1940 (630131), страница 5
Текст из файла (страница 5)
Это означает, что облигации, представленные либо глобальными, либо индивидуальными сертификатами, не покидают депозитарные клиринговые палаты, а просто передвигаются по счетам клиентов и агентов. Следовательно, это позволяет более эффективно проводить расчеты. Следует отметить, что по большинству выпусков еврооблигаций проценты выплачиваются только один раз в год, а торговые цены отражают чистые цены (т. е- без накопленных процентов), а начисление процентов происходит (по американской системе) на основе 360 дней в году (в отличие от Великобритании, где для таких расчетов берут 365 дней).
Последнее различие здесь связано с рейтингом доходности. Выпуск еврооблигаций может быть успешным только тогда, когда эмитент имеет рейтинг одного из ведущих рейтинговых агентств, таких, как S & Р и Moody’s, и это одно из условий, которое должен учитывать ведущий менеджер. Хотя эти выпуски и выполняют все требования листинга, обычно они не обращаются как биржевые инструменты (т. е. банки будут торговать ими как принципалы между собой).
Тем не менее в последние двадцать лет такая торговля стала регулироваться Международной ассоциацией рынка ценных бумаг (ISMA), которая состоит, по ее собственному определению, из «крупнейших европейских банков и инвестиционных домов». Эта ассоциация признается многими странами как саморегулируемая организация. Основной заботой Ассоциации является соблюдение правил торговли. Как и при внутренних выпусках, рейтинг дохода будет зависеть от качества облигации и других факторов. Однако есть один очень важный фактор, который уникален для еврооблигаций.
24. Муниципальные облигации.
Проанализировав довольно успешный опыт обращения ГКО на федеральном уровне, аналогичные программы, направленные на сокращение взаимных неплатежей предприятий и местного бюджета, в последнее время начали разрабатывать и внедрять также некоторые региональные администрации, выпуская свои облигации. Данные облигации могут быть выпущены банками общенационального масштаба (Сбербанк, Российский кредит), крупными промышленными предприятиями, либо местными администрациями. Эмитируются бюджетные облигации под обеспечение в счет налогов, зачисляемых в бюджет соответствующего уровня. Так, согласно Закона "Об основах налоговой системы в Российской Федерации" в муниципальные бюджеты зачисляются налог на содержание жилищной сферы, рекламу и другие нужды, а в региональные – на нужды общеобразовательных учреждений, лесной доход, часть налога на имущество предприятий и т.д. Сроки погашения облигаций синхронизированы со сроками поступления данных налогов в местный бюджет и наступают чуть позже времени, в которое ожидается уплата таких налогов.
Внедряя региональные вексельные программы, администрация способствует разрешению следующих задач: сокращение задолженности между предприятиями, а также их задолженности местному бюджету, увеличение объема оборотных средств государственных институтов и органов местной власти без дополнительных бюджетных ассигнований, открытие новых источников финансовых средств и кредитных ресурсов, решение проблемы финансирования местных программ, ускорение и оптимизация расчетов между бюджетными и другими организациями и предприятиями.
Муниципальные облигации выпускаются с целью мобилизации средств для строительства или ремонта объектов общественного пользования: дорог, мостов, водопроводной системы и т.п.
Муниципальные облигации подразделяются на следующие виды:
-- облигации под общее обязательство. Такие облигации подкрепляются добросовестностью эмитента. Поскольку в качестве эмитента при выпуске муниципальных облигаций выступает орган управления, который обладает правом обложения налогами на своей территории, эти налоги служат косвенным обеспечением муниципальных облигаций (подоходные, с оборота, на недвижимость и т.д.). Обычно облигации под общее обязательство выпускаются для финансирования проектов, не приносящий доходов.);
-- облигации под доход от проекта Облигации этого типа погашаются за счет доходов от проектов, для финансирования которых они выпускаются (за счет различных муниципальных сборов, пошлин, комиссионных, платежей за аренду и т.д.) .
25. Понятие депозитарных расписок и цели их выпуска.
Депозитарная расписка (Depositary receipt) – это ценная бумага, свидетельствующая о владении определенным количеством акций иностранной компании, депонированных в стране нахождения этой компании, кругооборот которой осуществляется в другой стране (странах). Депозитарная расписка означает непрямое владение акциями иностранной компании.
Американская депозитарная расписка American Depository Receipt (ADR) - в США - депозитарная расписка, удостоверяющая владение акциями компании иностранного государства, приобретенными депозитарным банком США в процессе их размещения на территории США.
Одна АДР может представлять часть акции, одну или несколько акций иностранной компании-эмитента. АДР-ы используются иностранными компаниями для выхода на американский фондовый рынок.
Международная депозитарная расписка International Depository Receipt (IDR) - инструмент международной торговли акциями, документ, выданный банком или иным юридическим лицом в подтверждении того, что они от имени поименованной стороны (доверителя) являются держателями определенного количества акций в иностранной компании.
