182169 (629343), страница 7
Текст из файла (страница 7)
Будем решать задачу с помощью обратной вычислительной схемы, т. е. используя рекуррентные соотношения в виде
(5.12)
(5.13)
Переменные задачи должны удовлетворять условиям неотрицательности:
(5.14)
и дополнительным ограничениям для всех k, зависящих от варианта постановки задачи:
(5.15)
(5.15’)
III вариант: или (5.15), или (5.15').
Первые неравенства в (5.15) и (5.15') диктуются ограниченной емкостью склада, вторые — условием, согласно которому расход не может превышать наличные запасы. Для III варианта альтернативные условия означают, что если будет принято решение сначала пополнить запасы, а затем их расходовать, то должны выполняться условия (5.15); если же будет принят противоположный порядок, то должны выполняться условия (5.15').
Решение задач условной максимизации по двум переменным согласно рекуррентным соотношениям (5.12) и (5.13) в общем случае представляет собой сложную задачу, однако линейность функций
и
максимумы которых определяются на каждом шаге, а также ограничений, налагаемых на переменные, позволяет значительно упростить решение всех этих частных задач.
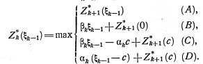
Рассмотрим подробнее решение задачи в I варианте постановки. Ограничения (5.14) и (5.15) определяют при данном значении параметра
область допустимых значений Хk и Ук в виде выпуклого четырехугольника ABCD, изображенную на рис. 6. Так как в этой области максимизируется линейная функция, то получается задача линейного программирования, оптимальное решение которой достигается, по крайней мере, в одной из вершин области. На рис. 6 находим координаты всех четырех вершин:
. Поэтому вместо нахождения максимума по соотношениям (3.12) и (3.13) при произвольных изменениях
достаточно вычислить значения выражений, содержащихся в фигурных скобках, во всех четырех вершинах и путем сравнения выбрать среди них наибольшее.
При этом для последнего (n-го) шага можно ограничиться выбором из двух альтернатив, так как значение
в точках А и D дает заведомо меньшее число, чем соответственно в точках В ч С.
Итак, для n-го шага получаем
(5.12’)
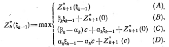
Для выполнения оптимизации на последующих шагах предварительно найдем из уравнения (5.11) значение
для каждой точки. Тогда получим:
в точке А;
в точке
в точке
в точке D. Вместо соотношения (5.13) получаем
(5.13’)
При выполнении практических расчетов оказывается достаточным не табулировать функции
Для всех значений
, а ограничиться вычислением этих функций лишь для крайних значений
т. е. для
В случае II варианта исходной постановки задачи получим область, изображенную на рис. 7. В новой области изменятся лишь координаты вершины С; находим
. Аналогично предыдущему получим следующие формулы для выполнения условной максимизации:
(5.12’’)
(5.13’’)
Наконец, при III варианте постановки задачи на каждом шаге мы должны выбрать наибольшее число по формулам (3.12'), (3.13') и сравнить его с наибольшим числом, найденным по формулам (3.12"), (3.13"). Сопоставив полученные таким образом два значения
выбираем из них наибольшее. Это и есть окончательное выражение для
Одновременно, в зависимости от того, к какому из вариантов относится найденный максимум, устанавливается выгодная на данном шаге очередность пополнения и расхода запасов.
Поскольку выражение (3.12") содержится среди альтернатив выбора по формуле (3.12'), для k-го шага достаточно производить выбор только по соотношению (3.12').
Аналогично, так как среди четырех альтернатив в формуле (3.13") только третья альтернатива отличается от выбираемых по формуле (3.13'), то достаточно производить выбор по формуле (3.13'), добавив пятую альтернативу.
2.2.6 Задача о замене
Одной из важных экономических проблем, с которыми приходится встречаться на практике, является определение оптимальной стратегии в замене старых станков, производственных зданий, агрегатов, машин и т. д., другими словами, старого оборудования — на новое.
Старение оборудования включает его физический и моральный износ, в результате чего растут производственные затраты по выпуску продукции на старом оборудовании, увеличиваются затраты на его ремонт и обслуживание, а вместе с тем снижаются производительность и так называемая ликвидная стоимость.
