12885 (647710), страница 2
Текст из файла (страница 2)
Главным свойством дисахаридов, отличающим их от моносахаридов, является способность к гидролизу в кислой среде (или под действием ферментов в организме):
С12Н22О11+Н2О→ С6Н12О6+ С6Н12О6
сахароза глюкоза фруктоза
Образовавшуюся в процессе гидролиза глюкозу можно обнаружить реакцией «серебряного зеркала» или при взаимодействии ее с гидроксидом меди (II).
Получение сахарозы.
Сахарозу C12H22O11 (сахар) получают в основном из сахарной свеклы и сахарного тростника. При производстве сахарозы не происходят химические превращения, ибо она уже имеется в природных продуктах. Ее лишь выделяют из этих продуктов по возможности в более чистом виде.
Процесс выделения сахарозы из сахарной свеклы:
Очищенную сахарную свеклу в механических свеклорезках превращают в тонкую стружку и помещают ее вспециальные сосуды — диффузоры, через которые пропускают горячую воду. В результате из свеклы вымывается почти вся сахароза, но вместе с ней в раствор переходят различные кислоты, белки и красящие вещества, которые требуется отделить от сахарозы.
Образовавшийся в диффузорах раствор обрабатывают известковым молоком.
С12Н22О11+Ca(OH)2→ С12Н22О11∙2CaO∙H2O
Гидроксид кальция реагирует с содержащимися в растворе кислотами. Так как кальциевые соли большинства органических кислот малорастворимы, то они выпадают в осадок. Сахароза же с гидроксидом кальция образует растворимый сахарат типа алкоголятов - С12Н22О11∙2CaO∙H2O
3. Чтобы разложить образовавшийся сахарат кальция и нейтрализовать избыток гидроксида кальция, через их раствор пропускают оксид углерода (IV). В результате кальций осаждается в виде карбоната:
С12Н22О11∙2CaO∙H2O + 2СО2 → С12Н22О11 + 2CaСO3↓ 2Н2О
4. Полученный после осаждения карбоната кальция раствор фильтруют, затем упаривают в вакуумных аппаратах и кристаллики сахара отделяют центрифугированием.
Однако выделить весь сахар из раствора не удается. Остается бурый раствор (меласса), который содержит еще до 50% сахарозы. Мелассу используют для получения лимонной кислоты и некоторых других продуктов.
5. Выделенный сахарный песок обычно имеет желтоватый цвет, так как содержит красящие вещества. Чтобы их отделить, сахарозу вновь растворяют в воде и полученный раствор пропускают через активированный уголь. Затем раствор снова упаривают и подвергают кристаллизации. ( см. приложение 2)
Применение сахарозы.
Сахароза в основном используется в качестве продукта питания и в кондитерской промышленности. Путем гидролиза из нее получают искусственный мед.
Нахождение в природе и организме человека.
Сахароза входит в состав сока сахарной свеклы (16 — 20%) и сахарного тростника (14 — 26%). В небольших количествах она содержится вместе с глюкозой в плодах и листьях многих зеленых растений.
III Полисахариды.
Некоторые углеводы представляют собой природные полимеры, состоящие из многих сотен и даже тысяч моносахаридных звеньев, входящих в состав одной макромолекулы. Поэтому такие вещества получили название полисахариды. Наиболее важными среди полисахаридов являются крахмал и целлюлоза. Оба они образуются в растительных клетках из глюкозы, основного продукта процесса фотосинтеза.
Крахмал
Основные понятия. Строение молекулы.
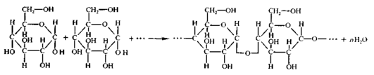
Экспериментально доказано, что химическая формула крахмала (C6H10O5)n, где п достигает нескольких тысяч. Крахмал является природным полимером, молекулы которого состоят из отдельных звеньев C6H10O5. Так как при гидролизе крахмала образуется только глюкоза, то можно сделать вывод, что эти звенья являются остатками молекул α-глюкозы.
Ученым удалось доказать, что макромолекулы крахмала состоят из остатков молекул циклической глюкозы. Процесс образования крахмала можно представить так:
Кроме того, установлено, что крахмал состоит не только из линейных молекул, но и из молекул разветвленной структуры. Этим объясняется зернистое строение крахмала.
Физические свойства.
