96580 (630834), страница 16
Текст из файла (страница 16)
Уровень благосостояния каждого члена общества определяется во многом существующим механизмом распределения доходов. Различают:
-
собственно распределение доходов, оно связано с формированием первичных доходов в обществе, т. е. доходов участников производства. Такое распределение называют функциональным.
-
перераспределение доходов. Необходимость перераспределения диктуется необходимостью обеспечения доходами неработающих членов общества, а также решением социально-экономических проблем. В результате перераспределения формируется так называемые вторичные доходы. Перераспределение доходов осуществляется посредством двух основных инструментов:
-
трансфертов
-
налогов (посредством прогрессивного налогообложения).
-
Критерии эффективности перераспределения выражаются, в конечном счете, в росте благосостояния, а непосредственно они могут выражаться:
-
в ослаблении дифференсации доходов и имущества;
-
в уменьшении межотраслевых и межрегиональных различий в доходах и зарплате;
-
в установлении оптимального соотношения между доходами активной части населения и нетрудоспособной части;
-
смягчение противоречий между участниками рыночной экономики и предотвращение социальных конфликтов на экономической почве;
-
смягчение уровня бедности.
Вопрос № 77. Потребности и ресурсы: проблемы выбора
В основе жизнедеятельности человека лежат потребности - каждый человек должен удовлетворять свои основные потребности, т.е. кушать, пить, спать, одеваться, иметь жилище и т.д. Известный экономист А. Маслоу предложил свою классификацию потребностей, расположив их в следующем порядке.
Потребность – это объективно существующая необходимость, нужда человека в чём-либо, которая выражается желанием её удовлетворения. Потребности индивида, фирмы, общества в целом составляют экономические потребности. Экономический анализ потребностей основывается на двух основных законах:
-
Закон возвышения потребностей, который заключается в том, что по мере развития производства, социально-культурной среды происходит количественный и качественный рост потребностей.
-
Закон убывающей предельной полезности выражается в том, что по мере насыщения в том или ином продукте полезность употребляемых последующих единиц снижается.
Различают потребности в предметах необходимости и в предметах роскоши. Однако это деление является относительным и не одинаковым для разных людей, стран, периодов времени. Существуют потребности в конкретном товаре, конкретных субъектах, которые вполне можно удовлетворить, и потребности во всем многообразии существующих товаров, которые безграничны и поэтому не удовлетворим в полной мере.
Экономические ресурсы – это совокупность тех сил, которые могут быть использованы в процессе создания товаров.
Виды экономических ресурсов:
-
Природные — естественные, имеющиеся в природе ископаемые (нефть, газ, уголь и др.), производственные ресурсы в виде земли и земельных угодий, водных богатств, воздушного бассейна.
-
Материальные (капитальные) — все созданные руками человека средства производства (орудия и предметы труда).
-
Трудовые — экономически активное, трудоспособное население, т.е. часть населения, обладающая физическими и духовными способностями для участия в трудовой деятельности.
-
Финансовые (инвестиционные) — совокупность всех видов денежных средств, финансовых активов, которыми располагает общество, и которые могут быть выделены на организацию производства.
Факторы производства
Ресурсы, которые используются людьми для производства экономических благ, называются факторами производства.
Многообразие ресурсов, которые имеет в своем распоряжении общество, предполагает, что и факторы производства многообразны.
Три основных вида факторов производства: земля, капитал, труд.
Эти факторы являются необходимым условием производства в любой отрасли экономики. Соединяясь воедино, эти три фактора создают все без исключения виды товаров и услуг, нужных для общества.
Земля и др. природные ресурсы. В эту группу включаются все «даровые благо природы», которые применяются в производственном процессе: участки земли в качестве места, на котором располагают производственные здания, магазины и т.п.; пахотная земля, на которой выращивают урожаи; леса, воды, месторождения полезных ископаемых и т.д.
Капитал включает в себя произведенные человеком средства производства. Капитал – это станки и оборудование, производственные здания, сооружения, транспортные средства, линии электропередач, короче все, что используется людьми для производства товаров и услуг.
Труд – представляет собой совокупность физических и умственных способностей, которые используют люди в процессе создания экономических благ. Величина этого фактора зависит от количества населения в трудоспособном возрасте. Чем оно больше, тем больше товаров и услуг будет произведено в стране.
Факторами производства владеют частные лица, компании или государство. Каждый фактор участвует в создании различных товаров и услуг и приносит собственнику этого фактора соответствующий доход. З/плата представляет собой вознаграждение за труд, владельцы капитала получают процент, а собственники земли – ренту.
Вопрос № 79. Рынок: понятие, возникновение, развитие. Роль в экономике
Рынок возник 6-7 тыс. лет назад и прошел долгий путь развития от стихийного неорганизованного до современного цивилизованного рынка.
Первоначально под рынком понимали базар, рыночную площадь и т.д.
В дальнейшем под рынком стали понимать механизм, сводящий вместе покупателей и продавцов с целью купли-продажи товаров или с целью обменов товарами.
Рынок - является высшей формой обмена по формуле
Т-Д-Т.
