10434 (646517)
Текст из файла
Реферат
на тему:
"Простейшие бифункциональные природные соединения - мостик к массиву природных соединений"
Введение
Изучение полифункциональных природных соединений целесообразно начать с классов оксикислот, оксокислот и аминоспиртов, поскольку, во-первых, эти соединения достаточно широко представлены в живом мире на различных этапах его проявления — они встречаются в свободном виде и как фрагменты достаточно сложных молекул, некоторые из них образуются в процессе метаболизма веществ первичного биосинтеза или являются ключевыми соединениями главных путей биосинтеза. Второй аргумент в пользу выделения такой группы природных соединений в начало нашего курса — это наглядность проявления внутримолекулярного взаимного влияния функциональных групп, ведущего к появлению новых физических и химических свойств относительно исходных простых функций как важного фактора формирования молекул жизни.
1. Гидроксикислоты
Соединения этого класса являются достаточно простыми представителями природных соединений, они весьма часто встречаются в самых различных природных источниках. Гидроксиалкановые кислоты были выделены из ланолина, пчелиного воска, коры, корней, воскообразного слоя листьев, семян, бактерий и грибов. Наиболее часто встречаются б-гидроксикислоты, a в комбинации со сфингозинами животных и фитосфингозинами растений и Микроорганизмов они, очевидно, входят в состав всего живого.
В-гидроксикислоты играют важную роль в биосинтезе и катаболизме жирных кислот. Жирные кислоты с длинной цепью с одной и более гидроксильными группами обнаружены в жирах растительного и животного происхождения. В таких молекулах гидроксильные функции находятся, главным образом, на некотором расстоянии от карбоксильной группы.
Некоторые оксикислоты являются ключевыми соединениями на главных путях биосинтеза, пантовая кислота входит в состав кофермента А. Простейшая оксикислота гликолевая, НО-СН2-СООН, содержится в незрелом винограде, свекле, сахарном тростнике. Природная яблочная кислота, имеющая конфигурацию, содержится в кислых плодах, таких как незрелые яблоки, крыжовник, рябина, ревень. Лимонная кислота — важный продукт обмена веществ в живых организмах, некоторыми растениями накапливается в значительных количествах — в плодах цитрусовых — 6-8%, в листьях махорки — 8-14%, культуральными жидкостями некоторых бактерий — до 10%.
Следует отметить доступность многих гидроксикислот в лабораторных синтезах, а некоторых и в более крупных масштабах, что позволяет в ряде случаев использовать в практических целях синтетические вещества этого класса вместо труднодоступных соединений, полученных из природных источников.
Классификация гидроксикислот построена по общему принципу классификации бифункциональных соединений — согласно взаимному расположению функциональных групп при углеродной цепи и количеству этих функциональных групп. Очень многие природные гидроксикислоты имеют тривиальные названия, которые прочно укоренились в химической и биохимической практике.
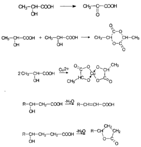
В структурном плане для этих соединений характерно появление молекулярного асимметрического центра, что позволяет присутствовать им в природных источниках в трех формах- -изомера, -изомера и -изомера. К примеру, молочная кислота образуется при молочнокислом брожении лактозы в виде рацемической смеси, тогда как в животном организме в результате гликолиза образуется -О-молочная кислота, которая накапливается в мышцах при интенсивной работе, вызывая характерную мышечную боль.
Молекула винной кислоты, образующаяся в процессе брожения виноградного сока, имеет два асимметрических центра, а так как каждый из них может иметь D- и L-конфигурации, то это соединение принципиально может образовать уже четыре конфигурационных изомера:,, и. Так как в молекуле винной кислоты оба асимметрических центра имеют одинаковое окружение и собственно одинаковое вращение, т.е. D=D' и L=L\ то изомеры и идентичны между собой и оптически неактивны. Фактически молекула этой конфигурации имеет плоскость симметрии и молекулярная асимметрия в ней исчезает. Такой изомер, представляющий собой как бы внутримолекулярный рацемат, называют мезоформой. Этерификация одной карбоксильной группы мезоформы винной кислоты приводит к нарушению симметрии молекулы и, соответственно, к возникновению оптической активности у изомеров и.
Та винная кислота, которая образуется при брожении виноградной кислоты, имеет -0-конфигурацию, еще ее называют виннокаменной кислотой. Остальные изомеры получают рацемизацией природной -0-винной кислоты, которая при кипячении со щелочью образует смесь D, L-рацемата и мезоформы Процесс рацемизации винной кислоты обусловлен ее С-Н-кислыми свойствами — в щелочной среде она образует карбанион, который легко инвертирует.
Таким образом, мы получаем общую картину конфигурационной изомерии молекул с двумя асимметрическими центрами, согласно которой такие соединения могут существовать в четырех стереоизомерных формах — паратреоизомеров и пара-эритро-изомеров. Мезоформа, являющаяся результатом идентичности двух асимметрических центров, представляет собой частный случай эритроформы.
