10434 (646517), страница 2
Текст из файла (страница 2)
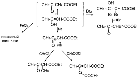
Следует отметить, что кето-енольная таутомерия проявляется и в свойствах вышеописанной пировиноградной кислоты, и хотя доля енольной формы у нее незначительна, в реакциях она реализуется часто как основная.
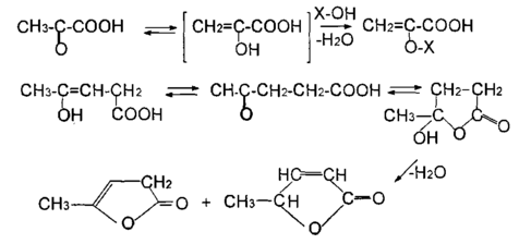
Для г- и д- оксокислот характерны как кето-енольная, так и кольчато-цеп-ная таутомерия. Результатом последней, в случае левулиновой кислоты, является гидроксилактон, наиболее устойчивая таутомерная форма этого соединения, которая достаточно легко отщепляет воду в присутствии водоот-нимающих агентов, образуя непредельные г-лактоны.
3. Аминоспирты
Алифатические соединения, содержащие амино- и гидрокси- группы, называемые аминоспиртами, классифицируют согласно взаимному расположению этих функциональных групп. 1,1-Аминоспирты — соединения достаточно нестабильные, не встречающиеся в природе, имеют значение как промежуточные в различных органических реакциях. Для химии природных соединений определенное значение имеют 1,2-аминоспирты, среди которых наибольшее значение имеет в-этаноламин, встречающийся достаточно часто в виде производных в связанном виде.
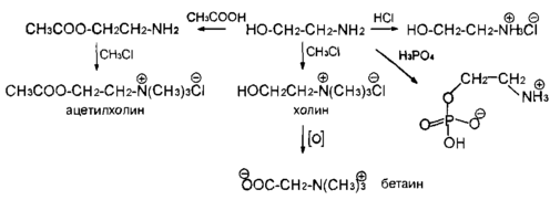
в-Этаноламин сочетает в себе свойства первичных спиртов и первичных аминов, обе эти группы в какой-то мере близки по своим свойствам: обе они выполняют электронодонорные функции, могут образовывать водородные связи, проявлять кислотные свойства, являются эффективными нуклеофила-ми. Присутствие и взаимное влияние этих двух функций внутри одной молекулы приводит к затруднению реакций, характерных для класса спиртов и класса аминов — в-этаноламины труднее дегидратируются, этерифицируются или Н-алкилируются. Те же реакции, которые реализуются, носят часто конкурентный характер. Так, при взаимодействии в-этаноламинов с минеральными кислотами может реализоваться как солеобразование по аминогруппе, так и нуклеофильное замещение спиртового гидроксила. При их реакции с карбоновыми кислотами возможно ацилирование обеих функциональных групп, то же самое возможно и при реакциях алкилирования.
Из приведенных на схеме 2.3.1 производных в-этаноламина следует отметить в первую очередь ацетилхолин, выполняющий в организмах теплокровных важнейшую функцию нейромеди-атора. Холин также далеко неэкзотичен в живой природе: он широко распространен в животных и растительных тканях, а также в микроорганизмах; особо высоко содержание его в нервной ткани мозга, печени, почек и мышцы сердца. Важное значение имеет также О-фосфат этаноламина, сочетающий в себе основную и кислотную функции и существующий в виде цвиттериона.
Этот цвиттерионный фрагмент — фрагмент, обладающий высокой гид-рофильностью — характерен для фос-фолипидов и соответственно липидных мембран. В некоторых биосинтетических реакциях, в частности, при биосинтезе некоторых аминокислот, в качестве донора метильных групп принимает участие бетаин.
Другой важной группой природных аминоспиртов являются сфингозины — составная часть сфинголипидов, выделенных впервые из тканей мозга, но впоследствии обнаруженных во многих животных и растительных источниках.
Производными в-аминоспиртов являются алкалоиды семейства эфедро-вых — эфедрин, норэфедрин, Н-метилэ-федрин. Среди них наиболее известен эфедрин, используемый в медицинской практике в качестве сосудосуживающего и бронхорасширяющего средства, его применяют при лечении аллергических заболеваний, а также как стимулятор центральной нервной системы и при отравлении некоторыми наркотиками, так как он является их антагонистом.
Из аминоспиртов растительного происхождения следует отметить мус-карин, содержащийся в мухоморе красном, являющийся имитатором ацетилхолина. В малых дозах он понижает у человека артериальное давление, амплитуду и частоту сердечных сокращений; в больших дозах вызывает спазмы мышц, судороги, коматозное состояние.
Аминоспирты животного происхождения представлены катехоламинами, осуществляющими регуляцию функций эндокринных желез и передачу нервных импульсов. В первом случае они рассматриваются как гормоны, во втором случае — как нейромедиаторы. Соединения этой группы, кроме спиртового гидроксила, имеют еще и фенольные функции. Биогенные катехоламины представлены тремя соединениями: дофамин, норадреналин, адреналин.
Роль этих веществ в жизнедеятельности животных важна и разнообразна. Дофамин стимулирует секрецию соматотропина и подавляет секрецию пролактина, он также регулирует уровень глюкозы в крови, диурез, кровоток в почках; нарушение синтеза дофамина в мозгу — причина возникновения болезни Паркинсона. Норадреналин участвует в передаче нервных импульсов, воздействует на мышцы кровеносных сосудов, сужая их и повышая тем самым артериальное давление. Адреналин также способствует сужению мелких кровеносных сосудов, вызывает усиление работы сердца, расслабляет мускулатуру бронхов и кишечника. При эмоциональных переживаниях, особенно в стрессовых ситуациях, усиленной мышечной работе, охлаждении и ф д. содержание адреналина в крови резко возрастает, что обеспечивает адаптацию организма к новым условиям.