Наступает момент, когда старое оборудование более выгодно продать, заменить новым, чем эксплуатировать ценой больших затрат. При этом оборудование можно заменить либо новым оборудованием того же вида, либо новым, более совершенным в техническом отношении, с учетом технического прогресса.
Оптимальная стратегия замены оборудования состоит в определении оптимальных сроков замены. Критерием оптимальности при определении сроков замены может служить либо прибыль от эксплуатации оборудования, которую следует максимизировать, либо суммарные затраты на эксплуатацию в течение рассматриваемого промежутка времени, подлежащие минимизации. Известно, что при заданном плане выпуска продукции максимизация прибыли эквивалентна минимизации затрат. Практически удобнее пользоваться вторым критерием, вводя для учета снижения производительности условно приведенные затраты.
Условимся считать, что решения о замене оборудования принимаются периодически в начале каждого промежутка (года, месяца, недели и т. д.), на которые разбит плановый период. Предположим также, что оборудование может использоваться неограниченно долго, если тратить достаточные суммы на его ремонт.
Основной характеристикой оборудования является его возраст. От возраста оборудования зависят эксплуатационные расходы, затраты на производство, производительность и ликвидная стоимость. Эти показатели изменяются, если учитывать технический прогресс, не только при замене старого оборудования новым, с новыми технико-экономическими характеристиками, но и новым того же типа, еще не использованным. В последнем случае изменение вызвано моральным износом.
Метод ДП обеспечивает единый подход к решению всех видов задач о замене.
При составлении модели ДП мы рассматриваем процесс замены как n-шаговый, разбив весь плановый период на п промежутков. Так как в начале каждого из этих промежутков принимается решение либо о сохранении оборудования, либо о его замене, то управление на k-м шаге (k=l, ..., п) содержит всего лишь две альтернативные переменные. Обозначим через ис решение, состоящее в сохранении старого оборудования, а через и3 — решение, состоящее в замене старого оборудования новым. Функциональные уравнения, благодаря наличию двух альтернативных управлений на каждом шаге, содержат лишь две величины: одна выражает условную прибыль (условные затраты) при управлении uс, другая — тот же показатель при управлении из. Условная оптимизация на каждом шаге состоит в вычислении двух величин и в выборе из них наибольшей (наименьшей). Это значительно упрощает расчеты на стадии условной оптимизации и позволяет решать вручную задачи о замене с большим числом шагов.
Рассмотрим две модели ДП задачи о замене оборудования. В одной из них в качестве показателя эффективности выберем прибыль, которую следует максимизировать, в другой — суммарные затраты на эксплуатацию, которые следует минимизировать.
Задача 1. Определить оптимальные сроки замены оборудования в течение п лет, при которых прибыль от эксплуатации оборудования максимальна, если известны: р — начальная стоимость оборудования; f(t) —стоимость производимой продукции на оборудовании возраста t лет; r(t) —ежегодные затраты на эксплуатацию оборудования возраста t лет;
—ликвидная стоимость оборудования возраста t лет. .
Рассмотрим n-шаговый процесс, считая k-м шагом номер k-гo года от начала эксплуатации (k=l, 2, ..., п). Выше указывалось, что управление на k-м шаге выбирается из двух возможных решений: uс — сохранить и продолжать использование старого оборудования или и3 — заменить оборудование новым.
Будем считать, что в начале планового периода возраст оборудования равен t0. Состояние
-системы (оборудования) в начале k-ro шага характеризуется одним параметром
— возрастом оборудования. Для k-ro шага параметр состояния t может принимать значения 0,1, 2, ..., k—1, т. е. t≤k-1
Если к началу k-гo шага система находилась в состоянии
, то под влиянием управления ис в конце k-гo шага она перейдет в состояние
возраст оборудования увеличится на один год. Под влиянием управления и3, принятого на k-м шаге, система перейдет в состояние
(замену произвели в начале k-гo года; в конце k-го года возраст нового оборудования равен одному году).
Уравнение состояния (1.2) для данного процесса имеет вид
(6.1)
















