10749 (646689)
Текст из файла
Курсовая работа
по химии
на тему:
"Углеводы"
Введение
По химической классификации, все углеводы являются полигидроксикарбонильными соединениями. Номенклатура их, как и в большинстве случаев природной химии, носит тривиальный характер, систематический подход разработан и им удобно пользоваться при названии производных углеводов и обозначении характерных структурных элементов. Общее окончание для всех углеводов, исключая полимерные системы - оза.
Здесь следует отметить, что обычно углеводы подразделяют в первую очередь на моносахариды, олигосахариды и полисахариды. Но так как моносахара являются фундаментальными углеводными единицами, а олигосахара и полисахара - это не что иное, как их производные, то мы и будем придерживаться этой схемы: не выделять олигосахара в отдельный класс, рассматривая их как соответствующие производные моносахаров.
1. Классификация
Классификация углеводов ступенчатая. В первую очередь, отмечается количество атомов углерода углеводородной части молекулы - тетрозы, пентозы, гексозы, гептозы и т.д. Наиболее распространенными являются пентозы и гексозы. В зависимости от числа атомов углерода в моносахаридной цепочке, их подразделяют на низшие, обычные и высшие моносахара с количеством углеродных атомов от 7 до 10. Нормальные углеводы структурно расходуют один углеродный атом на карбонильную группу, при всех остальных углеродных атомах находится по одной гидроксильной группе. Вторая ступень классификации связана с расположением карбонильной группы в углеводородной цепи - либо это альдегидная группа, либо кетонная - ив соответствии с этим, мы имеем либо альдозы, либо кетозы. С учетом первой ступени классификации, мы можем теперь различать альдопентозы, альдокетозы, альдогексозы, кетогексозы и т.д.
Следующий этап подразделения углеводов определяется пространственным структурным фактором, а именно, наличием асимметрических центров. Как видно на схеме 1, молекула альдозы содержит асимметрических центра, молекула кетозы - таких центра: это значит, что альдогексозы могут существовать в виде 24 конфигурационных изомеров, кетогексозы - в виде 23 конфигурационных изомеров. Учитывая структурное соотношение между диастереомерными и энантио-мерными формами, в простейшем варианте рассмотренное нами на примере винных кислот, можно уточнить: альдогектозы будут представлены 8 диастереомерами, каждый из которых может существовать в виде пары оптических антиподов.
Диастереомеры различаются между собой различным взаимным расположением гидроксильных групп в пространстве, в результате чего они будут существенно различаться физическими и, в некоторой степени, химическими свойствами. В связи с этим, а также с учетом важности этих индивидуальных соединений в природной химии, каждому из диастереомеров присвоено свое собственное тривиальное название. Оптические же антиподы обозначают индексами D - и L - в зависимости от конфигурации последнего, по нумерации углеводородной цепи, асимметрического центра Так как при переходе от углеводной молекулы с п-асимметрическими центрами к молекуле с центрами количество конфигурационных изомеров удваивается, то, приняв за минимальную альдозу глицериновый альдегид и минимальную кетозу - эритрулозу, мы можем построить иерархическую схему стереохимического родства природных углеводов с учетом того факта, что, в основном, они относятся к D-ряду в проекциях Фишера.
Доказательство строения и стереохимического родства восьми D - гексоз и четырех D-пентоз было основано на блестящих работах Эмиля Фишера, за которые он получил Нобелевскую премию по химии в 1901 году.
Относительно особенностей конфигураций D - и L-рядов моносахаров следует отметить два факта:
1. Обозначение D - и L - не находятся во взаимосвязи со знаком их оптического вращения.
2. Живые организмы "не узнают" и "не умеют" усваивать углеводы L-ряда, тогда как синтезировать они их могут. Свойство инертности ферментов к L - сахарам природа часто использует для построения сложных устойчивых молекулярных систем.
2. Свойства и структура моносахаридов
Специфика химических свойств углеводов заключается уже в том, что не имеет смысла рассматривать отдельно реакции, обусловленные только спиртовыми функциями или только карбонильными. Прежде всего, мы познакомимся с теми их свойствами, которые обусловлены взаимным влиянием этих функций, поскольку результатом их взаимного влияния являются существенные структурные изменения и появление новых химических свойств молекул моносахаридов.