Условия возникновения и развития рынка:
1.общественное разделение труда;
2.частная собственность на средства производства.
Рынок очень долгое время существовал в рамках натурального производства и играл подчиненную роль (рабовладение, феодализм).
Всеобщий характер рынка приобретает с развитием капитализма (все продукты производятся для продажи, появляется специфический товар рабочая сила человека).
Субъекты рынка: фирма, домохозяйства, государство.
Роль рынка в экономике проявляется через функции:
1.информация - экономические субъекты получают необходимую информацию, где купить тот или иной товар и т.д.
2.посреднеческая - рынок помогает продавцам найти друг друга.
3.ценообразующая - одинаковые товары продаются по одним ценам.
4.регулирующая - рынок является способом координации экономической деятельности людей.
5.очистительная - рынок очищает экономику от неэффективных предприятий через механизм банкротства.
Вопрос № 81. Эластичность спроса и предложения. Значение теории
Эластичность спроса относительно цены показывает относительное изменение объема спроса под влиянием изменения цены на один процент. Практическое значение при этом имеют не абсолютные величины, а относительные. Когда мы говорим, что цена на "Сникерс" поднялась на 10-рублей — это слишком существенное для "Сникерса" изменение цены, его нельзя не заметить. Оно вызывает значительное изменение величины спроса. Рост цен автомобиля "Вольво" на 10 рублей практически не ощутим для покупателей этой автомашины, поэтому изменение цены и величины спроса дается в формуле эластичности не абсолютно, а относительно:
где ЕD — эластичность спроса по цене;
ΔQ/Q — относительное изменение спроса;
ΔР/Р — относительное изменение цены.
С увеличением цены объем спроса, как правило, снижается и ΔQ < 0. Чтобы избежать отрицательных чисел, вводят знак минус:
Спрос называют эластичным, когда ЕDP>1 (это означает, что 1 спрос растет или падает быстрее цены), и неэластичным, когда ЕDP<1, то есть спрос растет медленнее, чем изменяются цены.
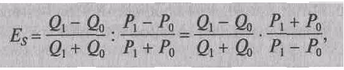
Эластичность предложения по цене, показывает насколько производство той или иной продукции реагирует на изменение цены. Коэффициент ценовой эластичности предложения рассчитывается по той же формуле, что и коэффициент ценовой эластичности спроса. Различие лишь в том, что вместо величины спроса берется величина предложения:
где Q0 и Qi — предложение до и после изменения цены; P0 и Р1 — цены до и после изменения; «s» в индексе означает эластичность предложения.
Предложение, поскольку оно связано с изменением производственного процесса, медленнее адаптируется к изменению цены, чем спрос. Поэтому фактор времени является важнейшим в определении показателя эластичности.
Оценка эластичности предложения имеет 3 временных периода: краткосрочный, среднесрочный и долгосрочный.
Под краткосрочным понимается период, слишком короткий для осуществления каких-либо изменений в объеме выпускаемой продукции.
Среднесрочный период достаточен для расширения или сокращения производства на уже существующих производственных мощностях, но недостаточен для введения новых мощностей.
Долгосрочный период предполагает расширение или сокращение фирмой своих производственных мощностей, а также приток новых фирм в отрасль при расширении спроса на данную продукцию или уход из нее при сокращении последнего.
Значение теории эластичности
Эластичность спроса является важным фактором, влияющим на ценовую политику фирмы. Предположим, что какая-то фирма построила стоквартирный дом и решает вопрос, по какой цене следует предлагать квартиры съемщикам. Расходы на строительство и эксплуатацию фактически не зависят от того, сколько квартир будет сдано (за исключением расходов на текущий ремонт, которые составляют небольшую долю от общих расходов).
При эластичном предложении налоговое бремя ляжет в основном на потребителя, рост цены и сокращение объема производства будут значительными, сумма налога будет относительно меньше, чем при неэластичном предложении, потери общества — выше. При неэластичном предложении наблюдается обратная картина.
Вопрос № 82. Предприятие: понятие, цели, функции
В экономической теории различают понятие предприятие и фирма.
Предприятие — это обособленный технологический и социальный комплекс предприятий, для производства товаров.
Фирма — это организация, которая владеет и управляет предприятием, а так же имя под которым существует предприятие.
Фирмы бывают: Индивидуальные, партнерство (товарищество), корпорации (акционерное общество), средние и мелкие.
В рыночной экономике предприятие функционирует на принципах рационализации, экономичности, эффективности, конкуренции.
Если за основу принять цель предприятия, то можно выделить коммерческие и некоммерческие предприятия. Цель коммерческих — максимизация прибыли. Основная часть предприятий — коммерческие. Некоммерческие предприятия создаются для обеспечения занятости, оказания социальных услуг (школы, учреждения здравоохранения и т.д.). Это могут быть государственные предприятия, фирмы, создаваемые различными фондами, общественными организациями.
Внутренний – он связан с концентрацией производства и капитала.
Внешний- связан с централизацией производства и капитала в результате слияния и поглощения.
Существует множество целей деятельности фирмы.
