4602 (643131)
Текст из файла
Содержание
-
Список сокращений и условных обозначений
-
Цели и задачи работы
-
Общие положения
-
Теоретическая часть
-
Расчетная часть
-
Исходные данные
-
Выполнение расчетов
-
Выводы и предложения
Список литературы
1. Список сокращений и условных обозначений
АП - Авиационное происшествие
АПСК - Аэродромный пожарно-спасательный комплекс
АС - аварийная ситуация
АСО - аварийно-спасательное обеспечение
АСР - аварийно-спасательные работы
АСС - аварийно-спасательная станция
АТС - авиационная транспортная система
БЖД - безопасность жизнедеятельности
БП - безопасность полетов
ВС - воздушное судно
ВТ - воздушный транспорт
ГА - гражданская авиация
ИПЛ - испытательная пожарная лаборатория
ЛС - лафетный ствол
МРД - магистральная рулежная дорожка
ОАСС - основная
АСС ПА - пожарный автомобиль
ПАСС - поисковые и аварийно-спасательные силы и средства
ПС - пожарный насос
ПО - пенообразователь
РГР - расчетно-графическая
РД Ёрулежная дорожка
САСС - стартовая АСС
УТПЗ - уровень требуемой противопожарной защиты
2. Цели и задачи работы
Цель данной работы заключается в анализе работы аэродромных пожарно-спасательных комплексов, путем расчета статических и динамических критериев АПСК.
Дать оценку АПСК на аэродроме данном варианте и привести решение задач по оптимизации АПСК.
Задачи заключаются в подготовке сил и средств, для ликвидации последствий АС.
К таким задачам относятся:
-
планирование мероприятий (руководство, связь, координация) на случай АС в предприятии ГА,
-
контроль оснащенности и поддержание в постоянной готовности ПАСС,
-
обеспечение подразделений службы ПАСОП постоянно действующей устойчивой связью и системой аварийного оповещения,
-
организацию круглосуточного дежурства ПАСС и оперативного взаимодействия с другими службами и организациями,
-
обеспечение ВС съемным и стационарным бортовым аварийно-спасательным оборудованием (БАС О) и контроль за его состоянием,
-
ознакомление пассажиров с правилами пользования БАС О ВС и выживания в АП,
-
обучение и контроль уровня подготовки экипажей ВС и спасателей к действиям в ожидаемых условиях.
3. Общие положения
Главными показателями эксплуатационной эффективности воздушного транспорта (ВТ) являются регулярность, экономичность и безопасность полетов (БП). Последний из них - главный, так как он напрямую влияет на два предыдущих. Человеческая жизнь бесценна, поэтому для защиты жизни и здоровья пассажиров и членов экипажа должны приниматься все возможные меры.
Обеспечение безопасности полетов ведется в двух направлениях:
-
предупреждение авиапроисшествий (АП);
-
понижение тяжести последствий АП.
Приоритетным направлением обеспечения БП является предупреждение АП. Тем не менее, на современном уровне развития авиации, АП, к сожалению, неизбежны. Для спасания пассажиров и членов экипажа ВС в нашей стране создана система ПАСОП. Основополагающим принципом построения системы авиационного поиска и спасания является принцип «Эффективности и экономичность». Затраты предприятий и авиакомпаний на обеспечение безопасности полетов не должны превышать определенные пределы, или быть ниже установленных государством. И в том, и в другом случае система ПАСОП неэффективна.
По статистике, наибольшее количество АП с транспортными самолетами происходит на этапах взлета, посадки, захода на посадку, т.е. на территории и в районе аэродрома. В соответствии с Воздушным Кодексом аварийно-спасательные работы (АСР) на аэродроме и в районе аэродрома проводятся силами собственника аэродрома или аэропорта.
В современных условия затраты на обеспечение безопасности воздушных перевозок в «экономически сильных» предприятиях ГА и авиакомпаниях составляют 25-30% от общих затрат. Это, в свою очередь привлекает потенциальных пассажиров, увеличивает объемы перевозок и§доходы предприятия. «Слабые» предприятия и авиакомпании не в состоянии в полной мере обеспечить БП. При этом и к «сильным» и к «слабым» предприятиям предъявляются одинаковые требования по обеспечению безопасности, установленные Государством в нормативных документах.
Уровень безопасности полетов определяется состоянием сил и средств, выполняющих и обеспечивающих полеты, их готовностью к действиям в ожидаемых условиях и надежностью.
В настоящее время большинство ВС РФ имеют календарный срок службы 15-22 года. Сложилась порочная практика продления ресурса ВС, что приводит к инцидентам и АП.
В системе аварийно-спасательного обеспечения полетов более 80% аэродромных пожарных автомобилей (ПА) выслужили установленные сроки и требуют немедленного списания. Практически все отечественные ПА по своим функциональным характеристикам отстают от требований ИКАО к противопожарным и аварийно-спасательным транспортным средствам.
Существующие нормативные требования к оснащению аэродромов аварийно-спасательными средствами, учитывают, в основном, количественные показатели, не связанные с дислокацией этих средств на аэродроме и их функциональными свойствами.
Учитывая вышеизложенное, можно сделать вывод о том, что в современных условиях нужна научно обоснованная методика в области аварийно-спасательного обеспечения полетов, позволяющая:
- объективно оценивать эффективность имеющихся в аэропорту аварийно-спасательных сил и средств с учетом их реальных возможностей и размещения на аэродроме;
- оптимально размещать имеющиеся силы и средства с учетом их функциональных возможностей на аэродроме. При этом время развертывания наземных аварийно-спасательных сил и средств на месте АП не должно превышать критического времени пребывания людей внутри ВС под воздействием поражающих факторов.
