169518 (625342)
Текст из файла
Содержание
Введение
1. Идентификация выбросов технических систем
2. Идентификация энергетических воздействий технических систем
3. Идентификация аварийных ситуаций, возникающих при эксплуатации технических систем
Заключение
Список используемой литературы
Введение
Задачу идентификации негативного воздействия производства и технических средств на биосферу и техносферу, разработки и применения средств для снижения этого воздействия решает промышленная экология. Промышленная экология разрабатывает нормативные показатели экологичности предприятий, оборудования и транспорта, определяет порядок экологической экспертизы при подготовке новых: производств и при переходе на новые виды продукции.
Сохранение биосферы, обеспечение безопасности и здоровья человека - решение этих проблем должно быть целью специалиста в любой сфере деятельности при выполнении профессиональных обязанностей.
1. Идентификация выбросов технических систем
Выбросы промышленных объектов и технических систем при их работе в штатных режимах состоят:
- из отходящих (отработанных) газов, паров, капель жидкости и твердых частиц, сопровождающих работу технических объектов (например, выбросы цехов промышленных предприятий, отработанных газов двигателя внутреннего сгорания (ДВС), дымовых газов тепловых электрических станций (ТЭС) и т.п.);
- из веществ, поступающих в рабочее помещение или в систему вентиляции при проведении технологических операций;
- из утечек рабочих сред из технических систем при нарушении их герметичности как в рабочую зону цехов, так и на промышленные площадки.
Масса выбросов М, возникающих при проведении технологических процессов, обычно рассчитывается по формуле
М =mуд Пk (1 – n ),
где mуд – удельное выделение загрязняющего вещества на единицу характерного показателя П производственного процесса. Для расчета выбросов из плавильных агрегатов П – производительность плавильного агрегата, т/ч; для расчета выбросов при электродуговой сварке П – расход электродов, кг/ч; для расчета выбросов при резке металлов П – произведение длины реза на толщину разрезаемого металла, м2/ч; при окраске П – расход лакокрасочных материалов, кг/ч; k – поправочный коэффициент для учета особенностей технологического процесса; n – эффективность средств очистки выбросов в долях единицы. При их отсутствии n = 0.
Удельные выделения загрязняющих веществ (кг/т) при плавке чугуна в открытых чугунолитейных вагранках и электродуговых печах производительностью до 7 т/ч приведены ниже:
Плавильный агрегат Пыль Оксид Углеводороды Оксиды Диоксид
углеводорода роды азота серы
Открытая вагранка 19 200 2,4 0,014 1,54
Электродуговая 8,1 1,5 _ 0,29 _
Для процесса ручной дуговой сварки сталей электродами с покрытием mуд на 1 кг электродов составляют: 40 г пыли, 2 г фтороводорода, 1,5 оксидов углерода и азота.
При сжигании топлива (уголь, мазут, природный газ) в котлах ТЭС образуются нетоксичные диоксид углерода и водяной пар. Кроме них в атмосферу выбрасываются и вредные вещества, такие как оксид углерода, оксиды серы и азота, летучая зола. Для ТЭС мощностью 1000 МВт характерны выбросы углекислого газа -560; паров воды - 105; диоксида серы -14; оксидов азота - 4 и золы 0,85 т/ч при условии, что эффективность очистки дымовых газов от летучей золы составляет 0,99. Вблизи ТЭС, выбрасывающих такое количество загрязнителей, образуются зоны с повышенными над допустимыми концентрациями вредных веществ, протяженностью до 5 км и более.
Рассеивание отходящих газов ТЭС в атмосфере обеспечивается их выбросом через высокие трубы и снижением концентрации вредных веществ в приземном слое атмосферы за счет турбулентной диффузии. Распределение концентраций вредных веществ в приземном слое от организованного высокого источника выбросов.
