45 (641384), страница 9
Текст из файла (страница 9)
При IZGIV*=1 из числа исправных ЧЭ выбираются номера четырех ЧЭ: 3 из них считаются управляющими, а четвертый используется для контроля. Выбор четверки по ПЗ осуществляется аналогично случаю IZGIV*=2.
При IZGIV*=0 выбор работающих измерительных каналов осуществляется аналогично случаю работы на четырех ЧЭ, отличие состоит в том, что контрольный ЧЭ не формируется [21].
Алгоритм ЧЭ формирует запросы на включение ЧЭ IPVG(i)=1 после определения их номеров [21].
В результате формируется управляющая матрица В(3х3), используемая в расчетах проекций приращений углов на приборные оси. Для этого формируется вспомогательная матрица D(3х3), составленная из строк матрицы С(6х3), соответствующих номерам управляющих ЧЭ. Управляющая матрица рассчитывается следующим образом [21]:
B = D-1.
Алгоритм тактированный, работает с тактом То=0,1 с.
3. Алгоритм расчета приращений углов
Алгоритм формирует суммарные признаки функциональной и точностной готовности ГИВУС по признакам, приходящим из подсистемы. Осуществляет выбор диапазона измерений ГИВУС по признаку ППД, формируемому алгоритмами режимов [5 ,21].
Алгоритм формирует информацию о приращениях углов, измеренных каждым ЧЭ
:
где mi – цена импульса і-го ЧЭ ГИВУС;
Ni – число импульсов с і-го ЧЭ за такт;
i – паспортизуемый уход і-го ЧЭ.
Рассчитываются приращения углов [5, 7] поворота объекта в проекциях на приборные оси ГИВУС gj :
где Вjk – элементы матрицы управления;
nuprk – номера управляющих ЧЭ ГИВУС (j=13; k=13).
Затем вычисляются проекции приращений углов на оси визирной системы координат (ВСК) j:
где ADj – погрешности установки ПСК ГИВУС относительно ВСК;
yxj – вычисленный на борту угловой уход (j=13).
Алгоритм тактированный, работает с тактом То=0,1 с.
4. Алгоритм контроля ГИВУС
Контроль осуществляется при условии IZCON=0.
Алгоритм рассчитывает приращение угла по контрольной оси и сравнивается с приращением, полученным с контрольного ЧЭ [21]:
k = Cncon,1g1 + Cncon,2g2 + Cncon,3g3
|k -ncon|<p
где ncon – номер контрольного ЧЭ;
p – порог контроля информации.
Если разность не превышает порог p, заданный в ПЗ, то все включенные ЧЭ считаются исправными. В противном случае для идентификации отказавшего ЧЭ алгоритм формирует заявку на подключение пятого ЧЭ. После достижения им точностной готовности происходит идентификация отказавшего ЧЭ следующим образом: из 5 задействованных ЧЭ формируется 5 групп по 4 ЧЭ в каждой. Для каждой группы вычисляется скалярное рассогласование между показаниями этих ЧЭ. При наличии отказов рассогласование превышает порог p и формируется признак ненормы. Поскольку каждый из 5 включенных ЧЭ входит в 4 группы, то при одном отказавшем ЧЭ ненорма рассогласования возникает в 4-х случаях. Для той группы, куда не вошел отказавший ЧЭ, рассогласование будет в норме [21].
Признаку отказа с номером неисправного ЧЭ присваивается значение 1 и спустя время задержки на формирование признака неисправности, заданное в ПЗ, выдается заявка на его отключение.
Если ненорма рассогласования возникла не в 4-х случаях или ненорма возникла при работе на 4 ЧЭ, когда 2 ЧЭ отказали ранее, то формируется признак ненормы контроля, идущий в телеметрию и никаких решений автономно не принимается.
Алгоритм формирует признак смены работающего комплекта ЧЭ IPSM=1.
При отсутствии точностной готовности прибора, или при количестве отказавших ЧЭ, большем 3, или на время переключения диапазонов, или на время подключения 5-го ЧЭ для идентификации отказа формируется IGIV=0. Иначе прибор считается информативным.