К основным функциям предприятия относятся: производство благ, удовлетворяющих общественные потребности; максимизация прибыли.
Вопрос № 83. Валовые выручка и издержки. Прибыль. Общие и средние микроэкономические показатели фирм
Самой важной характеристикой производственной деятельности предприятий служит объём производства конкретного вида экономического продукта в натуральном выражении (в физических единицах измерения) в течение определённого времени.
Прибыль – это разница между выручкой и издержками. Существует 2 понятия прибыли.
-
Бухгалтерская. Прибыль есть разница между выручкой от реализации и денежными (явными) издержками.
Общая выручка – бух.издержки = бух.прибыль
-
Экономическая. Прибыль есть разница между выручкой от реализации и явными издержками плюс неявными издержками.
Измерители макроэкономической деятельности:
Экономический рост экономики, производительность общественного труда, занятость населения, уровень безработицы, жизненный уровень населения, инфляция.
Экономика производителя.
Фирма – субъект экономической деятельности.
Любая фирма имеет конечную, главную цель – получить максимально возможную прибыль. Общую прибыль можно представить как разницу между валовым доходом и издержками производства.
Общая прибыль = валовый доход – издержки производства.
Издержки (затраты) производства – это оплата приобретаемых факторов производства.
Величина издержек упущенных возможностей (альтернативные издержки) – это денежная выручка от наиболее выгодного из всех альтернативных способов использования ресурсов.
Рассмотрим подробнее структуру издержек:
Явные издержки (бухгалтерские) включают: стоимость сырья, полуфабрикатов, топлива, амортизацию оборудования, заработную плату со всеми начислениями по социальному страхованию, административные расходы.
Неявные издержки (издержки упущенных возможностей) – это те доходы, которые могли бы быть получены на собственные ресурсы, если бы их предоставить за плату, установленную рынком, другим пользователям.
Бух. издержки + неявные издержки = экономические издержки
Постоянные и переменные издержки
Постоянные издержки не зависят от объёма выпуска продукции. Эти затраты на эксплуатацию здания, оборудования, арендная плата, административно-управленческие расходы, некоторые виды налогов.
Переменные издержки на производство единиц товара равны сумме общих постоянных и общих переменных издержек.
Условия максимизации прибыли
Цель фирмы – максимизация полученной прибыли.
Валовая прибыль = Валовой доход – Валовые издержки. Фирма выбирает тот уровень производства, при котором она получает наибольшие прибыли. Это не всегда то же самое, что наивысший уровень производства.
Вопрос №84. Фирма в условиях чистой конкуренции
В современных условиях конкурентная фирма не имеет самостоятельной политики, но она приспосабливается к рыночной цене, поставляя и реализуя значительное число материальных благ и услуг. Анализ условий ее деятельности позволяет решать вопросы максимизации прибыли или минимизации издержек производства, вести расчет среднего, валового и предельного дохода. Понятие среднего дохода применяется для характеристики величины дохода продавца от продажи единицы продукции. Для покупателя этот доход выступает в виде цены за единицу покупаемого изделия. В итоге цена и средний доход — это один и тот же показатель, но рассмотренный с разных точек зрения — со стороны покупателя и со стороны продавца.
Валовой доход фирмы определяется путем умножения цены (среднего дохода) на количество произведенной продукции. Поэтому, когда фирма планирует объем производства, она одновременно продумывает, как изменится ее доход. Каждое увеличение производства сопровождается (при условии продажи) возрастанием дохода. Возникающий таким образом добавочный доход, как результат продажи каждой дополнительной единицы продукции, представляет собой предельный доход фирмы. Предельный доход в условиях чистой конкуренции постоянен, ибо каждая дополнительная единица продается по постоянной цене.
Максимизация прибыли в краткосрочном периоде. Известно, что в краткосрочном периоде фирма располагает неизменным оборудованием и посредством его модернизации пытается обеспечить прибыльность производства. Здесь операции осуществляются с переменными ресурсами (сырьем, трудом и т.д.). При этом экономическая прибыль фирмы определяется в виде разности между валовым доходом и валовыми издержками. Используются и два дополнительных подхода к определению того уровня производства, при котором фирма получит максимальную прибыль или понесет минимальные убытки. Первый подход состоит в сравнении и сопоставлении валового дохода и валовых издержек; второй — в сравнении предельного дохода и предельных издержек. При первом подходе решается ряд взаимосвязанных вопросов, а именно: следует ли производить? если да, то какое количество продукции изготовлять? какая при этом будет получена прибыль? Ответ, казалось бы, прост: производи, если это приносит прибыль. На самом деле все обстоит сложнее. Дело в том, что в краткосрочном периоде часть валовых издержек является переменными издержками, а часть — постоянными. Последние оплачиваются даже в случае закрытия фирмы. При нулевом уровне производства фирма несет убытки, равные постоянным издержкам. Следовательно, производство оказывается оправданным, если прибыль не обеспечивается, но достигается получение дохода, превышающего постоянные издержки производства. Поэтому на вопрос о том, стоит ли производить, ответ должен быть следующий: фирме следует вести производство не только в условиях обеспечения прибыльности, но и в случае, если убыток оказывается меньше, чем ее постоянные издержки.
