10840 (630187), страница 8
Текст из файла (страница 8)
Репрессия конечным продуктом. Все биосинтетические пути находятся под контролем механизма репрессии конечным продуктом. Точно так же образование большинства анаболических ферментов регулируется путем репрессии их синтеза. Репрессия осуществляется особыми присутствующими в клетке веществами — репрессорами. Факторами, модифицирующими активность репрессоров, могут быть конечные продукты биосинтетических путей, а также промежуточные продукты некоторых катаболических или амфиболических путей.
Репрессия может быть координированной, т. е. синтез каждого фермента данного пути в одинаковой степени подавляется конечным продуктом. Часто синтез ферментов одного пути репрессируется в разной степени. В разветвленных биосинтетических путях механизмы репрессии могут быть модифицированы (как и механизмы ингибирования), чтобы лучше обеспечить регуляцию нескольких конечных продуктов из общего исходного субстрата. Синтез многих ферментов в таких путях репрессируется только при совместном действии всех конечных продуктов. Если реакция на общем участке разветвленного пути катализируется изоферментами, синтез каждого из них находится под контролем "своего" конечного продукта.
Механизм репрессии конечным продуктом на уровне транскрипции стал проясняться с 50-х гг. Большой вклад в это внесли работы Ф. Жакоба и Ж. Моно. Было показано, что наряду со структурными генами, кодирующими синтез ферментов, в бактериальном геноме существуют специальные регуляторные гены. Один из них — ген-регулятор (ген R), функция которого заключается в регуляции процесса транскрипции структурного гена (или генов). Ген-регулятор кодирует синтез специфического аллостерического белка-репрессора, имеющего два центра связывания: один узнает определенную последовательность нуклеотидов на участке ДНК, называемом оператором (ген О), другой — взаимодействует с эффектором. Ген-оператор расположен рядом со структурным геном (генами) и служит местом связывания репрессора. В отличие от операторных генов гены-регуляторы расположены на некотором расстоянии от структурных генов (продукты регулярных генов — репрессоры являются свободно диффундирующими белковыми молекулами).
Часто структурные гены, относящиеся к одному биохимическому пути, объединены в группу, составляющую вместе с оператором единицу транскрипции и регуляции — оперон. Все структурные гены, объединенные в оперон, имеют один операторный участок, локализованной на краю оперона, и координирование регулируются одним репрессором. Оперон представляет собой весьма рациональную и эффективную систему регуляции метаболического пути.
Индукция синтеза ферментов. В большинстве случаев регуляция путем индукции характерна для катаболических путей, где в качестве индукторов выступают обычно субстраты этих путей. Классический пример индуцибельного фермента — (3-галактозидаза Е. coli. Оказалось, что если клетки Е. coli выращивать в среде, содержащей глюкозу, то они не могут использовать лактозу. Если такие клетки поместить в среду, где лактоза — единственный источник углерода, после некоторого периода в них происходит интенсивный синтез фермента (3-галактозидазы, катализирующего гидролиз лактозы на D-глюкозу и D-галактозу. С помощью этого фермента Е. coli может теперь использовать лактозу в качестве единственного источника углерода. Если затем клетки, растущие на среде с лактозой, перенести на среду с глюкозой, синтез (3-галактозидазы прекращается.
Изучение индукции (3-галактозидазы у Е. coli позволило установить, что рост клеток на среде с лактозой происходит не в результате отбора мутантов, у которых способность использовать лактозу есть следствие мутации. Способностью синтезировать этот фермент обладают все клетки. Было также показано, что в процессе индукции происходит не активирование уже имеющегося в клетках фермента (З-галактозидазы, а его синтез de novo из аминокислот.
20. Характеристика химического состава белков.
Изучая химический состав белков, необходимо выяснить, во-первых, из каких химических элементов они состоят, во-вторых, - строение их мономеров. Для ответа на первый вопрос определяют количественный и качественный состав химических элементов белка. Химический анализ показал наличие во всех белках углерода (50-55%), кислорода (21-23%), азота (15-17%), водорода (6-7%), серы (0,3-2,5%). В составе отдельных белков обнаружены также фосфор, йод, железо, медь и некоторые другие макро- и микроэлементы, в различных, часто очень малых количествах. Содержание основных химических элементов в белках может различаться, за исключением азота, концентрация которого характеризуется наибольшим постоянством и в среднем составляет 16%.
Кроме того, содержание азота в других органических веществах мало. В соответствии с этим было предложено определять количество белка по входящему в его состав азоту. Зная, что 1г азота содержится в 6,25 г белка, найденное количество азота умножают коэффициент 6,25 и получают количество белка.
Для определения химической природы мономеров белка необходимо решить две задачи: разделить белок на мономеры и выяснить их химический состав.
Расщепление белка на его составные части достигается с помощью гидролиза - длительного кипячения белка с сильными минеральными кислотами (кислотный гидролиз) или основаниями (щелочной гидролиз). Наиболее часто применяется кипячение при 110 градусах Цельсия с HCl в течение 24 ч. На следующем этапе разделяют вещества, входящие в состав гидролизата. Для этой цели применяют различные методы, чаще всего - хроматографию.
Главным частью разделенных гидролизатов оказываются аминокислоты. Белки являются одними из четырех основных органических веществ живой материи (белки, нуклеиновые кислоты, углеводы, жиры), но по своему значению и биологическим функциям они занимают в ней особое место. Около 30% всех белков человеческого тела находится в мышцах, около 20% - в костях и сухожилиях и около 10% - в коже.