На время отсутствия информативности ГИВУС рассчитывается прогнозируемое приращение угла поворота объекта за такт, которое поступает в алгоритм оценки скорости [21]:
где
- оценочная эффективность исполнительных органов;
n – номер такта.
Алгоритм тактированный, работает с тактом То=0,1 с.
Расчет суммарной погрешности
Рассчитаем суммарную погрешность
для ЧЭ ГИВУС 1, 3, 5, 6 в виде:
где
- погрешность цены импульса;
- погрешность случайного ухода;
- погрешность, обусловленная ошибками установки.
Пусть скорость направлена по оси 6-го ЧЭ.
Матрица установки С (6х3) имеет вид:
Элементы матрицы С определяются выражениями:
После тригонометрических преобразований и предположения, что
, выражения (4.18) будут иметь вид, соответственно:
Определим составляющие выражения (4.16).
Пусть с ГИВУС поступают выходные импульсы Ni (i = 1, 3, 5, 6):
где
– приращение угла поворота объекта вокруг оси чувствительности i-го
ЧЭ ГИВУС за такт;
– реальная цена импульсов i-го ЧЭ ГИВУС;
[…] – операция выделения целой части.
В алгоритме обработки информации ГИВУС приращение угла поворота объекта за такт вычисляется по формуле [7]:
где
- алгоритмическая цена импульсов i-го ЧЭ ГИВУС, взятая из ПЗУ или ПЗ.
Подставляя величину
в виде [7, 16, 21, 22]:
где
- ошибка знания реальной цены импульсов ГИВУС, и полагая в (4.3.5)
в данный момент времени, из (4.18) получим [16]:
где
- ошибка в вычислении приращения угла
в алгоритме обработки информации ГИВУС, определяемая по формуле [22]:
Контрольную разность можно представить в виде [7]:
Т.к. ошибки
случайны и независимы между собой, получим [21]:
где
- ошибка в вычислении приращения угла поворота в ПСК ГИВУС, которая вычисляется по формуле [7, 16, 21]:
где В(j, i) – матрица управления, которая имеет вид:
После подстановки в (4.25) численных значений и некоторых предположений, мы получим значение погрешности от цены импульса
.
2. Вычислим
- погрешность случайного ухода.
В данном случае имеем [7, 21, 22]:
тогда после подстановки в (4.24) (4.25) и с учетом (4.26) мы получим значение погрешности от случайного ухода
.
3. Приведем методику вычисления
- погрешности, обусловленной ошибками установки
Данная погрешность вычисляется по формуле [7 ,16]:
4.4 Алгоритм стабилизации
В правых частях динамических уравнений (1.1) стоят проекции вектора главного момента всех внешних сил М, действующих на корпус космического аппарата :
.
Характерной особенностью момента управления
является активность, он появляется в результате включения вспомогательных органов (в частности реактивных двигателей стабилизации), и исчезает при их отключении. Момент
, следует логике теории автоматического управления, и обеспечивает заданное угловое движение корпуса космического аппарата [1, 3].
Источником внешнего возмущающего момента
, является взаимодействие с внешней [1, 4, 6, 10, 12] средой, приводящее к появлению действующих на корпус внешних сил – гравитационного, аэродинамического, светового, магнитного и др. Будем рассматривать гравитационный и аэродинамический моменты. Другие моменты не будем рассматривать в силу их малости.
Момент
имеет две составляющих –
(создаваемую реактивными двигателями), и
(создаваемым моментным магнитоприводом и др. Будем рассматривать только
).
Важным свойством динамической системы ориентации является: если осями ориентации являются поступательно движущиеся оси, то при соответствующем законе управления вместо сложных пространственных поворотов космического аппарата можно изучать три независимых плоских угловых движения, что мы и сделаем в системе, т.е.:
получено три независимых уравнения.