На вопрос о том, сколько продукции может производить фирма в краткосрочном периоде, существует ответ: следует создавать такое ее количество, которое максимизирует прибыль или минимизирует убытки.
Чтобы максимизировать прибыль, фирма должна расширять производство до тех пор, пока предельный доход MR не будет превосходить предельные издержки. В случае обратного превышения производство должно прекращаться.
Там, где кривая MR располагается выше кривой МС, производство прибыльно и наоборот. Пересечение этих кривых служит показателем максимальной прибыли.
Фирма может проводить политику минимизации убытков.
Пользуясь критерием "предельного дохода", представим ситуацию графически (риС. 2).
Совокупные убытки равны площади заштрихованного прямоугольника. Поскольку кривая спроса MR расположена выше кривой средних переменных издержек AVC, доход от каждой дополнительно произведенной единицы продукции достаточен для покрытия средних переменных издержек, а каждая проданная единица позволяет хотя бы отчасти покрывать постоянные издержки и фирме целесообразно не прерывать производственный процесс. Фирма может столкнуться с ситуацией прекращения производства.
Продолжительность приостановки производства определяется рыночной конъюнктурой. Как только изменится рыночная ситуация, фирма сможет возобновить производство. В течение вынужденного простоя фирма должна удерживать предприятие в состоянии полной готовности к возобновлению производственного процесса. Может сложиться ситуация, когда рыночные условия будут оставаться неблагоприятными продолжительное время. В этом случае следует найти способы закрытия производства и выхода фирмы из данной сферы производственной деятельности.
Прибыль фирмы максимизируется при таком объеме производства, когда валовой доход превышает валовые издержки на максимальную величину; фирма будет минимизировать убытки при производстве такого объема продукции, при котором валовые издержки превышают валовой доход на минимальную величину. Вместе с тем, если нет возможности обеспечить превышение валового дохода над переменными издержками, фирме целесообразно минимизировать убытки в краткосрочном периоде путем закрытия производства.
Максимизация прибыли в долгосрочном периоде. Для долгосрочного периода характерно то, что находящиеся в составе отрасли фирмы располагают достаточным временем для расширения или сокращения своих производственных мощностей и, что более важно, отрасль может пополниться новыми фирмами или, наоборот, их число может сократиться, что зависит от уровня цен и прибыльности производства. Если изначально цена находится на уровне, превышающем средние валовые издержки, это приведет к появлению в отрасли новых фирм. Однако вскоре это обусловит увеличение выпуска продукции, причем в такой степени, что цена снизится до уровня средних валовых издержек. И тогда опасность понести убытки обусловит отток фирм из отрасли. Затем произойдет обратная тенденция в движении цен и объемов производства.
Причиной притока или оттока фирм из отрасли является то, что в тот момент, когда в данной отрасли цена падает и число фирм сокращается, в других отраслях владельцы фирм получают нормальную или сверхнормальную прибыль. В эту сферу переливаются свободные капиталы, что ведет к организации новых фирм. Увеличение или сокращение числа фирм сопровождается расширением или ограничением масштабов отрасли, что связано с изменениями в соотношении спроса и предложения на производимую в отрасли продукцию.
По мере того как в отрасли появляются новые фирмы, отраслевое предложение увеличивается, вызывая тенденцию к понижению цены продукта, и в то же время рост числа фирм вызывает увеличение цен на ресурсы и рост средних валовых издержек производства. Вследствие этого новая цена равновесия в долгосрочном периоде установится на уровне, несколько превышающем первоначальную цену, и наоборот, снижение спроса делает производство неприбыльным и вызывает массовый отток фирм из отрасли. Сокращение спроса на ресурсы относительно их предложения увеличивает цены на них и вызывает понижение средних валовых издержек производства. Новая цена равновесия будет установлена на уровне ниже первоначальной цены.
Чистая конкуренция и эффективность. Чисто конкурентная экономика сопровождается наиболее эффективным использованием редких ресурсов общества. Действующие здесь свободные цены позволяют распределить ограниченное число ресурсов таким образом, что приведет к максимизации удовлетворения человеческих потребностей.
Предприниматели будут производить продукт до тех пор, пока цена на товары и предельные издержки не уравняются. Это и будет означать, что ресурсы в условиях чистой конкуренции распределены эффективно.
Таким образом, следует отметить, что высокоэффективное распределение ресурсов, которому благоприятствует чистая конкуренция, происходит потому, что предприятия и поставщики ресурсов свободно стремятся к достижению личной выгоды.
Вопрос № 85. Чистая монополия. Признаки и показатели монопольной власти
Монополии – крупные хозяйственные объединения (картели, синдикаты, тресты, концерны и так далее), находящиеся в частной собственности (индивидуальной, групповой или акционерной) и осуществляющие контроль над отраслями, рынками и экономикой на основе высокой степени концентрации производства и капитала с целью установления монопольных цен и извлечения монопольных прибылей. Господство в экономике служит основой того влияния, которое монополии оказывают на все сферы жизни страны.
