183713 (629912)
Текст из файла
Дискретні динамічні системи
Завдання №1
Динаміка національного доходу Yt визначається рівнянням
(1.1.0)
де с=0,25; А =1; а=2. Знайти залежність Yt, якщо Y0=1
Рішення
1. Варіант початкових даних Y0=1.
Рішення рівняння (1.1.0) проводимо в пакеті MAPLE7:
> rsolve({y(n)=1/4*y (n‑1)+1*(2^n), y(0)=1}, y(n));
>
> R3:=simplify(%);
Результат:
| n | Y |
| 0 | 1,00 |
| 1 | 2,25 |
| 2 | 4,56 |
| 3 | 9,14 |
| 4 | 18,29 |
| 5 | 36,57 |
Завдання №2
Динаміка національного доходу Yt визначається рівнянням Самуельсона-Хікса [6]
(1.2.0)
де а=2; b =1,25; c=1. Знайти залежність Yt, якщо Y0=0, Y0=1
Рішення:
1. Динаміка об'єктів різної природи часто описується лінійними кінцево-різницевими рівняннями виду
xt = F (xt‑1, xt-2,…, xt-n), (1.2.1)
Характеристичний стан об'єкта xt у будь-який момент часу t зі станами в попередні моменти часу. Рішення рівняння (1.2.1) n‑го порядку визначено однозначно, якщо задані n так званих початкових умов. Звичайно як початкові умови розглядаються значення xt при t = 0, 1,…, n – 1.
Підставляючи початкові значення xn‑1,…, x1, x0 і t = n як аргументи функції в правій частині (1.2.1), знаходимо xn; використовуючи знайдене значення й підставляючи тепер xn, xn‑1,…, x2 x1 і t = n + 1 як аргументи функції, знаходимо xn+1, і т. д. Процес може бути продовжений доти, поки не будуть вичерпані всі досліджуємі значення t.
У моделі економічних циклів Самуельсона-Хікса використовуються кінцево-різницеві рівняння виду xt = a1 xt-1 + a2 xt-2 + f(t) – лінійні кінцево-різницеві рівняння другого порядку, що є приватним видом рівняння (1.2.1).
2. Варіант початкових даних Y0=0.
Рішення рівняння (1.2.0) проводимо в пакеті MAPLE7 [4]:
> rsolve({f(n)=(2*f (n‑1) – (1*1/4)*f (n‑2)+2), f(0)=0}, f(n));
-
Samuelson_Hiks3:=simplify(%);
Як показує аналіз рішення для вирішення рівняння моделі Самуельсона-Хікса потрібно 2 послідовні точки початкових умов національного доходу (n‑1, n), тобто 0 та 1 значення для кінечно-різницевої моделі. Тільки тоді з’являється можливість розрахування послідовних значень для точки (n+1). Якщо є тільки одна початкова точка (n‑1), то отриманне рівняння моделі залежить не тільки від значення n, але і від значення Y(1).
3. Варіант початкових даних Y0=1.
Рішення рівняння (1.2.0) проводимо в пакеті MAPLE7:
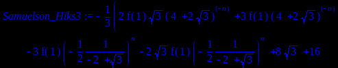
> rsolve({f(n)=(2*f (n‑1) – (1*1/4)*f (n‑2)+2), f(0)=1}, f(n));
> Samuelson_Hiks3:=simplify(%);
Як показує аналіз рішення для вирішення рівняння моделі Самуельсона-Хікса потрібно 2 послідовні точки початкових умов національного доходу (n‑1, n), тобто 0 та 1 значення для кінечно-різницевої моделі. Тільки тоді з’являється можливість розрахування послідовних значень для точки (n+1). Якщо є тільки одна початкова точка (n‑1), то отримане рівняння моделі залежить не тільки від значення n, але і від значення Y(1).
4. Варіант початкових даних Y0=0, Y1=1.