Пусть двигатели работают в импульсном режиме [1, 4, 6, 11, 12]. Зона нечувствительности определяется условием:
Для изучения нужного динамического процесса, коэффициенты k в законе управления (Рис. 4.2):
должны быть положительны. Сигнал управления формируется путем сложения сигналов датчика угла и датчика угловых скоростей. Включение двигателей происходит при
. Диаграмма зависимости управляющего момента
от сигнала
имеет вид ( рис 4.3 ) [1 ,3 , 25].
Рис. 4.2 - Закон управления
Рис. 4.3 - Изменение управляющего момента со временем в канале X:
Фазовая диаграмма процесса установления ориентации имеет вид (рис 4.2). Заштрихованная область – это комбинация значений
, при которых действует управляющий момент [6]. Линии
являются линиями переключения, т.е. при пересечении этих линий изображающей точкой происходит включение (или выключение) исполнительных органов системы ориентации. Указанные линии походят через точки
на оси абсцисс, а их наклон зависит от коэффициента k [1, 3, 25]:
Рис. 4.4 - Фазовый портрет
Также вводятся дополнительные зоны нечувствительности:
,
- нижняя и верхняя линии переключения, располагающиеся параллельно оси абсцисс. Они предназначены для «гашения» больших начальных угловых скоростей [25]. При пересечении этих линий изображающей точкой происходит включение (или выключение) исполнительных органов системы ориентации. Соответственно дополнительная зона нечувствительности находится между
, и
. Фазовый портрет при больших начальных угловых скоростях приведен на (Рис. 4.5)
Рис. 4.5 - Фазовый портрет с большими начальными угловыми скоростями
Также вводится гистерезис,
- предназначенный для гашения шумов при «скольжении» фазовой диаграммы по линии переключения с наклоном -1/K [3].
Рассмотрим КА как упругое тело [1.3.6.7,9,10,11.12]. Уравнения осцилляторов для упругой модели имеет вид [5]:
где
- коэффициент демпфирования для каждой отдельно взятой гармоники.
- квадрат собственной частоты не демпфированных колебаний для каждой гармоники.
- управляющий момент с учетом возможного отказа. i = 1,2,3,4. Коэффициенты
мы берем из таблицы, приведенной в Приложении А.
При нулевой правой части, мы получаем свободные колебания, зависящие от начальных отклонений, угловых скоростей и др. При ненулевой правой части мы получаем вынужденные колебания, которые накладываются на свободные колебания. Они являются затухающими со временем, в силу коэффициента демпфирования. Прототипом для данной упругой модели послужил маятник на пружинке. Рассматриваемая система является линейной.
Находим, также как для абсолютно твердого тела, угловые скорости, угловые ускорения, с учетом возможных отказов [25, 26].
Введем в имитационную модель космического аппарата наряду с двигателями большой тяги – двигатели малой тяги. Будем рассматривать двигатели дросселированной тяги, т.е. реактивные двигатели могут работать как с большой тягой, так и с малой. Введем дополнительную зону нечувствительности для двигателей большой тяги. Для более эффективного гашения шумов введем паузу по времени при выходе из зон нечувствительности. Для наглядности введем паузу Tp = 3 сек. Тогда, фазовый портрет для упругой модели, с учетом работы двигателей малой тяги и действующих на космический аппарат аэродинамического и гравитационного моментов, имеет вид (рис 4.6). Так как задана достаточно большая пауза, то процесс может, получился неустойчивым. Таким образом, очень важным фактором является правильный выбор паузы [25].
Рис. 4.6 - Фазовый портрет для большой паузы
Разработанный алгоритм позволяет моделировать сложные физические процессы с учетом внешних факторов действующих во время полета космического аппарата [1, 3, 25].
4.5 Решение задачи идентификации отказов
Алгоритм обработки данных в бесплатформенной инерциальной навигационной системе строится с использованием субоптимального дискретного фильтра Калмана [7, 16, 22, 25, 27].
