182169 (629343), страница 8
Текст из файла (страница 8)
Определим прибыль на k-м шаге (показатель эффективности k-гo шага), соответствующую каждому из альтернативных управлений ис и и3. Выбирая на k-м шаге управление ис, мы сможем произвести продукции стоимостью f(t) на старом оборудовании, что потребует затрат r(t), поэтому прибыль равна f(t)—r(t). Обозначим ее через
(6.2)
При управлении и3 получим доход
от продажи старого оборудования (ликвидную стоимость) и f(0) от произведенной на новом оборудовании продукции, затратив р на приобретение нового оборудования и r(0) на содержание нового оборудования. В этом случае прибыль (обозначим ее через
) составляет
(6.3)
Построим обратную вычислительную схему решения данной задачи методом ДП.
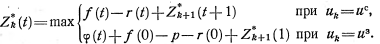
Обозначим через
условную максимальную прибыль, полученную за n—k+l шагов использования оборудования с k-гo по n-й шаг включительно, если к k-му шагу возраст оборудования составлял
лет, при условии, что был выбран оптимальный режим эксплуатации. Соответствующее условное оптимальное управление на k-м шаге обозначим через
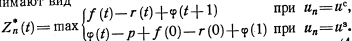
. Условный максимальный доход за последний n-й промежуток составляет
(6.4)
Сравнив эти две величины для всех возможных значений t<n получим значения
и соответствующие значения
. Предположим, что для всех значений
известна максимальная прибыль, полученная за n—k шагов с (k+1)-гo по n-й включительно. Поэтому основные рекуррентные соотношения можно записать в виде
(6.5)
В уравнении (6.5) величина
—условная максимальная прибыль, полученная за n—k шагов, если к началу (k+l)-гo шага система находилась в состоянии
(возраст оборудования составлял один год).
•Процесс условной оптимизации на каждом шаге, начиная с n-го, сводится к сравнению двух величин в уравнениях (6.4) и (6.5) и выбору наибольшей из них. Этап условной оптимизации заканчивается, как обычно, получением последовательностей функций
На этапе безусловной оптимизации для
(возраст оборудования в начале процесса) получаем
, а далее по цепочке:
, из (6.1) находим
,, откуда
, и т. д. Оптимальное управление
представляет собой набор управлений uс и и3.
Замечание. В задаче 1 не рассматривался вопрос о том, что происходит с оборудованием после п лет его эксплуатации. Можно предположить, что п неограниченно велико и, рассматривая процесс для достаточно большого значения п, получить закономерность в оптимальном управлении в виде периодически повторяющихся циклов замены и использования старого оборудования, (такой пример будет рассмотрен ниже). Можно также предположить, что после л лет использования оборудование продается и ликвидная стоимость присоединяется к общей прибыли. Во втором случае уравнения (6.4) принимают вид
(6.6)
Рассмотрим некоторую модификацию задачи 1.
Задача 2. В задаче 1 предположим, что ежегодные затраты на эксплуатацию, ликвидная и начальная стоимость зависят не только от возраста оборудования t, но и от времени, прошедшего с начала процесса. Пусть rh{t)—затраты на эксплуатацию в течение k-гo года, если со времени последней замены прошло t лет;
—ликвидная стоимость оборудования возрастав лет, если оно продается в начале k-гo года; рk — начальная стоимость оборудования, если оно куплено в начале k-гo года.
Требуется определить оптимальные сроки замены старого оборудования новым в течение п лет с тем, чтобы минимизировать затраты на его содержание.
Показатель эффективности в данной задаче — суммарные затраты на эксплуатацию оборудования. Затраты на k-м шаге, как и прежде, зависят от выбранного управления. При управлении иk= ис эти затраты равны
, а при управлении иk =u3 составляют
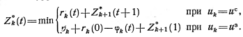
Пусть Zk*{t)—условные минимальные затраты за n—k+1 шагов с k-гo по n-й включительно, если к началу k-гo шага возраст оборудования составлял t лет, при условии, что был выбран оптимальный режим эксплуатации.
Рекуррентные соотношения для Zk*{t) имеют вид
(6.7)
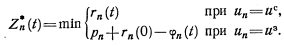
Для n-го шага соответственно получим
(6.8)
Вычислительный процесс строится как и в предыдущей задаче.
Введение в условие задачи функций, оценивающих затраты, выпуск продукции и стоимость, зависящие не только от возраста t, но и непосредственно от k, т. е. от времени, прошедшего с начала процесса, является косвенным способом учета технического прогресса.
