12885 (647710)
Текст из файла
Углеводы
Творческая работа по химии.
Выполнила: учащаяся группы ОТ-07-2
Семенищева Полина
Департамент образования г. Астана. Политехнический колледж
Астана 2008
Введение.
Ежедневно сталкиваясь с множеством бытовых предметов, продуктов питания, природных объектов, продуктов промышленного производства, мы не задумываемся о том, что все вокруг есть и индивидуальные химические вещества или совокупность этих веществ. Любое вещество обладает собственной структурой и свойствами. Человек с момента своего появления на Земле употреблял растительную пищу, содержащую крахмал, фрукты и овощи, содержащие глюкозу, сахарозу и другие углеводы, использовал для своих нужд древесину и другие растительные объекты, состоящие главным образом из другого природного полисахарида — целлюлозы. И только в начале XIX в. стало возможным изучение химического состава природных высокомолекулярных веществ, строения их молекул. В этой области были сделаны важнейшие открытия.
В бескрайнем мире органических веществ есть соединения, о которых можно сказать, что они состоят из углерода и воды. Они так и называются – углеводы. Впервые термин “углеводы” предложил русский химик из Дерпта (ныне Тарту) К. Шмидт в 1844 году. В 1811 году русский химик Константин Готлиб Сигизмунд (1764-1833) впервые получил глюкозу гидролизом крахмала. Углеводы широко распространены в природе и играют большую роль в биологических процессах живых организмов и человека.
Углеводы в зависимости от строения можно подразделить на моносахариды, дисахариды и полисахариды: ( см. приложение 1)
1. Моносахариды:
- глюкоза С6Н12О6
- фруктоза С6Н12О6
- рибоза С5Н10О5
Из шестиуглеродных моносахаридов – гексоз – наиболее важное значение имеют глюкоза, фруктоза и галактоза.
Если в одной молекуле объединяются два моносахарида, такое соединение называется дисахаридом.
2. Дисахариды:
- сахароза С12Н22О11
Сложные углеводы, образованные многими моносахаридами, называются полисахаридами.
3. Полисахариды:
- крахмал (С6Н10О5)n
- целлюлоза (С6Н10О5)n
В молекулах моносахоридов может содержаться от 4-х до 10-ти атомов углерода. Названия всех групп моносахаридов, а также названия отдельных представителей оканчиваются на –оза. Поэтому в зависимости о числа атомов углерода в молекуле моносахариды подразделяют на тетрозы, пентозы, гексозы и т.д. наибольшее значение имеют гексозы и пентозы.
Классификация углеводов.
| Пентозы | Гексозы | Дисахариды | Полисахариды |
| Глюкоза Рибоза Дезоксирибоза Арабиноза Ксилоза Ликсоза Рибулоза Ксилулоза | Глюкоза Галактоза Манноза Гулоза Идоза Талоза Аллоза Альтроза Фруктоза Сорбоза Такатоза Псикоза Фукоза Рамноза | Сахароза Лактоза Трегалоза Мальтоза Целлобиоза Аллолактоза Гентиобиоза Ксилобиоза Мелибиоза | Гликоген Крахмал Целлюлоза Хитин Амилоза Амилопектин Стахилоза Инулин Декстрин Пектины |
Животные и человек не способны синтезировать сахара и получают их с различными пищевыми продуктами растительного происхождения.
В растениях углеводы образуются из двуокиси углерода и воды в процессе сложной реакции фотосинтеза, осуществляемой за счет солнечной энергии с участием зелёного пигмента растений - хлорофилла.
I.Моносахариды.
Из шестиуглеродных моносахаридов – гексоз – важное значение имеют глюкоза, фруктоза и галактоза.
Глюкоза.
Основные понятия. Строение молекулы.
Для установления структурной формулы молекулы глюкозы необходимо знать её химические свойства. Экспериментально доказали, что один моль глюкозы реагирует с пятью молями уксусной кислоты с образованием сложного эфира. Это означает, что в молекуле глюкозы имеется пять гидроксильных групп. Так как глюкоза в аммиачном растворе оксида серебра (II) дает реакцию «серебрянного зеркала», то в её молекуле должна быть альдегидная группа.