Для малых угловых отклонений осей ССК от БСК и при условии Ix Iy Iz уравнения (1.1) и (1.2) запишем в виде [25]:
Тогда для построения системы оценки вектора состояния (j, j, mвj) примем следующую модель объекта наблюдения [16, 22, 27]:
где mj=МДСj /Jj - эффективность управляющего момента;
МДСj - управляющий момент ДС;
mвj=Мвj /Jj - эффективность возмущающего момента;
uj - сигнал управления ДС;
j=x, y, z.
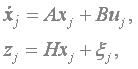
Запишем систему уравнений (4.32) в стандартной векторно-матричной форме, дополнив ее уравнением измерений [7]:
где xj = (x1j, x2j, x3j)T=(j, j, mвj)T - вектор состояния;
zj - вектор измерений;
j - шум измерений;
j=x, y, z.
Используя критерий Калмана, несложно показать, что такая система является полностью наблюдаема [7, 16, 22, 25, 26, 27]:
rank[HT ATHT (AT)2HT]=n=3, где n - порядок системы.
Реализация в бортовом вычислителе дискретного фильтра Калмана сводится к оценке вектора состояния по следующим соотношениям [25, 27]:
где:
- оценка вектора состояния;
- переходная матрица для вектора состояния;
- ковариационная матрица ошибок фильтрации;
- ковариационная матрица ошибок прогноза;
- матричный коэффициент усиления;
- ковариационная матрица шумов измерения;
j=x, y, z.
Работа алгоритма основана на анализе величины оцениваемого в фильтре Калмана возмущающего момента [25]. Если математическое ожидание оценки возмущающего момента, вычисленного на некоторой временной базе, где управление равно нулю, превосходит допустимый порог, то принимается решение об отказе ДС и переходе на резерв (рис. 4.7) [25].
Рис. 4.7 - Обобщенная структурная схема алгоритма
4.6 Метод статистически гипотез
Статистическая гипотеза - есть некоторое предположение относительно свойств [27, 28] генеральной совокупности, из которой извлекается выборка. Критерий статистической гипотезы – это правила позволяющие принять или отвергнуть данную гипотезу на основании выборки. При построении такого правила используются определенные функции результатов наблюдений
, называемые статическими для проверки гипотез. Все возможные значения подобных статистик делятся на две части: если нет – гипотеза принимается, как не противоречащая результатам наблюдения, если да – гипотеза отвергается [27, 28, 29]. При этом всегда возможно совершить ошибку; различные типы возможных ошибок заданы в таблице 4.1:
Таблица 4.1
| Гипотеза | Объективно верна | Объективно неверна |
| Принимается | Правильное решение | Ошибка ll рода |
| Отвергается | Ошибка l рода | Правильное решение |
Вероятность совершить ошибку l рода [8] называется уровнем значимости критерия и обозначается q. Обычно уровень значимости выбирают, равным 0.01; 0.1; 0.05 (последнее значение - наиболее часто) [28].
Критерии значимости – это критерии, с помощью которых проверяют гипотезы об абсолютных значениях параметров или о соотношениях между ними для генеральных совокупностей (с точностью до параметров) функцией распределения вероятностей [29].
Построение гистограммы выборки. Гистограмма
является эмпирическим аналогом функции плотности распределения f(x). Обычно ее строят следующим образом:
-
Находят предварительное количество квантов (интервалов), на которое должна быть разбита ось Ox. Это количество K определяют с помощью оценочной формулы:
K=1+3.2lgN ; (4.34)
Где найденное значение округляют до ближайшего целого числа.
-
Определяют длину интервала [29]:
Величину
можно округлить для удобства вычислений.
-
Середину области изменения выборки (центр распределения)
принимают за центр некоторого интервала, после чего легко находят границы и окончательное количество указанных интервалов так, чтобы в совокупности они перекрывали всю область от
до
. -
Подсчитывают количество наблюдений
попавшее в каждый квант;
равно числу членов вариационного ряда, для которого справедливо неравенство [27-29]:
здесь
и
- границы m-ого интервала. Отметим, что при использовании формулы (4.36) значения
попавшее на границу между (m-1)-м и m-ом интервалами, относят к m-ому интервалу.
-
Подсчитывают относительное количество (относительную частоту) наблюдений
/N , попавших в данный квант.