Посредством МДР иностранные корпорации могут обходить требования, предъявляемые к эмиссии акций той страной, где должны торговаться акции.
Цели выпуска депозитарных расписок:
- помогают упростить торговлю акциями иностранных эмитентов,
- сократить расходы на операции с ценными бумагами,
- преодолеть правовые ограничения на непосредственное владение акциями,
-реализовать налоговые преимущества
-расширить состав потенциальных инвесторов, особенно из числа институциональных,
- улучшить имидж компании.
Виды ADR и их характеристика.
Неспонсируемые: выпускаются по инициативе отдельных акционеров компании, которые и несут все расходы, связанные с их выпуском)
Спонсируемые: выпускаются по инициативе самой компании, которая имеет право заключить договор на их выпуск лишь с одним американским банком, и все затраты, возникающие в этом случае, несет сама компания согласно заключенному договору.
а) ранее выпущенные акции
б) вновь выпущенные акции
Ранее выпущенные и вновь выпускаемые акции, в зависимости от формы их размещения делятся на частное размещение - право торговли только на неорганизованном рынке, или публичное размещение - право торговли на фондовых биржах США и в системе НАСДАК.
Подлежащие частному размещению:
-ADR-1 частного размещения (право торговли только на неорганизованном рынке)
-ADR-2 публичного размещения (право торговли на фондовых биржах США и в системе НАСДАК, или право на публичные котировки)
Подлежащие публичному размещению:
-ADR-3 публичного размещения
-ADR-4 (правило 144А) частного размещения (покупателями могут только быть так называемые «квалифицированные институциональные инвесторы», они имеют право торговать между собой ADR-4 через систему электронной торговли ПОРТАЛ, которая есть составная часть национальной системы НАСДАК)
Преимущества, получаемые эмитентом при выпуске АДР
-
Коммерческие
-
Расширение рынка ценных бумаг компании посредством бысторого и обширного предложения
-
Улучшение имиджа компании
-
Финансовые
-
Выход на международные рынки капиталов
-
Повышение и стабилизация котировок акций эмитента
-
Гибкое капиталовложение
Стратегические
-
Расширение круга потенциальных инвесторов
-
Механизм для приобретения и слияния компаний
Преимущества АДР для инвесторов:
-
Инвесторы могут выбирать из более чем 2000 Депозитарных расписок из более чем 60 стран .
-
Котируются в долларах США, дивиденды выплачиваются в долларах США.
-
Депонирование и отчетность по международным стандартам
-
Обходят ограничения на инвестиции за рубежом (например, требования листинга на признанной бирже)
-
Исключают платежи российским банкам - держателям акций
-
Не требуют обмена иностранной валюты, открытия счетов типа
-
Не требуют обмена иностранной валюты, открытия счетов типа "И", «С»
-
Обладают повышенной ликвидностью
-
Доступно больше информации об эмитенте
Основные характеристики уровней АДР Таблица №2
| Уровень АДР | Форма выпуска (цель) | Основные характеристики |
| 1 уровень | «торговая» форма |
|
| 2 уровень | «листинговая» форма |
|
| 3 уровень | форма «предложения» |
|
| 4 уровень | форма «частного размещения» |
|
26.Обращение переводного векселя. Индоссамент.
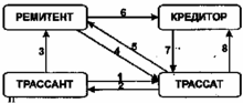
В случае использования переводного векселя (тратты) в обращении участвуют несколько юридических или физических лиц (обычно три-четыре, но может быть и больше).
Переводной вексель представляет собой письменный приказ векселедержателя (кредитора), именуемого трассантом, другому лицу - должнику, векселедателю, именуемому трассатом, уплатить определенную сумму третьему лицу, предъявителю, ремитенту. Если трассат акцептует вексель (или вексель им уже акцептован), но не платит по нему, вексель опротестуется - предъявляется векселедержателем в порядке регрессивного иска для безусловного взимания денег. Процесс обращения переводного векселя представлен на рисунке.
При наступлении срока платежа кредитор предъявляет вексель к оплате трассату, т.е. плательщику, акцептовавшему вексель. Трассат перечисляет деньги кредитору и гасит вексель. Кредитор, в свою очередь, может быть должником по отношению к трассату, и вексель в этом случае направляют в качестве оплаты. Трассат же при этом сообщает кредитору, что принял вексель в оплату долга. Ремитент также может быть должником кредитора и, делая передаточную надпись на векселе, гасит свои обязательства перед кредитором.
- Вексель;
- Акцептованный вексель;
- Вексель, предъявленный к оплате;
- Распоряжение об оплате векселя;
- Погашенный вексель;
- Требование к оплате;