Поскольку карбонильные группы обладают ярко выраженной способностью к присоединению нуклеофильных реагентов, а в молекулах Сахаров присутствуют эти нуклеофильные группы в количестве, более чем достаточном, то естественно ожидать от них осуществления этой реакции внутримолекулярным вариантом. И она осуществляется. Остается только выяснить, какой именно гидроксил осуществляет этот процесс и каков результат этого процесса.
Согласно пространственному строению моносахаридной молекулы, наиболее благоприятны для нуклеофильной атаки гидроксильные группы при углеродах С4, Cs и С6, если мы за основу возьмем альдогексозу; С4 и Cs - если за основу возьмем альдопентозу. Второй фактор, влияющий на выбор гидроксильной группы для этой реакции - это устойчивость образующегося циклического полуацеталя: образование малых циклов энергетически невыгодно из-за байеров-ского напряжения; образование больших циклов невыгодно по причине торсионных дестабилизирующих взаимодействий.
Из классической органической химии известно, что пяти - и шестичленные циклы, как карбоциклические, так и гетероциклические, термодинамически наиболее предпочтительны.
Следствием этих основных факторов является преимущественное образование шестичленного циклического полуацеталя в случае глюкозы, пятичленного циклического полуацеталя в случае рибозы, пятичленного циклического полуацеталя в случае фруктозы. В номенклатуре соединений это отражают введением названия соответствующего кислородного гетероцикла в качестве корневого слова - пираноза и фураноза. Но надо еще раз подчеркнуть, что такое формирование циклических форм является преимущественным: образование фураноз в случае альдогексоз и пираноз в случае альдопентоз также не исключено.
Согласно предложению Хеуорса, формулы всех циклов представляют схематически плоскими, что удобно для представления взаимного расположения гидроксильных групп, а для пятичленных циклов это близко к истине
При анализе циклических структур моносахаридов первое, что мы можем отметить - это исчезновение карбонильной функции и появление новой гидроксильной функции при С1 и, соответственно, нового асимметрического центра при этом же углеродном атоме Так вот, в силу планарности карбонильной группы, присоединение реагента к ней возможно с обеих сторон плоскости, результатом чего является пара циклических изомеров, называемых а - и в-формами А во-вторых, возникает вопрос, что же является истиной для моносахаридов в структурном плане9 Многочисленными пионерскими работами в начале двадцатого столетия, основанными на виртуозных химических превращениях, а также современными исследованиями, в большей степени использующими физические методы показано, что в растворах существует динамическое равновесие между всеми тремя формами, а в кристалле - только циклические формы в зависимости от природы углевода и условий кристаллизации Динамическое равновесное состояние моносахаридов называют кольчато-цепной таутомерией. Соотношение между различными формами таутомерной смеси в растворе весьма трудно определяемо, так как оно в существенной степени зависит от природы моносахарида и от среды.
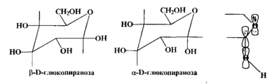
Глюкоза, конечно же, изучена лучше всех по всем аспектам. Так, для нее было установлено, что при кристаллизации из воды или из спирта образуются кристаллы чистой a-D-глюкопиранозы, а при кристаллизации из пиридина - только в - 0-РєК) К0РЗс3З033. В водном растворе D-глюкоза существует в виде смеси а - и в-форм в соотношении 36'64, т.е. все-таки предпочтительнее является в-структура глюкозы.
Ациклическая форма глюкозы в растворе присутствует в столь незначительных количествах, что не регистрируется физическими методами, но она безусловно есть, ибо не был бы возможен таутомерный переход между а - и в-формами. Указанное выше равновесие устанавливается при растворении чистой a-D-глюкозы в воде через 24 часа. Кроме того, только она - ациклическая форма глюкозы - дает четкие реакции альдегидной группы. В столь же незначительных концентрациях в растворе присутствуют и фуранозные формы глюкозы.