Строят гистограмму [7, 8, 9], представляющую собой ступенчатую кривую, значения которой на m-ом интервале
, (m=1,2,…,K)
Критерии согласия. Критерием согласия [8] называется критерий гипотезы о том, что генеральная совокупность имеет распределение предполагаемого типа (например, нормально распределение). Среди различных критериев согласия наиболее употребителен универсальный критерий согласия
(Пирсона).
Проверку гипотезы о виде функции распределения с помощью этого критерия производят следующим образом [27-29]:
-
a) По выборке строят гистограмму. Если в каком-либо f-ом интервале число наблюдений
окажется меньше пяти, то его объединяют с соседним интервалом (или интервалами) так, чтобы число наблюдений в таком объединенном интервале оказалось большим или равным пяти. Пусть
– окончательное число интервала группирования, тогда очевидно, что
б) Задаются видом гипотетической функции распределения и для каждого из r (r=1,2,…) параметров этого распределения находят оценки, причем эти оценки можно определять как по исходным, так и по сгруппированным данным [27].
в) Определяют теоретическую вероятность
попадания в каждый из
интервалов случайной величины с заданным распределением, параметры которого или известны или оценены в параграфе б) [28].
г) вычисляют число g:
-
Известно, что для данного критерия согласия случайная величина g при Больших N имеет
распределение с
- r - 1 степенями свободы, где r - число определенных неизвестных заранее параметров гипотетического распределения, а уменьшения числа степеней свободы еще на единицу объясняется наличием линейного соотношения (4.35) между эмпирическими величинами
и N , входящими в расчетную формулу (4.36). Задавшись уравнением значимости q, по таблице
-распределений находят критическое значение
, причем критическая область определяется неравенством g>
=
=
- r – 1;
. -
Сравнивая значения g и
и выносят решение о принятии (g <=
) или отклонение (g >
) рассматриваемой гипотезы о виде функции распределения [27-29].
4.7 Алгоритм контроля отказов ДС при неполной тяге
Алгоритм неполной тяги - представляет собой алгоритм позволяющий моделировать остаточную тягу при отказе одного из реактивных двигателей стабилизации, для отказа типа «не отключение». Остаточная тяга может меняться в пределах: 0%-100%. При 0% тяги, отказ типа «не отключение» переходит в отказ типа «не включение». Пусть P – тяга, а k – коэффициент остаточной тяги, задаваемый в процентах. Тогда в общем случае, при отказе одного из двигателей, тяга имеет вид (4.39) [25, 26]:
Блок-схема алгоритма имеет вид (Рис. 4.8):
Рис. 4.8 - Блок схема алгоритма неполной тяги
В общем случае коэффициент K носит стохастический характер. Блок анализа информации формирует таблицу включений, для алгоритма стабилизации [25].
При функционировании алгоритма контроля мы находим максимальные опасной продолжительности на каждой базе, после чего варьируем начальные условия в пределах 20%. Формируем выборку. Таким же образом мы варьируем параметров для случаев отказа работы двигателей типа «не отключение» и типа «не включение». Начальные варьируемые условия приведены в таблице 4.2.:
Таблица 4.2
| Wx | Wy | Wz | Gx | Gy | Gz | Ix | Iy | Iz | |
| N | 1 | -0.5 | 0.5 | 5 | 10 | 1 | 500 | 1500 | 2000 |
| N+ | 1.2 | -0.6 | 0.6 | 6 | 12 | 1.2 | 600 | 1800 | 2400 |
| N- | 0.8 | -0.4 | 0.4 | 4 | 8 | 0.8 | 400 | 1200 | 1600 |
где N – это исходные начальные условия, N- параметр варьируемый в сторону уменьшения, N+ параметр варьируемый в сторону увеличения [25].