Но наиболее важными белками всех организмов являются ферменты, которые, холя и присутствуют в их теле и в каждой клетке тела в малом количестве, тем не менее управляют рядом существенно важных для жизни химических реакций.
21. Характеристика форм покоя у бактерий.
Хорошо известно, что при попадании в неблагоприятные условия, многие бактерии способны переходить в покоящееся состояние. Это состояние характеризуется резким снижением метаболической, активности и полным» отсутствием деления. Ранее покоящееся состояние микроорганизмов связывали только со специализированными формами (спорами и цистами), образуемыми ограниченным числом бактерий. Однако сейчас становится ясно, что многие неспорулирующие; бактерии, в том числе и патогенные микроорганизмы, в определенных условиях могут переходить в покоящееся состояние, оставаясь при этом жизнеспособными. Под. покоящимся состоянием' мы понимаем такое, обратимое состояние бактериальной клетки, при котором уровень метаболической активности значительно снижен, а клетка может существовать в таком состоянии без деления длительное время.Такие покоящиеся клетки, как правило, изменяют свою форму, утолщают клеточную стенку и становятся менее чувствительными:к агрессивным внешним воздействиям. И; хотя обычные микробиологические: методы зачастую не могут выявить микроорганизмы, находящиеся в покоящемся состоянии, такие бактерии при наступлении благоприятных условий способны продолжить рост.
До недавнего времени существование покоящегося состояния для микобактерий in vitro или in vivo не было установлено, хотя для ряда других неспорулирующих бактерий переход в покоящееся состояние экспериментально установлен.
Основные признаки анабиотического или покоящегося состояния: 1) отсутствие или предельно заторможенный метаболизм, 2) сохранение структуры в течение продолжительного времени, 3) отсутствие в жидкой фазе заметных количеств свободной воды как непрерывной среды, 4) повышенная устойчивость против экстремальных факторов неделящееся, 5) способность восстанавливать процессы жизнедеятельности.
Очевидно, что переход в покоящееся состояние может происходить под влиянием различных факторов и наряду с универсальными чертами обладать какими-то особенностями и уникальными механизмами регуляции.
Кейлин объединил под названием гипобиоз любое неактивное неделящееся состояние жизнеспособного организма. В свою очередь, гипобиоз включает гипометаболизм и аметаболизи (или латентную жизнь). Гипометаболизм характеризуется крайне низкими, но все же измеряемыми, метаболическими активностями, примером его может служить зимняя спячка животных. Аметаболизм - полное отсутствие какого-либо метаболизма, например, в спорах.
Для бактерий выделяют конститутивное (эндогенное) и экзогенное покоящиеся состояния . Специализированные покоящиеся формы микроорганизмов, такие как споры и цисты, относятся к первому состоянию. Экзогенное состояние покоя наступает под действием неблагоприятных факторов, при этом вегетативные неспорулирующие бактерии могут переходить в неактивное состояние.
22. Характеристика водорастворимых витаминов
Тиамин (витамин В,)
Рибофлавин (витамин В2)
Пантотеновая кислота (витамин В3)
Никотиновая кислота (витамин В5, РР)
Пиридоксин (витамин В6)
Цианкобаламин (витамин В12)
Пангамовая кислота (витамин В15)
Аскорбиновая кислота (витамин С)
Цитрин (витамин Р)
Биотин (витамин Н)
Парааминобензойная кислота Фолиевая кислота
Инозит S-Метилметионин (витамин U)
Характерным для этой группы витаминов является хорошая растворимость в воде и нерастворимость в жирах и органических растворителях.
Как правило, витамины, растворимые в воде, содержатся в продуктах растительного происхождения; большинство из них в своем составе содержит азот. В отличие от жирорастворимых витаминов они не накапливаются в животном организме и проявляют свое биологическое действие, входя в состав ферментов.
Витамин В, (тиамин) является первым витамином, химический состав которого был подробно изучен. Название "тиамин" он получил благодаря наличию в его молекуле серы и азота:
Отсутствие в пище витамина В, вызывает тяжелое заболевание полиневрит, или бери-бери, распространенное в странах, где основным продуктом питания населения служит полированный рис.
По химической природе витамин В2 представляет собой производное азотистого основания — изоаллоксазина, связанное с остатком спирта — рибитола:
При отсутствии витамина В2 у животных наблюдается задержка роста, у человека — выпадение волос. Характерным признаком авитаминоза В2 является заболевание глаз, сопровождающееся вас-куляризаиией роговицы (прорастание кровеносными сосудами). Затем происходит воспаление роговицы и помутнение хрусталика.
Витамин В3 (пантотеновая кислота). При изучении условий, необходимых для роста дрожжей, в рисовых отрубях было открыто вещество, которое оказалось фактором роста. Оно было названо пантотеновой кислотой (от греч. pamothen — везде присутствующий). Такое название витамин В3 получил за свое широкое распространение в природе.
Отсутствие пантотеновой кислоты в пище вызывает ряд расстройств в организме человека: нарушается деятельность сердца, нервной системы, почек, пищевого канала, развиваются дерматиты, обесцвечиваются волосы, снижается аппетит и т. д.
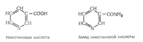
Витамин В5, РР (никотиновая кислота).
Биологическое значение витамина РР заключается'в том, что он является составной частью коферментов НАД и НАДФ. Последние входят в состав многих дегидрогеназ — ферментов, катализирующих реакции биологического окисления. Эту функцию ферменты (их известно около 100) выполняют благодаря наличию в составе их молекул витамина РР, способного обратимо присоединять атомы водорода.
Витамин В6 (пиридоксин).
