Опытным путем так же одказали, что глюкоза имеет неразветвленную углеродную цепь. На основании этих данных строение молекулы глюкозы можно выразить следующей формулой:
Как видно из формулы, глюкоза является одновременно многоатомным спиртом а альдегидом, т.е альдегидоспиртом.
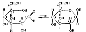
Дальнейшие исследование показали, что кроме молекул с открытой цепью, для глюкозы характерны молекулы циклического строения. Это объясняется тем, что молекулы глюкозы, вследствие вращения атомов углерода вокруг связей могут принимать изогнутую форму и гидроксильная группа 5 углерода может приблизиться к гидроксильной группе. В последней под действием гидроксильной группы разрывается π-связь. К свободной связи присоединяется атом водорода, и образуется шестичленное кольцо, в котором альдегидная группа отсутствует. Доказано, что в водном растворе существуют обе формы молекул глюкозы – альдегидная и циклическая, между которыми устанавливается химическое равновесие:
В молекулах глюкозы с открытой цепью альдегидная группа может свободно вращаться вокруг σ-связи, которая находится между первым и вторым атомами углерода. В молекулах циклической формы такое вращение не возможно. По этой причине циклическая форма молекулы может иметь различное пространственное строение:
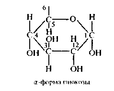
α-форма глюкозы - гидроксильные группы (-ОН) при первом и втором атомах углерода расположены по одну сторону кольца.
б - форма глюкозы - гидроксильные группы находятся по разные стороны кольца молекулы.
Физические свойства.
Глюкоза - бесцветное кристаллическое вещество со сладким вкусом, хорошо растворимое в воде. Из водного раствора кристаллизуется. По сравнению со свекловичным сахаром менее сладкая.
Химические свойства.
Глюкоза обладает химическими свойствами, характерными для спиртов (гидроксильная (-ОН) группа) и альдегидов ( группа альдегида (-СНО). Кроме того, она обладает и некоторыми специфическими свойствами.
1. Свойства, характерные для спиртов:
а) взаимодействие с оксидом меди (II):
C6H12O6 + Cu(OH)2 → C6H10O6Cu + H2O
алкоголят меди (II)
б) взаимодействие с карбоновыми кислотами с образованием сложных эфиров (реакция этерификации).
C6H12O6+5CH3COOH→C6H7O6(CH3CO)5
2. Свойства, характерные для альдегидов
а) взаимодействие с оксидом серебра ( I ) в аммиачном растворе (реакция "серебряного зеркала"):
C6H12O6 + Аg2O → C6H12O7 +2Ag↓
глюкоза глюконовая кислота
б)восстановление (гидрирование) - до шестиатомного спирта (сорбита):
C6H12O6 + H2 → C6H14O6
глюкоза сорбит
3. Специфические реакции - брожение:
а) спиртовое брожение (под действием дрожжей):
С6Н12О6 → 2С2Н5ОН + 2СО2
глюкоза этиловый спирт
б) молочнокислые брожение (под действие молочнокислых бактерий):
С6Н12О6 → С3Н6О3
глюкоза молочная кислота
в) маслянокислое брожение:
С6Н12О6 → С3Н7СООН +2Н2 +2СО2
глюкоза масляная кислота
Получение глюкозы.
Первый синтез простейших углеводов из формальдегида в присутствии гидроксида кальция был произведен А.М.Бутлеровым в 1861 году:
са(он)2
6НСОН → С6Н12О6
формальдегид люкоза
На производстве глюкозу чаще всего получают гидролизом крахмала в присутствии серной кислоты:
Н2SО4
(С6Н10О5)n + nН2О → nC6H12O6
крахмал глюкоза
Применение глюкозы.