Упрощенная выборка имеет вид:
Таблица 4.3
| N | N- | N+ | ||
| Нормальный режим | 264 | 157 | 999 | |
| Отказ работы двигателя типа «не отключение» | 1 | 1000 | 1000 | 999 |
| 3 | 1000 | 1000 | 1000 | |
| 6 | 1000 | 1000 | 999 | |
| 8 | 999 | 1000 | 1000 | |
| Отказ работы двигателя типа «не включение» | 1 | 1000 | 157 | 1000 |
| 3 | 999 | 286 | 1000 | |
| 6 | 265 | 158 | 999 | |
| 8 | 264 | 157 | 1000 | |
Для наглядности построим гистограмму, и изобразим ее в виде функции – закона распределения, [8, 9, 25-29] для облегчения нахождения критической точки в методе статистических гипотез. Находим математические ожидания. Графики зависимостей приведены на (Рис. 4.9) [27-29]:
Рис. 4.9 – Аппроксимированная гистограмма
Здесь m0 и m1 - математические ожидания. При рассмотрении левостороннего критерия, получили критическую точку Gкр = 736. Т.о.
=Gкр, если, следуя алгоритму контроля, ОП <
, то есть основания утверждать, что отказа в работе двигателя нет, в противном случае, при попадании значения ОП в критическую область, т.е. ОП >=
, ПО присваивается значение единицы, и есть основания утверждать, что отказ в работе двигателя есть [25].
5 РЕЗУЛЬТАТЫ ЧИСЛЕННОГО МОДЕЛИРОВАНИЯ
Рассмотрим космический аппарат как упругое тело, описываемое уравнениями (3.1), (3.2), (3.4), (3..5). Рассмотрим режим построения базовой ориентации с учетом внешних возмущающих воздействий – аэродинамического и гравитационного, а также с учетом дрейфа нуля ГИВУС.
Для наглядности функционирования алгоритма стабилизации ДС КА, где в качестве гистерезиса используется пауза по времени, проведем моделирование СУО, с начальными условиями, приведенными в табл. 5.1.
Таблица 5.1
| Вариант № | Угловые скорости | Угловые ускорения | Моменты инерции |
| 1 | Wx = 0.5 c-1 Wy = 0 c-1 Wz = 0 c-1 | Gx = 0 c-2 Gy = 0 c-2 Gz = 0 c-2 | Ix = 500 Нмс2 Iy = 1500 Нмс2 Iz = 2500 Нмс2 |
| 2 | Wx = 1 c-1 Wy = 0 c-1 Wz = 0 c-1 | Gx = 0 c-2 Gy = 0 c-2 Gz = 0 c-2 | Ix = 500 Нмс2 Iy = 1500 Нмс2 Iz = 2500 Нмс2 |
| 3 | Wx = 3 c-1 Wy = 1 c-1 Wz = 0 c-1 | Gx = 0 c-2 Gy = 0 c-2 Gz = 0 c-2 | Ix = 500 Нмс2 Iy = 1500 Нмс2 Iz = 2500 Нмс2 |
| 4 | Wx = -4 c-1 Wy = 0 c-1 Wz = 0 c-1 | Gx = -1 c-2 Gy = 0 c-2 Gz = 0 c-2 | Ix = 500 Нмс2 Iy = 1500 Нмс2 Iz = 2500 Нмс2 |
| 5 | Wx = 0 c-1 Wy = 3 c-1 Wz = 0 c-1 | Gx = 0 c-2 Gy = 0 c-2 Gz = 0 c-2 | Ix = 500 Нмс2 Iy = 1500 Нмс2 Iz = 2500 Нмс2 |
| 6 | Wx = 0.5 c-1 Wy = 0.5 c-1 Wz = 1 c-1 | Gx = 0.001 c-2 Gy = 0.001 c-2 Gz = 0.001 c-2 | Ix = 500 Нмс2 Iy = 1500 Нмс2 Iz = 2500 Нмс2 |
Функционирование СУО с набором начальных условий варианта 2 табл. 5.1 во временной плоскости представлено на рис. 5.1, рис. 5.2, рис. 5.3.
Функционирование СУО с набором начальных условий варианта 1-6 табл. 5.1 на фазовой плоскости, представлено в приложении Б.
