Следовательно, главным признаком монопольного образования (монополии) является занятие монопольного положения. Можно считать, что монополисты навязывают своим контрагентам, а иногда и обществу свои личные интересы.
Формирование и рост монополий исторически неразрывно связаны перерастанием капитала свободной конкуренции в монополистический капитализм.
Объективной основой монополизма является доминирующее положение хозяйствующего субъекта на рынке, что позволяет ему оказывать решающее влияние на конкуренцию, завышать цену и снижать объем производства по сравнению с теоретически возможным уровнем, затруднять доступ на рынок другим хозяйствующим субъектам.
Вид монополий зависит от рыночной структуры и формы конкуренции.
Существуют разные виды монополий, которые можно классифицировать на три основных: естественная, административная и экономическая.
Естественная монополия возникает вследствие объективных причин. В ее основе особенности технологий производства и обслуживания потребителей.
Административная монополия возникает вследствие действий государственных органов. С одной стороны, это предоставление отдельным фирмам исключительного права на выполнение определенного рода деятельности.
Экономическая монополия является наиболее распространенной. Ее появление обусловлено экономическими причинами, она развивается на основе закономерностей хозяйственного развития.
Различают пять основных форм монополистических объединений.
Картель это объединение нескольких предприятий одной сферы производства, участники которого сохраняют собственность на средства производства и произведенный продукт, производственную и коммерческую самостоятельность, и договариваются о доле каждого в общем объеме производства, ценах, рынках сбыта.
Синдикат это объединение ряда предприятий одной отрасли промышленности, участники которого сохраняют средства на средства производства, но теряют собственность на произведенный продукт, а значит, сохраняют производственную, но теряют коммерческую самостоятельность
Трест это объединение ряда предприятий одной или нескольких отраслей промышленности, участники которого теряют собственность на средства производства и произведенный продукт (производственную и коммерческую самостоятельность).
Многоотраслевой концерн это объединение десятков и даже сотен предприятий различных отраслей промышленности, транспорта, торговли, участники которого теряют собственность на средства производства и произведенный продукт, а главная фирма осуществляет над другими участниками объединения финансовый контроль.
Конгломераты- монополистические объединения образованные путем поглощения прибылей разноотраслевых предприятий, не имеющих технического и производственного единства.
Вопрос 86. Монополистическая конкуренция и поведение фирмы Понятие монополистической конкуренции
Монополистическая конкуренция содержит элементы конкуренции и монопольной власти.
Конкуренция в условиях монополистической конкуренции проявляется в том, что на рынке выступает не один, а несколько десятков производителей, предлагающих похожую, но не идентичную продукцию. Монополистическая конкуренция, таким образом, отличается от чистой конкуренции и от чистой монополии численностью субъектов рынка: здесь действует не один монополист и не масса продавцов, их число умеренное.
Производители в условиях монополистической конкуренции изготовляют не аналоги, а разновидности продукта, различающиеся качеством, объемом оказываемых при продаже товаров услуг, размещением торговых точек относительно маршрута движения покупателей, стимулированием сбыта с помощью рекламы и т.д.
Эффект масштаба производства, а значит, и размер первоначального капитала для проникновения в отрасль невелики, что привлекает производителей.
Поведение фирм на рынке монополистической конкуренции
В краткосрочном периоде фирма исходит из максимизации своих прибылей или минимизации убытков. В основу закладываются предельные издержки и предельный доход фирмы.
В долгосрочном периоде фирмы, действующие в условиях монополистической конкуренции, стремятся к получению нормальной прибыли или, точнее, к безубыточному функционированию.
Монополистическая конкуренция не обеспечивает ни эффективного использования ресурсов, ни производственной эффективности.
Цена и объем производства монополистических фирм не очень отличаются от цен и объема производства в условиях чистой конкуренции. Более того, фирмы и покупатели выигрывают за счет того, что на рынок поставляется более широкая номенклатура изделий, а чем больше дифференциация продукта, тем выше степень удовлетворения разнообразных потребительских вкусов.
Анализ монополистической конкуренции показывает, что фирмы, действующие в условиях такого хозяйственного механизма, могут оказаться незаинтересованными в расширении объемов производства. С целью регулирования этих показателей в действие вступает механизм неценовой конкуренции. Речь идет о том, что конкурентной силой обладает не только цена, но и сам продукт, имеющий разнообразные свойства.
Фирмы в условиях монополистической конкуренции для обеспечения максимальной прибыли должны использовать три важнейших фактора: цену, продукт и рекламно-пропагандистскую деятельность. Комбинации этих переменных должны обеспечивать равновеликую прибыль, в связи с чем фирмы на рынке всегда находятся в поиске вариантов наиболее удобной продажи товаров с целью максимизации прибыли.
Вопрос № 87. Олигополия и монопсония. Признаки, механизм ценообразования
Рынок олигополии может подразделяться на два типа: олигополия первого вида - это отрасли с совершенно однородной продукцией и большим размером предприятий. Олигополия второго вида - положение, когда есть несколько продавцов, продающих различные по качеству товары.