Крахмал — белый порошок, нерастворимый в холодной воде. В горячей воде он набухает и образует клейстер. В отличие от моно- и олигосахаридов полисахариды не обладают сладким вкусом.
Химические свойства.
Качественная реакция на крахмал.
Характерной реакцией крахмала является его взаимодействие с йодом. Если к охлажденному крахмальному клейстеру добавить раствор йода, то появляется синее окрашивание. При нагревании клейстера оно исчезает, а при охлаждении появляется вновь. Этим свойством пользуются при определении крахмала в пищевых продуктах. Так, например, если каплю йода поместить на срез картофеля или ломтик белого хлеба, то появляется синее окрашивание.
Реакция гидролиза:
(С6Н6О5)n + nH2O → nC6H12O6
Получение крахмала.
В промышленности крахмал получают в основном из картофеля, риса или кукурузы.
Применение крахмала.
Крахмал является ценным питательным продуктом. Чтобы облегчить его усвоение, содержащие крахмал продукты подвергают действию высокой температуры, т. е. картофель варят, хлеб пекут. В этих условиях происходит частичный гидролиз крахмала и образуются декстрины, растворимые в воде. Декстрины в пищеварительном тракте подвергаются дальнейшему гидролизу до глюкозы, которая усваивается организмом. Избыток глюкозы превращается в гликоген (животный крахмал). Состав гликогена такой же, как у крахмала, но его молекулы более разветвленные. Особенно много гликогена содержится в печени (до 10%). В организме гликоген является резервным веществом, которое превращается в глюкозу по мере ее расходования в клетках.
В промышленности крахмал путем гидролиза превращают в патоку и глюкозу. Для этого его нагревают с разбавленной серной кислотой, избыток которой затем нейтрализуют мелом. Образовавшийся осадок сульфата кальция отфильтровывают, раствор упаривают и выделяют глюкозу. Если гидролиз крахмала не доводить до конца, то образуется смесь декстринов с глюкозой — патока, которую применяют в кондитерской промышленности. Получаемые из крахмала декстрины используются в качестве клея, для загустения красок при нанесении рисунков на ткань.
Крахмал применяется для накрахмаливания белья. Под горячим утюгом происходит частичный гидролиз крахмала и превращение его в декстрины. Последние образуют на ткани плотную пленку, которая придает блеск ткани и предохраняет ее от загрязнения.
Нахождение в природе и организме человека.
Крахмал, являясь одним из продуктов фотосинтеза, широко распространен в природе. Для различных растений он является запасным питательным материалом и содержится главным образом в плодах, семенах и клубнях. Наиболее богато крахмалом зерно злаковых растений: риса (до 86%), пшеницы (до 75%), кукурузы (до 72%), а также клубни картофеля (до 24%). В клубнях крахмальные зерна плавают в клеточном соке, поэтому картофель является основным сырьем для получения крахмала. В злаках частицы крахмала плотно склеены белковым веществом клейковиной.
Для организма человека крахмал наряду с сахарозой служит основным поставщиком углеводов — одного из важнейших компонентов пищи. Под действием ферментов крахмал гидролизуется до глюкозы, которая окисляется в клетках до углекислого газа и воды с выделением энергии, необходимой для функционирования живого организма. Из продуктов питания наибольшее количество крахмала содержится в хлебе, макаронных и других мучных изделиях, крупах, картофеле.
Целлюлоза.
Вторым наиболее распространенным в природе полисахаридом является целлюлоза или клетчатка (см. приложение 4).
Основные понятия. Строение молекулы.
.Формула целлюлозы, как и крахмала - (С6Н10О5)n, элементарным звеном этого природного полимера также служат остатки глюкозы. Степень полимеризации у целлюлозы намного больше, чем у крахмала.
Макромолекулы целлюлозы, в отличие от крахмала, состоят из остатков молекул б-глюкозы и имеют только линейное строение. Макромолекулы целлюлозы располагаются в одном направлении и образуют волокна (лен, хлопок, конопля).
Физические свойства.
Чистая целлюлоза — твердое белое вещество, имеющее волокнистую структуру. Она нерастворима в воде и органических растворителях, но хорошо растворяется в аммиачном растворе гидроксида меди (II). Как известно, сладкого вкуса целлюлоза не имеет.
Химические свойства.
