10749 (646689), страница 4
Текст из файла (страница 4)
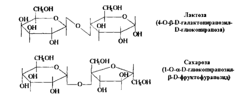
Полисахариды в силу того, что они являются О-гликозидами, легко подвергаются кислотному гидролизу до моносахаридов Полисахариды, построенные из остатков одного моносахарида, называются гомополисахаридами, а если они составлены из остатков различных моносахаридов - гетерополисахаридами, т. е так же, как и в случае дисахаридов. Так же, как и в дисахаридах, связь между моносахаридными фрагментами может осуществляться по типу 1-4', 1-6', 1-3', 1-2' при а - и в - конфигурациях гликозидного центра Последнее и понятно, так как такая конденсация двух молекул моносахаридов не оставляет свободного полуацетального гидроксила, способного взаимодействовать с третьей молекулой моносахарида и т.д., т.е. не оставляет возможности для реализации полимерного процесса.
О-гликозиды разные, т.к. О-гликозиды образуются взаимодействием спирта с циклическим изомером моносахарида, то очень часто природные соединения со спиртовой группы существуют в растениях именно в такой связанной форме в виде гликозидов. Они могут быть извлечены из сырья в мягких условиях без изменения, а если в процессе обработки сырья используется кислая среда и нагревание, то естественно, что моносахариды и агликоны будут найдены в индивидуальном состоянии и о природе гликозида можно будет только рассуждать. Известны 0-гликозиды стероидов: приблизительно у 11 семейств растений обнаружены такие производные, называемые сердечными гликозидами. Сердечные гликозиды образованы из моносахаридов или олигосахаридов различной природы, связанных в-гликозидной связью растительных стероидов через их спиртовую группу. В малых дозах они возбуждают деятельность сердечной мышцы, в больших дозах это сердечные яды.
Примером таких гликозидов может служить ланатозид А, найденный в одном из видов наперстянки.
Другая интересная группа растительных О-гликозидов - это цианогенные гликозиды, агликоновый компонент которых образован из а-циангидринов. Их особенностью является способность выделять синильную кислоту при ферментативном гидролизе, которому они подвергаются чрезвычайно легко: появление запаха "горького миндаля" при использовании семян некоторых растений указывает на присутствие в них таких гликозидов и на начало реакции их распада.
Циангидрины цианогенных гликозидов образуются из соответствующих аминокислот; в качестве сахарного остатка почти всегда фигурирует D-глюкоза, гликозидная связь которой имеет в-конфигурацию.
S-гликозиды. S-гликозиды весьма немногочисленны, наиболее хорошо изучена группа глюкозинолетов. Эти лечебные соединения легко расщепляются при действии ферментов, выделяя соответствующие изотиоцианаты и тиоцианаты, являющиеся причиной отравления при использовании растений, содержащих эти гликозиды.
Они содержатся во многих видах крестоцветных, максимум накопления тиогликозидов у большинства из них - в недозрелых семенах.
Н-гликозиды. О степени важности для живых систем Н-гликозидов говорить не приходится. Нуклеиновые кислоты, многие коферменты, макроэрги - вот те классы природных веществ, в основе которых лежит Н-гликозидный фрагмент, играя при этом далеко не второстепенную роль. Можно утверждать, что нет живой клетки без Н-гликозидов. Но при всем при этом, в структурном плане они представляют собой довольно локальный класс природных соединений, так как он ограничен сравнительно небольшим набором азотистых агликонов, а еще в большей степени - набором моносахаров, участвующих в их формировании. Поскольку основная масса Н-гликозидов представлена фрагментами, составляющими базис нуклеиновых кислот, и именно эти гликозиды выделены на первичных этапах исследования состава и строения ДНК и РНК, то из них и образовали отдельную группу под названием нуклеозиды.
Нуклеозиды образованы всего двумя моносахаридами - D-рибозой и D-2-дезокси-рибозой в своих фуранозных формах и небольшой серией азотистых гетероциклов с в-конфигурацией гликозидного фрагмента.
Азотистые агликоны нуклеозидов представлены двумя группами гетероциклов: производными пиримидина и производными пурина. Пиримидин и пурин функционализированы - НЗ2 и ОН-группами, но последний функционал претерпевает таутомерное превращение из гидроксиформы в соответствующую карбонильную функцию - это равновесие в нейтральной среде сдвинуто в сторону пиридоновых форм, тогда как соли имеют гидроксипиридиновую структуру.
Аминопиридиновый фрагмент этих нуклеиновых оснований также способен к таутомерному превращению, равновесие обычно сдвинуто в сторону аминной формы.
Таким образом, нуклеозиды можно разделить на "нормальные" - те, которые содержат в гетероцикле карбонильные и аминные функции, и на "редкие" - те, которые содержат в гетероцикле гидроксильные и иминные функции.
Механизм образования Н-гликозидов этого ряда может быть объяснен, основываясь на следующих предпосылках: как правило, моносахара в водных растворах предпочтительно существуют в б-форме; во-вторых, все нуклеозиды при этом имеют в-конфигурацию; и, наконец, поскольку образование Н-гликозида - это процесс нуклеофильного замещения, из двух таутомерных форм всех нуклеиновых оснований нуклеофильными свойствами обладают их лактимные формы. Учитывая все это, можно предположить, что реакция идет по механизму SN2, при котором электрофильный центр С атакуется атомом азота в пиридиновом валентном состоянии. А если учесть еще и то, что процесс должен реализоваться в очень мягких условиях живой клетки, можно предположить двойной катализ этой реакции - кислотный по полуацетальному гидроксилу и основной по фенольному гидроксилу. В принципе, он может быть реализован одной молекулой фермента, имеющей и кислотную, и основную функциональную группу.
