10749 (646689), страница 2
Текст из файла (страница 2)
Только D-иодоза имеет аксиальное положение - СН2ОН группы в термодинамически наиболее стабильной конформации, так как остальные ее - ОН функции при этом расположены экваториально.
Так как фруктоза также имеет склонность к образованию пиранозной формы, то полезно рассмотреть и ее пространственную структуру. Установлено, что из двух кресловидных конформеров реализуется тот, в котором наиболее тяжелая группа занимает экваториальное положение при равном соотношении экваториальных и аксиальных гидроксифункций.
3. Химические свойства моносахаридов
Химические свойства моносахаридов, как и других бифункциональных соединений, могут быть разделены на три группы: это свойства спиртов, карбонильных соединений, и специфические реакции, обязанные взаимному влиянию и взаимному участию спиртовых и карбонильных функций.
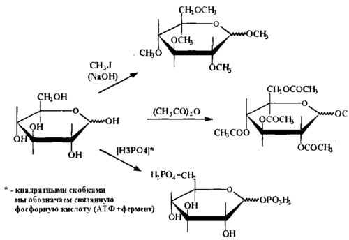
Из типичных спиртовых свойств моносахаридов следует отметить, в первую очередь, реакции этерификации различного типа, ведущие к образованию сложных эфиров карбоновых кислот, сложных эфиров минеральных кислот, простых алкиловых эфиров. Так как в молекуле любого моносахарида содержится несколько спиртовых групп, то очевидно, что в любом случае эти реакции могут иметь различную степень кратности, т.е. могут быть получены, в зависимости от активности реагента, моноэфиры, дизфиры, триэфиры и т.д. При этом не полностью этерифицированные моносахара будут представлены еще и набором региоизомеров. Таким образом, в одной только реакции ожидаемое многообразие получаемых эфиров более чем достаточно.
Реакции карбонильных групп моносахаридов всегда могут проявиться, так как в растворе моносахарида всегда имеется ациклический таутомер, всегда имеется хоть в каких-то количествах и тогда, независимо от количества этой формы, процесс таутомерии обеспечивает полное прохождение реакции по карбонильной группе, т.е. так, как будто все вещество в растворе имело нециклическую структуру. В первую очередь, здесь следует отметить различные реакции нуклеофильного присоединения, окислительно-восстановительные реакции, реакции азометиновой конденсации.
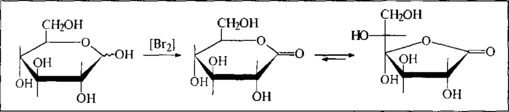
Реакции окисления наиболее любопытны тем, что могут быть реализованы потрем направлениям!
Наиболее мягкое окисление по альдегидной группе приводит к гликоновым кислотам, окисление немного более энергичное - переводит спиртовую группу в карбоксильную. Концевая спиртовая группа может быть окислена до карбоксильной при условии защиты последней, т.е. в условиях жесткой стабилизации циклической формы молекулы. При действии некоторых окислителей, циклическая форма альдогексоз окисляется непосредственно по полуацетальному гидроксилу с образованием д-лактонов, которые обычно перегруппировываются в более стабильные г-лактоны.
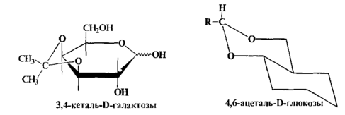
Специфические свойства моносахаридов. Наличие в молекуле углеводов спиртовых гидроксилов открывает возможность одновременного участия в реакции нескольких из них. Типичная реакция моносахаридов с карбонильными реагентами приводит к образованию циклических ацеталей, структура которых определяется взаимным пространственным расположением гидроксильных групп: обычно в таких реакциях участвует пара цис расположенных гидроксифункций.
Так как моносахара в растворе обычно представлены смесью нескольких таутомеров, то при взаимодействии их с карбонильным соединением возможно образование циклических производных нетипичных форм, присутствующих в незначительных количествах, но, по ряду факторов, благоприятных для реакций такого типа.
Сближение в пространстве двух гидроксильных групп моносахаридов может, в условиях, соответствующих образованию простых эфиров, реализоваться в такой реакции внутримолекулярно. Продукты реакций имеют бициклическую структуру и называются ангидросахарами. Подобная реакция эффективно проходит в молекуле йодозы, так как в ее пиранозной форме один из информационных переходов сближает гидроксилы при С и С6, тогда как все остальные приобретают энергетически выгодное экваториальное положение.
Ангидросахара, полученные взаимодействием реакционных центров при С1 и С4, имеют структуру, в которой зафиксирована форма лодки шестичленного цикла пиранозы.
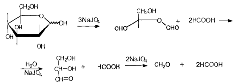
Специфической реакцией моносахаридов можно считать и окисление их реагентами, действующими на пару вицинальных гидроксильных групп, предпочтительно имеющих цис-конфигурацию. Окисление выполняется йодной кислотой или тетраацетатом свинца и протекает через промежуточный циклический диэфир с последующим расщеплением углерод-углеродной связи циклического фрагмента. В свое время, реакция сыграла решающее значение при исследовании строения моносахаров.
Но так как обычно углеводная молекула имеет более, чем два гидроксила, то вариантов деструктивного гликольного окисления несколько, и процесс протекает часто постадийно и достаточно глубоко: например, так, как эрj имеет место в случае D-глюкозы.
Под действием оснований и кислот моносахара претерпевают изомеризацию и деградацию в зависимости от условий.