Рішення рівняння (1.2.0) проводимо в пакеті MAPLE7:
> rsolve({f(n)=(2*f (n‑1) – (1*1/4)*f (n‑2)+2), f(0)=0, f(1)=1}, f(n));
-
Samuelson_Hiks3:=simplify(%);
Завдання №3
Попит D та пропозиція S як функції ціни p задаються виразами
(1.3.0)
Знайти стаціонарну ціну pD=S(при умові D=S – вирівнювання попиту та пропозиції) та з’ясувати чи вона є стійкою.
Рішення:
1. Аналіз стійкості рівноважної ціни pD=S, якщо попит D та пропозиція S завдані функціями:
(1.3.1)
виконується для дискретного підходу за наступним алгоритмом [1].
Нехай ціна близька до рівноважної, при якій попит D дорівнює пропозиції S:
(1.3.2)
Тоді рівняння (1.3.1) в кінцевих різницях можна представити як:
(1.3.3)
З умови рівноваги попиту та пропозиції та умови (1.3.2), маємо наступне перетворення рівнянь (1.3.3):
(1.3.4)
а оскільки
(1.3.5)
то рівняння (1.3.4) трансформується до вигляду:
(1.3.6)
Який перетворюється до наступної форми:
(1.3.7)
Для приросту ціни ∆pi отримане рівняння (1.3.7) є характеристичним однорідним різницевим рівнянням з сталим коефіцієнтом. Умова стійкості його розв’язку має вигляд [1]:
(1.3.8)
2. Для системи рівнянь (1.3.0) пошук рівноважної ціни PD=S виконується за схемою:
(1.3.9)
Рішення рівняння (1.3.9) в пакеті MAPLE7 дає рішення:
> solve (– (sqrt(L)*sqrt(L))+sqrt(L)+2=0);
тобто p=4.
3. Знаходимо похідні
в точці рівноваги р=4:
(1.3.10)
Оскільки умови стійкості для отриманих значень похідних в точці рівноваги не виконуються (1.3.11), то рівноважне рішення р=4 є нестійким
(1.3.11)
Неперервні динамічні системи
Завдання №1
Найти розв’язок рівняння Харода-Домара
з початковою умовою Y (t=0) =Y0; s, A, і – const;
Позначення (згідно з моделлю Харода – Домара роста національного доходу держави у часі) [6]:
Y(t) – рівень національного доходу держави у часі;
– схильність населення до заощаджень (0< s < 1,0), тобто частка національного доходу, яка відкладується в заощадження;
t – час;
i – коефіцієнт індукованих інвестицій при зміні національного доходу ∆Y(t), тобто частка приросту національного доходу, яка йде на інвестування економіки;
А – рівень незалежних сталих інвестицій
Рішення:
1. У загальному вигляді модель економічного зростання складається із системи п’яти рівнянь [6]:
1) формула виробничої функції, якою передається обсяг потенційного випуску, тобто випуску продукції за умов повної зайнятості;
2) основна макроекономічна тотожність Yt=Ct+It показує, що вимірник випуску (доходу) Y поділяється в теорії зростання на споживання С та інвестиції І; вимірники державних витрат G і чистого експорту NX окремо в таких моделях не вирізняються, а розподіляються на споживання та інвестиції держави й інших країн світу (тобто вводяться в компоненти С та І);
3) формула розрахунку динаміки обсягу капіталу з урахуванням інвестицій та амортизації основного капіталу (за умови нульового інвестиційного лагу) має вигляд:
Kt=Kt-1+It–Wt,
де Kt – запас капіталу наприкінці періоду t;
Іt – інвестиції за весь період t;
Wt, – амортизація капіталу за період t.