Аналогичным образом могут быть образованы Н-гликозиды - с участием аминокислот и других биогенных аминов. Так как аминокислоты в нейтральных условиях существуют преимущественно в цвиттер-ионной форме, то катализатор-фермент двойственной природы, связывая кислотную функцию, активирует тем самым нуклеофильный реагент - а его кислотная функция будет синхронно активировать электрофильный центр.
Н-гликозиды, указанные на схеме 6.13 и называемые нуклеозидами, являются фрагментами, или, можно сказать, мономерными звеньями нуклеиновых кислот, которые связаны между собой фосфатными группами. Дезоксирибонуклеиновые и рибонуклеиновые кислоты, а также белки и полисахариды относятся к группе биополимеров, которые в настоящем издании мы рассматриваем очень кратко по причине вышеуказанной - это объекты физико-химии, химии ВМС и смежных областей биологии.
ДНК и РНК построены практически по одной схеме: полимерная цепочка представляет собой полиэфир фосфорной кислоты и моносахарида с боковыми ответвлениями в виде Н-гликозидных фрагментов.
Различаются они между собой природой моносахарида и набором оснований, образующих Н-гликозидный фрагмент: в ДНК это тимин, цитозин, аденин, гуанин, в РНК - урацил, цитозин, аденин, гуанин.
Эти небольшие казалось бы различия в структуре ДНК и РНК, в основном, сводятся к тому, что молекулы
ДНК являются более гидрофобными, а это, в свою очередь, приводит к тому, что в водной среде они проявляют тенденцию к агрегации, которая реализуется в виде двойной спирали. Двойная спираль ДНК построена на базе водородных связей между нуклеиновыми основаниями двух полимерных цепочек по схеме: тимин... аденин, цитозин... гуанин. Эти пары оснований представляют собой как бы "ступеньки веревочной лестницы", скрученной в виде спирали - это своего рода "винтовая лестница".
Водородные связи, образующие ступеньки этой "винтовой лестницы", уникальны по своей структуре - они являются кратными. Это двойная водородная связь в паре аденин-тимин и тройная связь в паре цитозин-гуанин. Бесспорно, такие мостики прочнее ординарных водородных связей, но они по-прежнему слабее любых ковалентных связей.
Различные Н-гликозиды. Различные Н-гликозиды, близкие по структуре к вышеописанным нуклеозидам, выполняющие функции, отличные от функций ДНК и РНК, широко распространены в живом мире - одинаково и в растительном, и в животном. Прежде всего, укажем на аденозин-трифосфат - основной макроэрг живой клетки, или другими словами - молекула, выполняющая роль аккумулятора энергии in vivo. Это лабильное соединение имеет одну важную особенность: первичная спиртовая группа рибозы фосфорилирована трижды и содержит вследствие этого трифосфорную группу, атомы фосфора которой имеют высокую степень электрофильности. Фосфорилированная часть молекулы АТР по своей структуре и свойствам похожа на фосфорный ангидрид - Р205, основной особенностью которого является высокоэкзотермичная реакция гидролиза. Взаимодействие АТР с нуклеофильными реагентами протекает легко и с выделением энергии, которая была затрачена на его синтез - т.е. энергия уже была как бы запасена в этой молекуле.
Аденозинтрифосфат участвует в большинстве метаболических реакций и является ключевым интермедиатом реакций in vivo, протекающих с переносом энергии запасенной им ранее. При гидролизе АТР на первом этапе отщепляется концевая фосфатная группа и выделяется около 30 кДж/моль энергии.
Образовавшийся аденозиндифосфат может гидролизоваться до аденозинмонофосфата с выделением еще некоторого количества энергии. Кроме того, фосфатные группы могут замещаться другими нуклеофилами - например, аминокислотами с образованием ацилфосфатов, которые являются ангидридами по своей химической природе и могут, в свою очередь, легко вступать в другие биохимические реакции также с выделением энергии. Широко распространен в живых системах циклический изомер AMP, выполняющий функцию посредника в работе ряда гормонов и нервных медиаторов.
Среди Н-гликозидов следует также особо отметить кофермент гликозидной структуры - НАД+, являющийся наиболее распространенным окислительно-восстановительным коферментом: он участвует в реакциях спиртокарбонильные превращения и др. Этот кофермент по химической структуре является дигликозидом.
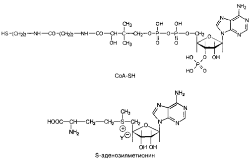
Другой интересный кофермент Н-гликозидной структуры - кофермент А, который участвует в биохимических реакциях переноса ацильного фрагмента in vivo и образует при биосинтезе большинства классов природных соединений интермедиат Co-S-CO-CH3. Н-гликозидом является и кофермент S-аденозилметионин, осуществляющий перенос метиленой группы в биосинтетических реакциях.
Из всего вышесказанного о различных Н-гликозидах ясно, что все они построены с участием аденина - поэтому часто их выделяют в отдельную группу.