Треоизомеры являют собой пару энантиомеров, также как и эритро-изомеры. Относительно друг друга трео-и эритроизомеры определяются как диастереомеры. Если известно, что энантиомеры являются друг относительно друга оптическими антиподами, т.е. различаются только по своему отношению к плоскополяризованному свету, то диастереомеры различаются между собой целым рядом физических и химических свойств, так как они имеют различное взаимное расположение функциональных групп внутри молекул, а следовательно отличаются молекулярной формой, геометрическими параметрами, взаимным влиянием несвязанных атомов.
По химическим свойствам оксикислоты являют сумму свойств спиртов и карбоновых кислот, сочетая эти свойства в одной молекуле, и в то же время они проявляют ряд новых свойств, обязанных взаимному влиянию функциональных групп друг на друга или взаимодействию этих групп между собой. К таким появляющимся новым свойствам можно отнести: образование циклических диэфиров, лактидов из боксикислот и легкость их окисления до кетокислот; легкость реакций в-элиминирования в случае в-оксикислот; образование внутримолекулярных сложных эфиров из г-оксикислот. б-Оксикислоты образуют комплексные соединения хелатного типа.
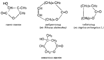
Часто лактонная форма для г-окси-кислот является даже более выгодной, чем оксикислотная, и г-оксикислоты самопроизвольно переходят в циклическую форму. Это характерно для таких известных соединений этого класса как пантовая кислота, многие сескви-терпены. Стабильными макроцикличес-кими лактонами представлены некоторые антибиотики и длинноцепочечные оксикислоты из группы мускусов; легко образует лактон и мевалоновая кислота.
Особые, в какой-то мере, специфические свойства проявляют оксикислоты, являющиеся интермедиатами различных биосинтетических реакций при ферментативном катализе in vivo.
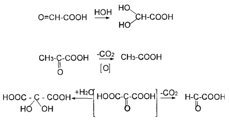
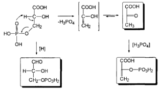
Глицериновая кислота в этих условиях обычно фигурирует в виде 3-фосфата, т.е. она избирательно этерифицируется фосфорсодержащими реагентами в присутствии ферментов по первой спиртовой группе. На следующем этапе 3-фосфат глицериновой кислоты элиминирует фрагмент фосфорной кислоты, образуя а-гидрокси-акриловую кислоту, которая сразу же изомеризуется в пировиноградную кислоту.
Но этот последний процесс является обратимым, и в условиях кислотно-основного катализа доля непредельной гидроксикислоты может быть существенной, хотя термодинамически более стабильна в данном случае б-кетокислота В свою очередь, енольная форма этой кислоты может быть стабилизирована, зафиксирована реакцией ее этерифика-ции фосфорной кислотой Таким образом, глицериновая кислота является источником двух новых соединений кислотного типа, а если учесть еще реакцию восстановления карбоксильной группы до альдегидной, то уже трех веществ, которые известны ка к важные промежуточные продукты основных химических процессов in vivo. Следует заметить, что в заметных количествах они в организмах не накапливаются.
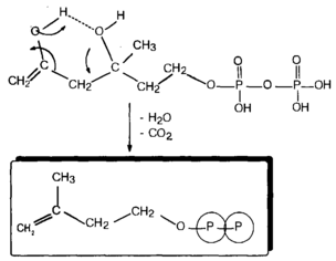
Из природных оксикислот можно выделить мевалоновую, являющуюся ключевым соединением биосинтеза изопре-ноидов, легко претерпевающую in vivo синхронное элиминирование фрагментов С02 и Н20, образуя при этом пирофосфатное производное 2-метил-бутенола, с которого и начинаются процессы формирования изопреноидных углеродных систем.
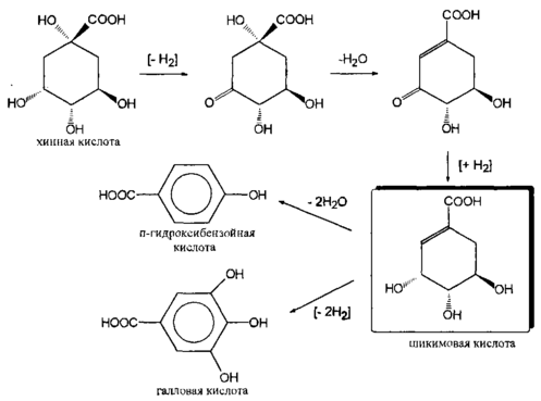
Хинная кислота, являясь исходным соединением биосинтеза ароматических кислородсодержащих соединений, может накапливаться в некоторых растениях в заметных количествах. Но основное предназначение этой кислоты — образование шикимо-вой кислоты, ключевого интермедиа-та вышеуказанных синтезов, с последующим переходом к бензольным производным, используя реакции дегидратации и дегидрогенизации.