Горение. Целлюлоза легко горит с образованием углекислого газа и воды.
(С6Н10О5)n + 6nО2 → nСО2 + nН2О + Q
Гидролиз. В отличие от крахмала клетчатка гидролизуется с трудом. Только очень длительное кипячение в водных растворах сильных кислот приводит к заметному расщеплению макромолекулы до глюкозы:
(С6Н10О5)n + nH2O → nC6H12O6
Образования сложных эфиров. Каждое элементарное звено молекулы целлюлозы имеет три гидроксильные группы, которые могут участвовать в образовании сложных эфиров как с органическими, и с неорганическими кислотами.
Нитраты целлюлозы. При обработке целлюлозы смесью концентрированных азотной и серной кислот (нитрующая смесь) образуются нитраты целлюлозы. В зависимости от условий проведении реакции и соотношения реагирующих веществ можно получить продукт по двум (динитрат) или трем (тринитрат) гидроксильным группам
Получение целлюлозы.
Образцом почти чистой целлюлозы является вата, полученная из очищенного хлопка. Основную массу целлюлозы выделяют из древесины, в которой она содержится вместе с другими веществами. Наиболее распространенным методом получения целлюлозы в нашей стране является так называемый сульфитным. По этому методу, измельченную древесину в присутствии раствора гидросульфита кальция или гидросульфита натрия нагревают в автоклавах при давлении 0,5-0,6 МПа и температуре 150 °С. При этом все другие вещества разрушаются, а целлюлоза выделяется в сравнительно чистом виде. Ее промывают водой, сушат и направляют на дальнейшую переработку, большей частью на производство бумаги.
Применение целлюлозы.
Целлюлоза используется человеком с очень древних времен. Ее применение весьма разнообразно. Из целлюлозы изготавливают многочисленные искусственные волокна, полимерные пленки, пластмассы, бездымный порох, лаки. Большое количество целлюлозы идет на производство бумаги. Большое значение имеют продукты этерификации целлюлозы. Так, например, из ацетилцеллюлозы получают ацетатный шелк. Для этого триацетилцеллюлозу растворяют в смеси дихлорметана и этанола. Образовавшийся вязкий раствор продавливают через фильеры — металлические колпачки с многочисленными отверстиями. Тонкие струи раствора опускаются в шахту, через которую противотоком проходит нагретый воздух. В результате растворитель испаряется и триацетилцеллюлоза выделяется в виде длинных нитей, из которых прядением изготовляют ацетатный шелк .Ацетилцеллюлоза идет также на производство негорючей пленки и органического стекла, пропускающего ультрафиолетовые лучи.
Тринитроцеллюлоза (пироксилин) используется как взрывчатое вещество и для производства бездымного пороха. Для этого тринитроцеллюлозу растворяют в этил-ацетате или в ацетоне. После испарения растворителей компактную массу размельчают и получают бездымный порох. Исторически это был первый полимер, из которого была изготовлена промышленная пластмасса — целлулоид. Ранее пироксилин использовался для изготовления кино- и фотопленки и лаков. Его главный недостаток — легкая горючесть с образованием токсичных оксидов азота.
Динитроцеллюлоза (коллоксилин) применяется также для получения коллодия. В этих целях ее растворяют в смеси спирта и эфира. После испарения растворителей образуется плотная пленка — коллодий, применяемый в медицине. Динитроцеллюлоза идет также на производство пластмассы целлулоида. Его получают путем сплавления ди-нитроцеллюлозы с камфорой.
Нахождение в природе и организме человека.
Целлюлоза является основной частью стенок растений. Относительно чистой целлюлозой являются волокна хлопчатника, джута и конопли. Древесина содержит от 40 до 50% целлюлозы, солома — 30%. Целлюлоза растений служит питательным веществом для травоядных животных, в организме которых имеются расщепляющие клетчатку ферменты. Целлюлоза, так же как и крахмал, образуется в растениях при реакции фотосинтеза. Она является основной составной частью оболочки растительных клеток; отсюда происходит ее название —- целлюлоза («целлула» — клетка). Волокна хлопка — это почти чистая целлюлоза (до 98%). Волокна льна и конопли тоже состоят главным образом из целлюлозы. В древесине ее содержится примерно 50%.
Заключение:
















