (особенно в условиях высо-коомного разреза), в результате чего в ней возникает собственный переходный процесс, ЭДС е1(t) которого на ранних временах значительно превосходит ЭДС e(t) полезного сигнала. Если рамки располагаются на поверхности ВЧР с высокой проводимостью и/или разнесены, импульсное воздействие, оказываемое на приемную рамку в момент коммутации тока, снижается. Однако и в этом случае для измерений на ранних временах необходимо использовать малоинерционную рамку, поскольку полезный сигнал сворачивается с ее импульсной характеристикой.
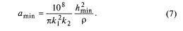
В индуктивной электроразведке при анализе частотной, импульсной и переходной характеристик рамки последнюю обычно представляют в виде эквивалентного контура (см. рис. 2, б) с сосредоточенными параметрами [6, 8, 9, 27, 28]. Наряду с собственными индуктивностью Lo, емкостью С0 и активным сопротивлением R0 эквивалентная схема включает сопротивление R0 обычно подбираемое таким образом, чтобы рамка работала в режиме, близком к критическому. Инерционность рамки принято характеризовать собственной частотой колебаний f0, которую в первом приближении можно оценить по формуле:
При оценочных расчетах можно принять, что индуктивность и емкость рамки пропорциональны ее характерному линейному размеру l (длине стороны для квадратной рамки, диаметру или радиусу для круглой) и квадрату числа витков п: L = kLln2, С = kcln2, где kL и kc - коэффициенты. Тогда
Таким образом, размер рамки изменяется пропорционально квадрату минимальной глубины исследований и обратно пропорционально удельному электрическому сопротивлению геологической среды. Это означает, что снижение hmin, особенно при изучении слабо проводящих разрезов, обусловливает необходимость использовать очень маленькие рамки.
В графическом виде зависимость (7) представлена на рис. 3. Как нетрудно видеть, для исследования ВЧР, начиная с глубины порядка 10 метров допустимо использовать рамку, радиус которой составляет 1 м и более. Если же минимальная глубина не превосходит первых метров, а удельное электрическое сопротивление зондируемой среды превышает 102 Ом-м, радиус рамки составляет доли метра.
Наряду с необходимостью обеспечить высокую собственную частоту, использование небольших рамок предпочтительно еще и по той причине, что методика малоглубинных исследований должна быть экспрессной и предусматривать возможность проведения массовых измерений на урбанизированных территориях и в условиях интенсивной промышленной застройки. Оптимальным вариантом представляется такой, когда рамки располагаются на тележках или - в зимнее время - на санях, которые перемещаются вручную либо с помощью небольшого транспортного средства. Такая методика позволяет проводить экспрессные площадные и профильные съемки с высокой плотностью наблюдений, обеспечивающей пространственное разрешение, необходимое при исследовании ВЧР [29, 30].
Оценка уровня полезного сигнала
К сожалению, реальные возможности использовать рамки как можно меньшего размера имеют естественные ограничения. Как известно, ЭДС полезного сигнала при прочих равных условиях пропорциональна произведению площадей генераторной и измерительной рамок. В свою очередь, площадь рамки пропорциональна квадрату ее характерного линейного размера. Поэтому уменьшение размеров рамок сопряжено с резким падением полезного сигнала до уровня, при котором измерение переходной характеристики ВЧР превращается в серьезную проблему.
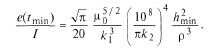
На примере установки с совмещенными круглыми одновитковыми рамками радиусом а рассмотрим, как изменяется уровень неустановившегося сигнала в зависимости от требуемой минимальной эффективной глубины исследований и удельного электрического сопротивления среды. Воспользуемся известным выражением для приведенной к току ЭДС e(t)/I, наводимой в поздней стадии становления на зажимах приемной рамки [17, 24]:
Подставим в (8) значения tmin и аmin, определенные по формулам (1) и (7), т. е. выраженные через минимальную глубину hmin и удельное электрическое сопротивление р зондируемой среды. В результате найдем e(tmin)/I, т. е. значение приведенной к току ЭДС на самой ранней временной задержке (на более поздних временах ЭДС будет заведомо меньше):
Таким образом, ЭДС переходного процесса изменяется пропорционально квадрату минимальной глубины и обратно пропорционально кубу удельного электрического сопротивления. Графики зависимости e(tmin)/I от hmin для различных значений р представлены на рис. 4. Как нетрудно видеть, осуществление малоглубинных исследований, особенно в высокоомных (р > 102 Ом-м) средах, влечет за собой необходимость измерять быстроменяющиеся сигналы настолько низкого уровня, что решение этой проблемы, во всяком случае на основе традиционных подходов, представляется едва ли возможным. В частности, использование многовитковой рамки с целью увеличения эффективной площади сопряжено с резким понижением частоты собственных колебаний f0 (см. формулу 3), увеличением начального времени регистрации tmin и соответственно минимальной глубины исследований hmin. Компенсация падения уровня полезного сигнала за счет увеличения момента генераторной рамки приведет к неизбежному снижению быстродействия последней и увеличению начального времени регистрации переходной характеристики ВЧР.
Обсуждение результатов
Прежде всего, необходимо подчеркнуть, что каждый из приведенных на рисунках графиков дает верхнюю границу соответствующего параметра. Так, значе- нию hmin = 3 м на графике зависимости аmin от hmin, построенном для р = 1 Ом-м (см. рис. 3), соответствует amin = 102 м. Из этого, однако, не следует, что реальные измерения переходной характеристики ВЧР с удельным сопротивлением 1 Ом-м должны выполняться с генераторной рамкой радиусом 102 м. Это лишь означает, что при использовании рамки радиусом свыше 102 м ее собственная частота окажется настолько низкой, что измерения на временных задержках, обеспечивающих эффективную глубину зондирований порядка 3 м, выполнить не удастся.
Характеристики
Тип файла документ
Документы такого типа открываются такими программами, как Microsoft Office Word на компьютерах Windows, Apple Pages на компьютерах Mac, Open Office - бесплатная альтернатива на различных платформах, в том числе Linux. Наиболее простым и современным решением будут Google документы, так как открываются онлайн без скачивания прямо в браузере на любой платформе. Существуют российские качественные аналоги, например от Яндекса.
Будьте внимательны на мобильных устройствах, так как там используются упрощённый функционал даже в официальном приложении от Microsoft, поэтому для просмотра скачивайте PDF-версию. А если нужно редактировать файл, то используйте оригинальный файл.
Файлы такого типа обычно разбиты на страницы, а текст может быть форматированным (жирный, курсив, выбор шрифта, таблицы и т.п.), а также в него можно добавлять изображения. Формат идеально подходит для рефератов, докладов и РПЗ курсовых проектов, которые необходимо распечатать. Кстати перед печатью также сохраняйте файл в PDF, так как принтер может начудить со шрифтами.