Наведена формула вказує на те, що кількість капіталу зростає на величину інвестицій та зменшується на величину амортизаційних відрахувань;
4) формула для розрахунку вибуття капіталу (амортизації) має вигляд:
де
– постійна (незмінна) норма амортизації, яка задається екзогенно отже, вважається, що вибуття капіталу є пропорційним до величини його запасу;
5) щодо інвестицій, то передбачається, що вони складають постійний процент від випуску It= s* Yt, де s – норма інвестицій (частка інвестицій у сукупному продукті (доході). Норма інвестицій s збігається з нормою заощадження, оскільки сукупні заощадження St дорівнюють сукупним інвестиціям Іt. Відповідно, Yt=Ct+St=Ct+It.
Таким чином, модель економічного зростання у загальному вигляді складається із системи п’яти наведених рівнянь, які містять сім змінних (Y, K, L, C, I,
, s), три із яких задаються екзогенно:
-
затрати праці L (зростають із постійним темпом n);
-
норма амортизації основного капіталу
; -
норма заощадження s (задається безпосередньо або ж у вигляді певних умов, наприклад, максимізація споживання).
Мета дослідників – з’ясувати питання про те, як змінюються ендогенні змінні в моделі економічного зростання (Y, C та І) і який із чинників є визначальним фактором довгострокового економічного зростання.
Модель економічного зростання Харода–Домара
Це найпростіша модель економічного зростання, і була вона розроблена наприкінці 40‑х рр. Модель описує динаміку доходу (Y), який є сумою споживчих (С) та інвестиційних (І) витрат. Економіка вважається закритою, тому чистий експорт (NX) дорівнює нулю, а державні витрати (G) в моделі не вирізняються. Основним фактором зростання є нагромадження капіталу.
Основні передумови моделі:
– постійна продуктивність капіталу MPK = dY/dK;
– постійна норма заощадження s = I/Y;
– відсутній процес вибуття капіталу W = 0;
– інвестиційний лаг дорівнює нулеві, тобто інвестиції миттєво переходять у приріст капіталу. Формально це означає, що dK(t) = I(t);
– модель не враховує технічного прогресу;
-
випуск не залежить від затрат праці, оскільки праця не є дефіцитним ресурсом;
-
використовується виробнича функція Леонтьєва, яка передбачає неможливість взаємозаміни акторів виробництва – праці і капіталу.
Припускається, що швидкість доходу пропорційна інвестиціям: dY = MPK * I(t) = MPK * s * Y, а темп приросту доходу dY/Y * dt є постійним і дорівнює s * MPK. Він прямо пропорційний нормі заощаджень та граничній продуктивності капіталу. Інвестиції (І) та споживання (С) в моделі Харода-Домара зростають з таким же постійним темпом (s * MPK).
2. Рішення проводимо в пакеті MAPLE7, використовуючи функцію вирішення диференційного рівняння з початковими умовами Y (t=0)=Y0:
> L6:=diff (y(t), t)=(s/i*y(t) – A/i*t);
-
ans1:= dsolve({L6, y(0)=Y0}, y(t));
Таким чином, розв’язком рівняння Харода-Домара у вигляді
Характеристики
Тип файла документ
Документы такого типа открываются такими программами, как Microsoft Office Word на компьютерах Windows, Apple Pages на компьютерах Mac, Open Office - бесплатная альтернатива на различных платформах, в том числе Linux. Наиболее простым и современным решением будут Google документы, так как открываются онлайн без скачивания прямо в браузере на любой платформе. Существуют российские качественные аналоги, например от Яндекса.
Будьте внимательны на мобильных устройствах, так как там используются упрощённый функционал даже в официальном приложении от Microsoft, поэтому для просмотра скачивайте PDF-версию. А если нужно редактировать файл, то используйте оригинальный файл.
Файлы такого типа обычно разбиты на страницы, а текст может быть форматированным (жирный, курсив, выбор шрифта, таблицы и т.п.), а также в него можно добавлять изображения. Формат идеально подходит для рефератов, докладов и РПЗ курсовых проектов, которые необходимо распечатать. Кстати перед печатью также сохраняйте файл в PDF, так как принтер может начудить со шрифтами.