Олигополией называют тип рынка, на котором несколько фирм контролируют его основную часть. При этом номенклатура продукции может быть как невелика (нефть), так и достаточно обширна (автомобили, химическая продукция). Для олигополии характерны ограничения доступа новых фирм на рынок; они связаны с эффектом масштаба, большими расходами на рекламу, существующими патентами и лицензиями. Высокие барьеры для входа являются и следствием предпринимаемых ведущими фирмами отрасли действий, с тем чтобы не допустить в нее новых конкурентов.
Особенностью олигополии является взаимозависимость решений фирм по ценам и объему производства. Ни одно подобное решение не может быть принято без учета и оценки возможных ответных действий со стороны конкурентов.
Действия фирм-конкурентов — это дополнительное ограничение, которое фирмы должны учитывать при определении оптимальных цены и объема производства. Не только издержки и спрос, но и ответная реакция конкурентов обусловливают принятие решений. Поэтому модель олигополии должна отражать все эти три момента.
Так как ценовая конкуренция не выгодна никому, каждая фирма была бы готова держать более высокую цену при условии, что ее конкурент поступит аналогичным образом. Даже если и изменится спрос, или сократятся издержки, или произойдут еще какие-то события, позволяющие снизить цену без ущерба для прибыли, фирма не сделает этого из опасения, что конкуренты воспримут подобный шаг как начало ценовой войны. Повышение цен также не привлекательно, так как конкуренты могут и не последовать примеру фирмы.
Монополия, возникающая со стороны спроса, когда на рынке имеется только один покупатель при множестве продавцов называется монопсонией. Она обладает теми же чертами, характеризующими монополию, однако эти черты переносятся на покупателя.
С развитием конкуренции качества (неценовой конкуренции) в обществе все большее внимание уделяется методам и приёмам законодательно запрещённой недобросовестной (нечестной) конкуренции, нарушающей и подрывающей принятые на рынке нормы и правила конкуренции. К ним относятся:
-
демпинг;
-
установление контроля над деятельностью конкурента с целью ограничения или прекращения этой деятельности;
-
злоупотребление господствующим положением на рынке;
-
установление дискриминационных цен или коммерческих условий;
-
установление зависимости поставок конкретных товаров или услуг от принятия ограничений в отношении производства или распределения конкурирующих товаров;
-
введение ограничительных условий в агентские соглашения;
-
тайна на торгах и создание картелей;
-
ложные информация и реклама;
-
недобросовестное копирование (имитация) товаров и продукции конкурентов и сбыт по более низким ценам (в мировой практике получившие название пиратства);
-
нарушения качества, стандартов и условий поставок товаров и услуг.
Недобросовестная конкуренция в большинстве стран запрещается положениями законодательства по борьбе с ограничительной деловой практикой, по охране прав потребителей, контролю за монополиями, а также гражданскими уголовными кодексами.
В современных международных торгово-экономических отношениях постепенно сформировались правила конкуренции. Это прежде всего международные согласованные нормы по контролю за ограничительной деловой практикой и защите конкуренции. Согласование производится в рамках международных организаций. В зависимости от статуса международной организации и степени обязательности её решений для стран-членов характер и оформление правил могут быть обязательными или рекомендательными.
Вопрос №88. Антимонопольное законодательство
АНТИМОНОПОЛЬНОЕ ЗАКОНОДАТЕЛЬСТВО - совокупность нормативных актов (правовых норм), регулирующих деятельность хозяйствующих субъектов, направленных на создание, развитие, поддержание конкурентной среды, предупреждение, пресечение антиконкурентной практики. А.з. основывается на концепции, достижения наивысшего благосостояния граждан в результате предоставленной хозяйствующим субъектам возможности свободно обмениваться производимыми ими товарами и услугами на конкурентном рынке, который выступает универсальным регулятором общественного производства. Основными целями А.з. подавляющего числа государств является защита и поощрение конкуренции, контроль над хозяйствующими субъектами, занимающими доминирующее положение на рынке, контроль за процессом концентрации производства и капитала, контроль над ценообразованием, защита интересов и содействие мелкого и среднего предпринимательству, защита интересов потребителей.
В некоторых государствах в А.з. включают правовые нормы о пресечении недобросовестной конкуренции, направленные против нечестных методов конкурентной борьбы на рынках. Законодательные акты, содержащие одновременно нормы о пресечении недобросовестной конкуренции и монополистической деятельности, характерны для государств с переходной экономической системой. Для государств, региональных объединений, где источником права являются также судебные решения, характерно принятие более широкой концепции антимонопольного права (Картельное право ЕС, Антитрестовское право США и др.). А.з., как правило является общенациональным.
Согласно А.з. антиконкурентная практика подразделяется на индивидуальную и согласованную. Согласованные действия хозяйствующих субъектов согласно А.з. подразумевают координацию или согласованный параллелизм в их поведении на рынке, отсутствие которых, говорящее о том, что хозяйствующие субъекты предпринимали самостоятельные действия, объясняемые их собственным интересом, таким образом, что их поведение носило односторонний характер, делает неприменимыми положений о запрете таких действий. Доказательство одностороннего поведения возлагается в этом случае на самих хозяйствующих субъектов.