Как уже отмечалось неоднократно, модели ДП очень гибки и в смысле возможностей анализа чувствительности к вариации исходных данных, и в смысле возможностей включения в модель различных модификаций задачи. Так, например, аналогичная модель может быть построена для задач, в которых ежегодно рассматривается более двух вариантов управления («сохранение», «замена», «реконструкция» и т. д.). Можно рассматривать задачи, в которых затраты или прибыль зависят не только от возраста оборудования, но и еще от одного параметра, например, времени, прошедшего после восстановительного ремонта, и т. д.
Замечание. Если функции затрат, ликвидная и начальная стоимости в задаче 2 зависят от времени τ, прошедшего с начала эксплуатационного периода, и τ не совпадает с k, то состояние системы следует характеризовать двумя параметрами τ и t.
В заключение главы рассмотрим задачу определения оптимальной стратегии замены оборудования при бесконечном плановом периоде.
Задача 3. Определить оптимальные сроки замены оборудования при неограниченном времени его использования, если известны: р — начальная стоимость; r(t) — эксплуатационные затраты на содержание оборудования возраста t лет в течение ближайшего года;
—ликвидная стоимость оборудования возраста t лет.
В задаче будем минимизировать затраты. Параметр состояния есть время:
. Процесс, является бесконечным, поэтому условные минимальные затраты
за все последующее время, начиная с k-гo года, зависят только от
и не зависят от k.
При рассмотрении бесконечного процесса необходимо ввести так называемый дисконтирующий множитель 0<α<1, позволяющий привести сумму в последующий момент времени к настоящему моменту с учетом ежегодного роста по правилу сложных процентов. Если имеется первоначальная сумма а руб., то через п лет она составит, при процентной ставке р%, сумму
руб. Наоборот, конечную сумму а руб. через п лет можно получить от первоначальной суммы
руб. Множитель
называется коэффициентом дисконтирования.
Учитывая этот множитель и повторяя весь ход рассуждений, изложенный в предыдущих задачах, получим следующие функциональные уравнения:
(6.9)
Поскольку конечного шага нет, обратный ход выпол-. нить нельзя, поэтому решим уравнения явно следующим образом.
Для 1-го шага имеем
, поэтому
Так как
то выражение, стоящее в первой строке, всегда не больше выражения во второй строке. Поэтому
, что соответствует сохранению оборудования.
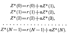
Пусть оптимальным является решение о сохранении для первых N шагов и о замене на (N+1)-м шаге. Задача состоит в определении этого числа N. Запишем последовательность рекуррентных соотношений для этих N шагов:
Исключив из этих равенств последовательно Z*(2),Z*(3), … получим
(6.10)
Но для (N+ 1)-го шага по предположению оптимальным является решение о замене оборудования, следовательно,
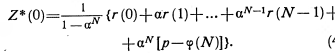
Подставляя значение Z*(N) в равенство (6.10) и разрешая полученное при этом уравнение относительно Z*(0), найдем
(6.11)
Величина Z*(0) равна необходимому минимуму затрат на весь процесс. Теперь, полагая последовательно N = 1, 2, 3, .... вычисляем значение Z*(0) и находим среди них наименьшее.
Заключение
В данной курсовой работе рассмотрены виды математических моделей, используемых в экономике и менеджменте, а также их классификация.
Особое внимание в курсовой работе уделено оптимизационному моделированию.
Изучен принцип построения моделей линейного программирования, также приведены модели следующих задач:
-
Задача о раскрое материалов;
-
Задача выбора оптимальной производственной программы предприятия;
-
Задача о диете;
-
Транспортная задача.
В работе представлены общие характеристики задач дискретного программирования, описан принцип оптимальности и уравнение Беллмана, приведено общее описание процесса моделирования.
Для построения моделей выбраны три задачи:
-
Задача оптимального распределения ресурсов;
-
Задача об оптимальном управлении запасами;
-
Задача о замене.
В свою очередь для каждой из задач построены различные модели динамического программирования. Для отдельных задач приведены числовые расчеты, в соответствии с построенными моделями.
Список литературы:
-
Вавилов В.А., Змеев О.А., Змеева Е.Е. Электронное пособие “Исследование операций”
-
Калихман И.Л., Войтенко М.А. “Динамическое программирование в примерах и задачах”, Москва ”Высшая школа”, 1979
-
Косоруков О.А., Мищенко А.В. “Исследование операций”, Москва, 2003
-
Материалы из сети Internet.