К настоящему моменту установлено, что преобладающей формой и для альдогексоз, и для альдопентоз, является наиболее термодинамически выгодная пиранозная. Только в нескольких случаях в растворах моносахаридов фуранозная форма зафиксирована в значительных количествах: для рибозы, альтрозы, иодозы и талозы. Кроме того, следует отметить, что иногда альдогексоза может образовать и семичленный цикл взаимодействием гидроксила при С6 с альдегидной функцией. Такую форму, называемую септаноза, образует тетраметил глюкоза.
Несколько иначе обстоит дело с таким типичным моносахаридом кетозной структуры, как фруктоза. Из двух возможностей образования циклической формы, она реализует обе. В водном растворе фруктоза существует в виде смеси таутомеров, в которой содержится до 15% в-фуранозной формы, значительные количества ациклических форм, но в основном, пиранозитный таутомер. В кристаллическом состоянии известна только р-0-фруктопираноза. Следует отметить, забегая несколько вперед, что ее природные производные по полуацетальному гидроксилу всегда имеют фуранозную структуру.
Из альдопентоз следует выделить рибозу, как наиболее распространенный моносахарид с пятью атомами углерода В водном растворе она представляет собой смесь всех четырех циклических таутомеров, из которых предпочтительными являются пиранозные формы, но фуранозные формы также значительны Нормальная кристаллическая форма рибозы - р-й-рибопираноза, а для производных характерна в-0-рибофуранозная структура.
Вернемся к глюкозе, отвлекшись от проекционных формул Фишера и Хеуорса, и проанализируем ее пространственную структуру, так сказать, в окончательном варианте. Поскольку все шестичленные циклы, включая гетероатомные, предпочтительно существуют в форме кресла, так же изобразим и глюкозу. В таком случае, в-глюкопираноза окажется термодинамически предпочтительной и по стереохимическому расположению всех заместителей цикла - они расположены экваториально. В связи с этим, становится понятным предпочтение, отданное Природой в-форме глюкозы при построении различных биологических структур, которые, в первую очередь, требуют стабильности.
б-Форма глюкопиранозы отличается аксиальным положением гликозидного гидроксила. Факторов, определяющих относительную стабильность б-изомера, несколько, но основным, очевидно, является стабилизирующее взаимодействие неподеленной электронной пары эндоциклического кислорода и свободной орбитали связи С'-ОН, которое максимально именно в этой конфигурации молекулы. Аномерный эффект, обнаруженный и изученный на молекуле глюкозы, оказался довольно общим явлением не только в химии углеводов, но и в химии циклических полуацеталей вообще, однако свое начало он берет из природной химии - из химии углеводов.
Таким образом, используя кресловидное изображение молекул альдопи-раноз, мы увидим, чтс пои переходе от глюкопиранозы ко всему остальному ряду альдогексоз, гидроксильные функции периодически меняют свое положение с экваториального на аксиальное, за исключением группировки - СН2ОН - она всегда экваториальна.
Характеристики
Тип файла документ
Документы такого типа открываются такими программами, как Microsoft Office Word на компьютерах Windows, Apple Pages на компьютерах Mac, Open Office - бесплатная альтернатива на различных платформах, в том числе Linux. Наиболее простым и современным решением будут Google документы, так как открываются онлайн без скачивания прямо в браузере на любой платформе. Существуют российские качественные аналоги, например от Яндекса.
Будьте внимательны на мобильных устройствах, так как там используются упрощённый функционал даже в официальном приложении от Microsoft, поэтому для просмотра скачивайте PDF-версию. А если нужно редактировать файл, то используйте оригинальный файл.
Файлы такого типа обычно разбиты на страницы, а текст может быть форматированным (жирный, курсив, выбор шрифта, таблицы и т.п.), а также в него можно добавлять изображения. Формат идеально подходит для рефератов, докладов и РПЗ курсовых проектов, которые необходимо распечатать. Кстати перед печатью также сохраняйте файл в PDF, так как принтер может начудить со шрифтами.