Распределение концентрации вредных веществ в атмосфере у земной поверхности от организованного высокого источника выбросов:
А - зона неорганизованного загрязнения; Б - зона переброса факела; В - зона задымления; Г - зона постепенного снижения уровня загрязнения
Максимальная концентрация примесей в приземном слое прямо пропорциональна производительности источника и обратно пропорциональна квадрату высоты трубы. Повышение температуры и скорости выхода газов из устья трубы приводит к увеличению температурного и инерционного подъема струи, улучшению рассеивания вредных выбросов и снижению их концентраций в приземном слое атмосферы. В районе источника выброса образуется несколько характерных зон: зона В – переброска факела, включающая зону неорганизованного загрязнения А, зона В – задымления с максимальным содержанием вредных веществ и зона Г, характеризующаяся постепенным снижением концентраций примесей по мере удаления от источника. Зона задымления наиболее опасна и должна исключаться из района жилой застройки.
Основным документом, регламентирующим расчет рассеивания и определения при-земных концентраций выбросов ТЭС и промышленных предприятий, является ОНД-86. В соответствии с этой методикой максимальная приземная концентрация, создаваемая от одиночного источника, может быть рассчитана по формуле
где А – коэффициент, зависящий от температурного градиента атмосферы и определяющий условия вертикального и горизонтального рассеивания вредных примесей (он зависит от климатической зоны, например для центральной части европейской территории России он равен 120); М – масса выброса вредного вещества, г/с; F-коэффициент, учитывающий скорость оседания взвешенных частиц выброса в атмосфере (для газов равен 1), для пыли при эффективности очистки газоочистной установки более 90 % -2, от 75 до 90 % -2,5, менее 75% - 3); т и п - коэффициенты, учитывающие условия выхода газовоздушной смеси из устья трубы (определяются по графическим зависимостям, приведенным в ОНД-86); n - коэффициент учета рельефа местности (для ровного рельефа - перепад высот не более 50 м на 1 км, равен 1); Н - высота трубы, м; Q – расход отходящих газов, м3/с;
- разность температур выбрасываемой газовоздушной смеси и окружающего атмосферного воздуха.
В
приземном слое от источника загрязнений по каждой вредной примеси должна создаваться такая концентрация, чтобы при сложении с фоновой концентрацией cф. этой же примеси, уже имеющей место в атмосфере (за счет других источников), не превы-шалась предельно допустимая максимально разовая концентрация, т. е.сmax + cф < ПДКмр.
Автомобильный транспорт при сжигании бензина или дизельного топлива выбрасывает отработавшие газы, состоящие из нетоксичных паров воды, диоксида углерода, азота, кислорода и водорода, а также из токсичных веществ: оксида углерода, оксидов азота, углеводородов, альдегидов, сажи, бенз(а)пирена и др. Состав отработавших газов ДВС зависит от режима работы двигателя.
Отработавшие газы ДВС в городах являются основными загрязнителями атмосферного воздуха. Поданным обследований концентрации оксида углерода СО, мг/м3, в воздухе автомагистралей (на краю проезжей части) можно найти по формуле:
Ссо=1,53N 0,368,
где N – интенсивность движения автомобилей, авт/ч.
Для транспортных магистралей характерны следующие концентрации токсичных веществ, мг/м3, в атмосферном воздухе:
Категория улицы Оксид Углеводороды Оксиды азота углерода
Магистральные ……………………........... 16,5...28,2 1,8…3,2 6.8….8,0
Общегородские непрерывного движения....54,3...66,0 6,0…7,7 12,6…15,5
Концентрации оксида углерода и других токсичных компонентов отработавших газов автомобильных двигателей достигают наибольших значений на перекрестках. В этом случае:
ссо(пер) = сс о (1 + N2 /N1),
где ссо(пер) – концентрация СО на перекрестке; ссо - то же на главной магистрали с интенсивностью движения N1; N2 — интенсивность движения на второстепенной магистрали.
При эксплуатации систем с повышенным давлением возможны утечки газов, паров и жидкостей через уплотнения разъемных соединений, трубопроводов, затворы трубопроводной арматуры (клапаны, вентили) и др.
Утечки газов Qг (см3/мин) через затворы определяются по формуле
где k - коэффициент, зависящий от класса герметичности, k = 1...10; п - коэффициент, зависящий от вида арматуры, для вентилей n =75 • 10-4, для затворов п = 2,6 -10-3; р1 - давление среды в трубопроводе, МПа; Dу — диаметр условного прохода, мм.