Применение данной методики позволит:
-
снизить затраты предприятий в случае проведения АСР за счет снижения тяжести последствий АП;
-
уменьшить страховые выплаты за погибших и травмированных пассажиров в случае АП авиакомпаниям;
• обеспечить выживаемость большего количества людей в АП. Накопленный в мировой гражданской авиации опыт проведения АСР говорит о том, что наиболее важными факторами, влияющими на эффективность аварийно-спасательных операций, при АП с выживанием людей являются уровень подготовки персонала, надежность оборудования и скорости развертывания персонала и аварийно- спасательных средств.
Однако в задачи данной работы и рассматриваемой методики оценка первых двух факторов не входит. При выполнении расчетно-графической работы буде считать, что личный состав имеет необходимую квалификацию, а все пожарно-техническое оборудование надежно работает и выдает заявленные в паспорт (формуляре) эксплуатационные характеристики.
4. Теоретическая часть
Послеаварийные пожары на ВС представляют наибольшую опасность для жизни и здоровья людей, находящихся на борту. Опасность авиационных пожаров и их скоротечность предъявляют требования к повышению эффективности как бортовых, так и наземных средств противопожарной защиты ВС, готовности расчетов АСК, в первую очередь ПСР, к быстрым и эффективным действиям по локализации и ликвидации пожара в целях проведения спасательных работ.
На территории и в районе аэродрома противопожарную защиту и тушение пожаров обеспечивает АПСК. Под аэродромным пожарно-спасательным комплексом понимается минимально необходимое количество технических средств, в данном случае, аэродромных пожарных автомобилей (ПА), оснащенных огнетушащими средствами (ОТС) и определенным образом размещенных на территории аэродрома.
Очевидно, что АПСК может считаться эффективным, если по своим тактико-техническим параметрам он обеспечивает тушение или локализацию пожара самолета, находящегося в любой точке аэродрома, не позже чем через заданный с начала возникновения пожара момент времени.
Принятая в настоящее время методика оценки эффективности АПСК заключается в проверке его соответствия:
■ Количество ОТС, с заданным огнетушащим свойством должно быть не менее требуемого:
Qф
Qтр;
■ Производительность подачи указанных ОТС при тушении пожара должно быть не менее требуемой:
qф
qтр;
■ Время прибытия ПА в наиболее удаленную точку аэродрома должно быть не более заданного интервала:
ф
тр;
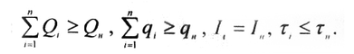
В случае, если комплекс состоит из n ПА различных типов и при этом Qi,qi,Ii,
i - соответственно количество ОТС, производительность их подачи, огнетушащая интенсивность подачи составов и время прибытия в наиболее удаленную точку аэродрома для i-го автомобиля, Qn,qn,In,
n - нормативные значения указанных показателей для всего комплекса, то вышеперечисленные требования математически записываются в виде следующей системы:
Показатели gb ц т, являются обобщающими, т.к. по физической сущности обобщают влияние различных параметров ПА, территориальной их на аэродроме и элементов организации службы на эффективность тушения пожаров самолетов.
В настоящее время в результате обобщения в системе ICAO многолетнего опыта эксплуатации и применении ПА установлены следующие значения нормативных величин:
н=3мин, IH=0,137кг/м*с, a QH, qH в зависимости от категории пожарной защиты ВПП от 800 до 41000кг и от 6 до 226кг/с соответственно.
На основе изложенной методики оценки эффективности АПСК определяются их количественный и качественный состав. Однако, базируясь на такой методике затруднительно оценить эффективность комплекса в конкретном аэропорту, при наличии весьма значительного разброса динамических и скоростных характеристик ПА различных типов, различном размещении ПА на АСС и т.д. Таким образом, принятая система оценки не учитывает количественно взаимосвязи различных показателей и параметров АПСК.
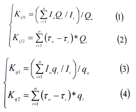
Для оценки эффективности АПСК вводят и нормированные показатели, которые сверяют обобщающие показатели комплекса. В качестве таких показателей можно использовать критерии эффективности комплекса ПА по запасу ОТС (Kq) и по производительности (Kq) следующего вида:
В случае если Ii=IH , а
i=
H , то KQ2=Kq2=0 , а KQ1 и K q 1 принимают формулу, которая используется в применяемой в настоящее время методике оценки АПСК.
Критерии эффективности показывают, что при значениях Kq1 и Kq1
1 и при значениях Kq2 и Kq2
0 аэродром располагает АПСК достаточной эффективности, а в случае, если эти условия, хотя бы для одного критерия эффективности не выполняются - не достаточной.
Характеристики
Тип файла документ
Документы такого типа открываются такими программами, как Microsoft Office Word на компьютерах Windows, Apple Pages на компьютерах Mac, Open Office - бесплатная альтернатива на различных платформах, в том числе Linux. Наиболее простым и современным решением будут Google документы, так как открываются онлайн без скачивания прямо в браузере на любой платформе. Существуют российские качественные аналоги, например от Яндекса.
Будьте внимательны на мобильных устройствах, так как там используются упрощённый функционал даже в официальном приложении от Microsoft, поэтому для просмотра скачивайте PDF-версию. А если нужно редактировать файл, то используйте оригинальный файл.
Файлы такого типа обычно разбиты на страницы, а текст может быть форматированным (жирный, курсив, выбор шрифта, таблицы и т.п.), а также в него можно добавлять изображения. Формат идеально подходит для рефератов, докладов и РПЗ курсовых проектов, которые необходимо распечатать. Кстати перед печатью также сохраняйте файл в PDF, так как принтер может начудить со шрифтами.