Глюкоза является ценным питательным продуктом. В организме она подвергается сложным биохимическим превращениям, в результате которых освобождается энергия, которая накопилась в процессе фотосинтеза. Упрощено процесс окисления глюкозы в организме можно выразить следующим уравнением:
С6Н12О6 + 6О2→6СО2+6H2O+Q
Так как глюкоза легко усваивается организмом, ее используют в медицине в качестве укрепляющего лечебного средства. Широко применяют глюкозу в кондитерском деле (изготовление мармелада, карамели, пряников).
Большое значение имеют процессы брожения глюкозы. Так, например, при квашении капусты, огурцов, молока происходит молочнокислое брожение глюкозы, так же, как при силосований кормов. Если подвергаемая силосованию масса недостаточно уплотнена, то под влиянием проникшего воздуха происходит маслянокислое брожение и корм становится непригоден к применению.
На практике используется также спиртовое брожение глюкозы, например при производстве пива.
Нахождение в природе и организме человека.
В организме человека глюкоза содержится в мышцах, в крови и в небольших количествах во всех клетках. Много глюкозы находится во фруктах, ягодах, нектаре цветов, особенно много в винограде.
В природе глюкоза образуется в растениях в результате фотосинтеза в присутствии зелёного вещества - хлорофилла, содержащего атом магния. В свободном виде глюкоза содержится почти во всех органах зеленых растений. Особенно ее много в соке винограда, поэтому глюкозу иногда называют виноградным сахаром. Мед в основном состоит из смеси глюкозы с фруктозой.
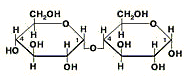
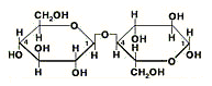
II Дисахариды.
Дисахариды - кристаллические углеводы, молекулы которых построены из соединённых между собой остатков двух молекул моносахаридов.
Простейшими представителями дисахаридов являются обычный свекловичный или тростниковый сахар - сахароза, солодовый сахар - мальтоза, молочный сахар - лактоза и целлобиоза. Все эти дисахариды имеют одну и туже формулу С12Н22О11.
Сахароза.
Основные понятия. Строение молекулы
Опытным путем доказано, что молекулярная формула сахарозы C12H22O11. При исследовании химических свойств сахарозы можно убедиться, что для нее характерна реакция многоатомных спиртов: при взаимодействии с гидроксидом меди (II) образуется ярко-синий раствор. Реакцию «серебряного зеркала» с сахарозой осуществить не удается. Следовательно, в ее молекуле имеются гидроксильные группы, но нет альдегидной.
Но если раствор сахарозы нагреть в присутствии соляной или серной кислоты, то образуются два вещества, одно из которых, подобно альдегидам, реагирует как с аммиачным раствором оксида серебра (I), так и с гидроксидом меди (II). Эта реакция доказывает, что в присутствии минеральных кислот сахароза подвергается гидролизу и в результате образуются глюкоза и фруктоза. Так подтверждается, что молекулы сахарозы состоят из взаимно связанных остатков молекул глюкозы и фруктозы.
Физические свойства.
Чистая сахароза — бесцветное кристаллическое вещество сладкого вкуса, хорошо растворимое в воде.
Химические свойства.
Характеристики
Тип файла документ
Документы такого типа открываются такими программами, как Microsoft Office Word на компьютерах Windows, Apple Pages на компьютерах Mac, Open Office - бесплатная альтернатива на различных платформах, в том числе Linux. Наиболее простым и современным решением будут Google документы, так как открываются онлайн без скачивания прямо в браузере на любой платформе. Существуют российские качественные аналоги, например от Яндекса.
Будьте внимательны на мобильных устройствах, так как там используются упрощённый функционал даже в официальном приложении от Microsoft, поэтому для просмотра скачивайте PDF-версию. А если нужно редактировать файл, то используйте оригинальный файл.
Файлы такого типа обычно разбиты на страницы, а текст может быть форматированным (жирный, курсив, выбор шрифта, таблицы и т.п.), а также в него можно добавлять изображения. Формат идеально подходит для рефератов, докладов и РПЗ курсовых проектов, которые необходимо распечатать. Кстати перед печатью также сохраняйте файл в PDF, так как принтер может начудить со шрифтами.
