Основной категорией А.з. является доминирующее положение (монопольная сила) хозяйствующего(их) субъекта(ов) на соответствующем (релевантном) товарном рынке. А.з не устанавливает запрет хозяйствующему(им) субъекту(ам) занимать его, в тоже время не допуская злоупотребления таким положением. Оценка того, занимает(ют) ли хозяйствующий(ие) субъект(ы) доминирующее положение основывается на определении релевантного (соответствующего) товарного рынка, который подразумевает границы, объем и субъективный состав. Границы товарного рынка подразделяются на продуктовые и географические. При определении продуктовых границ рынка берется совокупность продаж однородного товара и его ближайших субститутов (взаимозаменяемых товаров), степень взаимозаменяемости которых отражается показателем перекрестной ценовой эластичности спроса. К одному рынку относятся товары, для которых значение перекрестной ценовой эластичности спроса достаточно велико. Недостижение названного значения заданной величины означает разрыв в цепи товаров-заменителей. Географические границы товарного рынка устанавливаются с учетом определения эффективной конкуренции на определенной территории.
В целях профилактики антиконкурентных действий А.з. большинства государств предусмотрен контроль за реорганизацией предприятий и за приобретением акций (долей) в уставном капитале коммерческих организаций, осуществление, которого, как правило, возлагается на уполномоченный государственный орган. Контроль осуществляется с учетом обладания названными предприятиями доминирующего положения и суммы совершаемых ими сделок.
Одним из первых в системе законодательных актов, опосредующих коренную экономическую реформу, проводимую РФ в начале 1990-х г., был введен закон РФ "О конкуренции и ограничении монополистической деятельности на товарных рынках". Целями введения в действие этого закона были и остаются создание конкурентной среды в российской экономике, предупреждение, ограничение и пресечение монополистической деятельности и недобросовестной конкуренции на товарных рынках. Названный закон был принят за несколько месяцев до закона РФ о приватизации предприятий, тем самым установив правовые основы для действия приватизируемых и вновь образуемых предприятий в условиях конкурентной среды.
В настоящее время Конституция РФ, гарантируя каждому свободное использование своих способностей и имущества для предпринимательской и иной не запрещенной законом экономической деятельности, провозглашает, что экономическая деятельность, направленная на монополизацию и недобросовестную конкуренцию, не допускается (ст. 34). Конституция РФ вместе с Законом о конкуренции, издаваемых в соответствии с ним федеральными законами, указами Президента РФ, постановлениями и распоряжениями Правительства РФ составляет А.з. РФ. А.з. является федеральным (установление правовых основ единого рынка находится в ведении РФ (абз. "ж" ст. 71 Конституции Российской Федерации)). Основные особенности российского А.з. состоят в том, что оно содержит нормы о пресечении недобросовестной конкуренции (см. недобросовестная конкуренция), положения о запретах адресованы не только частным лицам, но и органам исполнительной власти.
Закон о конкуренции определяет категорию противоречащих А.з. действий (бездействия) хозяйствующих субъектов или органов исполнительной власти, направленных на недопущение, ограничение или устранение конкуренции, - монополистическую деятельность, которая в свою очередь подразделяется на индивидуальную (злоупотребления) и согласованную (соглашения) монополистическую деятельность.
К индивидуальным проявлениям монополистической деятельности относится злоупотребление хозяйствующим субъектом своим доминирующим положением. Действия хозяйствующего субъекта, занимающего доминирующее положение на рынке, которые имеют или могут иметь своим результатом существенное ограничение конкуренции и(или) ущемление интересов других хозяйствующих субъектов или физических лиц запрещены (п. 1 ст. 5 Закона о конкуренции). В Законе о конкуренции приводится открытый перечень таких действий которые оказывают или могут оказать пагубный результат на конкуренцию.
Согласно Закону о конкуренции запрещаются и в установленном порядке признаются недействительными полностью или частично достигнутые в любой форме соглашения (согласованные действия) конкурирующих хозяйствующих субъектов (потенциальных конкурентов), занимающих в совокупности доминирующее положение, если такие соглашения (согласованные действия) имеют или могут иметь своим результатом существенное ограничение конкуренции (п.1 ст. 6). В исключительных случаях названные соглашения (согласованные действия) могут быть признаны правомерными, если хозяйствующие субъекты докажут, что положительный эффект от их действия, в том числе в социально-экономической сфере, превысит негативные последствия для рассматриваемого товарного рынка (п. 3 ст. 6). В Законе о конкуренции приводится перечень соглашений, которые по своей сути нарушают положения А.з. и на которые не распространяются названные изъятия.
К индивидуальным монополистическим проявлениям органов власти и управления согласно Закону о конкуренции относятся принимаемые ими акты и действия, которые ограничивают самостоятельность хозяйствующих субъектов, создают дискриминирующие или, напротив, благоприятствующие условия деятельности отдельных хозяйствующих субъектов. Запрещается образование органов исполнительной власти РФ, субъектов РФ и местного самоуправления с целью монополизации производства или реализации товаров, а также наделение названных органов полномочиями, осуществление которых имеет либо может иметь своим результатом ограничение конкуренции. Запрещается совмещение функций указанных органов с функциями хозяйствующих субъектов, а также наделение последних функциями названных органов (ст. 7).