2. Оксокислоты
Оксокислоты в природе распространены значительно меньше, чем гидроксикислоты, они редко встречаются в свободном состоянии, не накапливаются в организмах, хотя и образуются на различных стадиях биосинтеза. По поводу последнего факта нужно отметить, что в биосинтезе они играют зачастую важнейшую роль, являясь ключевыми соединениями ряда биосинтезов.
Классифицируют оксокарбоновые кислоты, как и все бифункциональные соединения, согласно взаимному расположению функциональных групп, подразделяя их при этом на альдегидо- и кетонокислоты. Многие оксокислоты носят тривиальные названия.
В структурном плане оксокислоты несколько более примитивны, чем оксикислоты — сказывается потеря асимметрического центра при переходе от гидроксикислот к оксокислотам. Так, при окислении любой формы молочной кислоты мы получим одну единственную пировиноградную кислоту. Но в тоже время, этот класс бифункциональных соединений отличается большим разнообразием химических реакций, химических особенностей, обязанных взаимному влиянию карбонильной и карбоксильной групп.
В случае б-оксокислот можно отметить легкость присоединения нуклео-фильных реагентов по карбонильной группе и легкость реакций декарбоксилирова-ния — пировиноградная кислота в условиях окислительного ферментатив-но катализируемого декарбоксилиро-вания образует уксусную кислоту. Мезоксалевая кислота сочетает в себе легкость протекания обоих этих процессов — она существует только в виде гидратированного аддукта и в водном растворе легко разлагается на глиоксалевую кислоту и двуокись углерода.
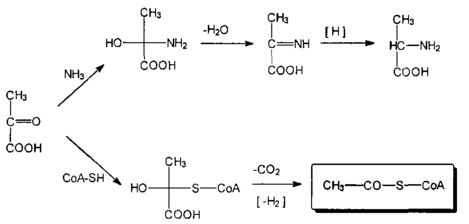
Пировиноградную кислоту следует выделить из всех б-оксокислот еще и как источник весьма существенных биологически активных соединений, получаемых in vivo в результате реакции нуклеофильного присоединения по карбонильной группе и последующих преобразований. С таким реагентом как аммиак, она в несколько стадий, включая еще реакции дегидратации и восстановления, образует важную б-аминокислоту аланин; а при взаимодействии с тиолом ферментной природы, коферментом-А, через стадии присоединения, декарбоксили-рования и восстановления, образует ацетилированный кофермент-А — важнейший интермедиат многих биосинтетических реакций.
В случае в-кетокислот, на примере ацетоуксусного эфира, мы наблюдаем интереснейшее явление двойственной реакционной способности, называемое таутомерией. Применительно к указанному классу соединений, это явление названо кето-енольной таутомерией. Суть данного явления заключается в следующем: карбонильная и карбоксильная функции, будучи сильными электроноакцепторами, оголяют протоны метиленовой группы, расположенной между ними, что делает их кислыми. В силу этого водород в виде катиона может мигрировать к карбонильному кислороду несущему на себе избыточную электронную плотность; синхронно этому переходу электронная плотность карбонильной группы и у-связей метиленового фрагмента перераспределяется так, как это указано на схеме 2.2.4, образуя систему енола
Процесс является обратимым, поскольку гидроксил при тригональном углероде всегда достаточно кислый и его протон может осуществлять, в свою очередь, электрофильную атаку по С=С связи. Оба эти процесса совершаются столь медленно, что тау-томеры могут быть разделены либо кристаллизацией, либо фракционной перегонкой Но через некоторое время индивидуальные изомеры при стоянии снова превращаются в равновесную смесь соединений кетонной и енольной структуры Таким образом, ацетоуксусный эфир, кроме свойств кетонов и сложных эфиров, обнаруживает еще свойства непредельных соединений, спиртов и фенолов, так как гидроксил при двойной связи ведет себя так же, как и при ароматическом кольце
Характеристики
Тип файла документ
Документы такого типа открываются такими программами, как Microsoft Office Word на компьютерах Windows, Apple Pages на компьютерах Mac, Open Office - бесплатная альтернатива на различных платформах, в том числе Linux. Наиболее простым и современным решением будут Google документы, так как открываются онлайн без скачивания прямо в браузере на любой платформе. Существуют российские качественные аналоги, например от Яндекса.
Будьте внимательны на мобильных устройствах, так как там используются упрощённый функционал даже в официальном приложении от Microsoft, поэтому для просмотра скачивайте PDF-версию. А если нужно редактировать файл, то используйте оригинальный файл.
Файлы такого типа обычно разбиты на страницы, а текст может быть форматированным (жирный, курсив, выбор шрифта, таблицы и т.п.), а также в него можно добавлять изображения. Формат идеально подходит для рефератов, докладов и РПЗ курсовых проектов, которые необходимо распечатать. Кстати перед печатью также сохраняйте файл в PDF, так как принтер может начудить со шрифтами.