В мягких щелочных условиях обычно имеет место эпимеризация, т.е. изменение конфигурации углеродного атома в 2-положении к карбонильной группе, а также изомеризация типа альдоза р. кетоза. Так, при выдерживании D-глюкозы в течении нескольких дней в 0,01 М растворе гидроокиси натрия образуется смесь, содержащая 28% D-фруктозы, 3% D-маннозы и исходную D-глюкозу. Оба изомеризационных процесса протекают через общий интермедиат, являющийся енольной формой D-глюкозы, т.е. указанная смесь веществ является следствием кетоенольной таутомерии, катализируемой основанием. Заметим, что реакция идет из ациклической формы, являющейся также компонентой таутомерного процесса.
В более жестких щелочных условиях проходят более глубокие перегруппировки до сахариновых кислот. Та же самая D-глюкоза при обработке 0,15 М раствором гидроокиси кальция превращается в смесь нескольких гидрокси-кислот. Эти реакции многоступенчатые и, как правило, малой степени стерео-специфичности.
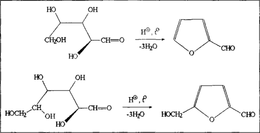
В кислой среде моносахара обычно более стабильны, но при нагревании в растворах минеральных кислот протекают процессы дегидратации, результатом которых являются производные фурана. Так, альдопентозы, отщепляя три молекулы воды, образуют фурфурол, а альдогексозы - 5-гидроксиме-тилфурфурол.
Характерным свойством моносахаров, обязанным совместному присутствию карбонильной и гидроксильной функций, является реакция образования озазонов, образующихся при взаимодействии как альдоз, так и кетоз с фенилгидразином. Обычная азометиновая конденсация по карбонильной группе моносахарида с одной молекулой фенилгидразина приводит к соответствующему фенилгидразону, но характерно то, что процесс на этом не заканчивается, а наблюдается последующая реакция окисления соседней гидроксильной группы до карбонильной, на что расходуется еще одна молекула фенилгидразина, далее новая карбонильная группа конденсируется с третьей молекулой фенилгидразина.
Образующиеся в результате бисфенилгидразоны хорошо кристаллизуются и потому часто используются для идентификации моносахаридов. На заре углеводной химии эта реакция использовалась для установления строения отдельных моносахаридов и их взаимосвязи. К примеру,
D-глюкоза и D-манноза образуют один и тот же озазон.
Рассматривая химические свойства углеводов, невозможно обойти их реакции брожения; фактически являясь биохимическими реакциями, они широко используются в химической технологии и в лабораторной практике. Большинство углеводов под действием ферментов, внутриклеточно, образуют пировиноградную кислоту и АТР.
Далее, в зависимости от природы микроорганизма, поставляющего определенный набор ферментов, пировиноградная кислота превращается в тот конечный продукт, который соответствует каталитическим возможностям данного комплекта энзимов. По продуктам брожения различают следующие его основные виды: спиртовое, молочнокислое, пропионовокислое, маслянокислое. Иногда основной процесс брожения может осложняться некоторыми параллельными или последовательными реакциями, обусловленными вариациями условий среды или ферментного набора: так, при маслянокислом брожении может реализоваться так называемое ацетон-бутиловое брожение; спиртовое брожение сопровождается уксуснокислым, виннокислым и глицериновым брожениями; при некоторых видах брожения в значительных количествах могут накапливаться лимонная, фумаровая и янтарная кислоты.
4. Биосинтетические реакции углеводов
Одно из важных свойств моносахаров - это способность к енолизации, обеспечивающая как процессы взаимопревращения моносахаров, так и различные реакции биосинтеза.
В ряду последних, в первую очередь, следует отметить реакцию фиксации диоксида углерода дифосфатом рибулозы как один из этапов цикла Кальвина.1,5-дифосфат D-рибулозы в присутствии оснований становится С-нуклеофилом, который легко присоединяет электрофильный диоксид углерода. Образующийся промежуточный разветвленный С6-сахарид гидролитически расщепляется на два фрагмента глицериновой кислоты - таким образом, молекула углекислоты может считаться "усвоенной".
На следующем этапе 3-фосфат глицериновой кислоты восстанавливается реагентом in vivo до фосфата глицеринового альдегида; последний изомеризуется до соответствующего кетона - фосфата дигидроксиацетона. Показано, что из фосфатов глицеринового альдегида и дигидроксиацетона реакцией конденсации образуется молекула дифосфата фруктозы: при этом дигидроксиацетоновая компонента выступает в качестве нуклеофила в форме енолят-аниона.
Очень похожими реакциями получаются другие моносахара, а также регенерируется рибулоза, необходимая для первичного захвата диоксида углерода. Кроме этого пути фотосинтетической фиксации диоксида углерода существуют и некоторые другие: например, образование щавелевоуксусной кислоты присоединением фосфата енол-пировиноградной кислоты, имеющего нуклеофильный центр, по атому углерода углекислоты, об электрофильном характере которого уже говорилось выше. В свою очередь, щавелевоуксусная кислота легко восстанавливается до яблочной кислоты, а последняя служит источником и пировиноградной кислоты, и фосфата ее енольной формы.
К этой схеме следует заметить, что высвобождающийся в ходе каталитического разложения диоксид углерода не выделяется "наружу", а тут же используется для последующих фотосинтетических превращений, например, для образования фруктозы, а пируваты снова возвращаются на начальную стадию биосинтеза.
Одним из интереснейших и важнейших химических преобразований альдогексоз является реакция образования аскорбиновой кислоты. Процесс реализуется in vivo из D-глюкозы и D-галактозы, а в промышленности ее получают из D-глюкозы. Важно отметить, что природная аскорбиновая кислота имеет L-конфигурацию.