Согласованный монополистические действия органов исполнительной власти РФ, субъектов РФ, муниципальных образований между собой, либо с хозяйствующим субъектом запрещается и в установленном порядке признаются недействительными, в случае, когда они могут имеют, либо могут иметь своим результатом ограничение конкуренции и (или) ущемление интересов хозяйствующих субъектов или граждан (ст. 8).
Проведение государственной политики по содействию развитию товарных рынков и конкуренции, предупреждению, ограничению и пресечению монополистической деятельности и недобросовестной конкуренции осуществляется федеральным антимонопольным органом, положение о котором утверждается Президентом РФ (ст. 3 Закона о конкуренции). Федеральный антимонопольный орган - ГАК России для осуществления своих полномочий вправе создавать свои территориальные органы и наделять их своими полномочиями в пределах своей компетенции. Согласно Закону о конкуренции федеральный антимонопольный орган осуществляет контроль за соблюдением антимонопольных требований при создании, реорганизации и ликвидации хозяйствующих субъектов и за приобретением акций (долей) с правом голоса в уставном капитале хозяйственных обществ, которое может привести к доминирующему положению на рынках в РФ хозяйствующих субъектов либо к ограничению конкуренции.
Вопрос № 89. Виды общественных благ. Определение оптимального объема их производства
Государство в сфере производства выполняет две основные функции: производство общественных и частных товаров; регулирование и субсидирование частного производства.
Рыночный механизм не в состоянии обеспечить производство чистых общественных благ в силу их специфичности.
Во-первых, общественные товары и услуги являются неконкурентными, т.е. при любом заданном уровне их объема предельные издержки на их производство для дополнительного потребителя равны нулю.
Во-вторых, общественные блага неисключаемы, т.е. ими пользуются все члены общества независимо от возможности отдельного лица оплатить их потребление
Спрос на общественные блага, в силу их перечисленных особенностей, непосредственно измерить невозможно, он не имеет ярко выраженной денежной меры. Так как рынок в состоянии удовлетворить лишь те потребности, которые воплощаются в спросе, то частные производители либо не предложат общественные товары, либо поставят неадекватное их количество. Поэтому общественные блага обычно производятся государством.
Наряду с непосредственным участием в производстве общественных и некоторых частных благ государство может оказывать косвенное воздействие на размещение ресурсов в сфере промышленного и сельскохозяйственного производства. В качестве инструментов могут использоваться налоги, субсидии, непосредственное государственное регулирование, правовые нормы и т.п.
По объекту воздействия со стороны государства выделяются различные направления регулирования.
Образование не способно выполнять возложенные на него функции без поддержки государства. Частное образование может быть лишь фрагментом общей системы.
Полный пересмотр программ низших, средних и высших учебных заведений, удаление оттуда всего ненужного.
Здравоохранение является классическим примером общественного блага. При этом необходимость бесплатных прививок и профилактических мероприятий.
Государственное вмешательство в рынок труда нацелено главным образом на сокращение безработицы и обеспечение высокого уровня занятости самодеятельного населения, а также на достижение соответствия предложения рабочей силы в отраслевом и региональном разрезе спросу на нее в количественном и качественном отношении.
Вопрос № 90. Определение внешних эффектов. Государственное регулирование внешних эффектов
Проблема внешних издержек - экстернами, впервые исследовал английский экономист Артур Пнгу. Он выделил частные индивидуальные издержки и социальные издержки общества, он показал, что рост загрязнения дает рост внешних издержек. Очевидно, что для любого предпринимателя цель состоит в минилизации своих частных издержек для увеличения прибыли, а потому они часто экономят на природно-охранных затратах, не учитывая их себестоимости В этом случае общество будет вынуждено тратить свои средства на ликвидацию возникшего ущерба. Т о. общие социальные затраты на производство продукции будут состоять из индивидуальных и экстернальных (внешних) издержек. Пример- образования и оценки экстернальных издержек загрязнение реки верхнем течении химкомбинатом и дополнительные издержки пищевого комбината на очистку) внешние издержки местного населения на лечение, на очистку воды, потери оригационой зоны).
Существование экстернали ставит вопрос о реальной цене продукции предприятии загрязняющих окружающую среду для общества. Недоучет этих издержек в цене, следствие не эффективности рынка в их отражении, занижает фактические цены по сравнению с общественными издержками.
Внешние эффекты могут быть отрицательными и положительными (развитие региона при строительстве градообразующего предприятия и развитие инфраструктуры региона). Отрицательный (загрязнение, нарушение природного ландшафта)
Г'осу дарственное регулирование внешних эффектов возможно за счет:
- ограничение деятельности при наличии отрицательных внешних эффектов или наоборот стимулирование предположительно
-
гибкая система налогообложения различные санкции, штрафы и т.д.
-
сужение сферы госсобственности на природные ресурсы, введение частной собственности.
