Объемы утечек газов значительно превышают утечки жидкостей Qж, обычно
2. Идентификация энергетических воздействий технических систем
При идентификации энергетических воздействий следует исходить из условия, что наибольшая интенсивность потока энергии всегда существует непосредственно около источника. Интенсивность потока энергии в среде обитания уменьшается обратно пропорционально площади, на которую распределяется энергия, т.е. величине r2, где r - расстояние от источника излучения до рассматриваемой (расчетной) точки в среде обитания. Если источник, излучающий энергию, находится на земной поверхности, то излучение идет в полусферическое пространство (S = 2пr2), если же источник расположен высоко над земной поверхностью или под ней, то излучаемая энергия рассеивается по сферической поверхности (S = 4пr2).
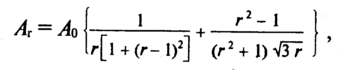
Расчет амплитуд вертикальных (горизонтальных) колебаний грунта при вертикальных (горизонтальных) вибрациях фундамента машин с динамическими нагрузками производят по формуле
где Аr — амплитуда колебаний грунта в точках, расположенных на расстоянии г от оси фундамента, являющегося источником волн в грунте; Ao - амплитуда свободных или вынужденных колебаний при
- приведенный радиус подошвы фундамента (основания). Частоту волн, распространяющихся в грунте, принимают равной частоте колебаний фундамента машины.
Протяженность зоны воздействия вибраций определяется величиной их затухания в грунте, которая, как правило, составляет 1 дБ/м (в водонасыщенных грунтах оно несколько выше). Чаще всего на расстоянии 50...60 м от магистралей рельсового транспорта вибрации затухают. Зоны действия вибраций около строительных площадок, кузнечно-прессовых цехов, оснащенных молотами с облегченными фундаментами, значительно больше и могут иметь радиус до 150... 200 м. Значительно выше вибрации в жилых зданиях могут создавать расположенные в них технические устройства (насосы, лифты, трансформаторы и т. п.), а также трассы метрополитена неглубокого залегания. 3 Интенсивность звука I (Вт/м2) в расчетной точке окружающей среды при излучении шума источником со звуковой мощностью Р (Вт) рассчитывают по формуле
где Ф – фактор направленности излучения шума; 5 – площадь, на которую распределяется звуковая энергия, м2; k – коэффициент, учитывающий уменьшение интенсивности звука на пути его распространения за счет затухания в воздухе и на различных препятствиях; k = 1 при отсутствии препятствий и при расстояниях до 50 м.
Значительные уровни звука и зоны воздействия шума возникают при эксплуатации средств транспорта:
Шумовая характеристика железнодорожного транспорта оценивается величиной уровня шума Iэкв (дБА), определяемой по формуле
где vr – скорость состава, м/с; vо = 1 м/с.
Расчетные размеры санитарно-защитных зон (СЗЗ) (под СЗЗ понимается зона, в которой превышаются установленные нормативами уровни вредного фактора) по фактору шума для многих промышленных предприятий существенно превышают установленные санитарными нормами размеры СЗЗ по фактору вредных выбросов, например:
Предприятие, завод Нормативные размеры СЗЗ Расчётные размеры СЗЗ по
по фактору вредных выбросов, фактору шума, м
не менее, м
Характеристики
Тип файла документ
Документы такого типа открываются такими программами, как Microsoft Office Word на компьютерах Windows, Apple Pages на компьютерах Mac, Open Office - бесплатная альтернатива на различных платформах, в том числе Linux. Наиболее простым и современным решением будут Google документы, так как открываются онлайн без скачивания прямо в браузере на любой платформе. Существуют российские качественные аналоги, например от Яндекса.
Будьте внимательны на мобильных устройствах, так как там используются упрощённый функционал даже в официальном приложении от Microsoft, поэтому для просмотра скачивайте PDF-версию. А если нужно редактировать файл, то используйте оригинальный файл.
Файлы такого типа обычно разбиты на страницы, а текст может быть форматированным (жирный, курсив, выбор шрифта, таблицы и т.п.), а также в него можно добавлять изображения. Формат идеально подходит для рефератов, докладов и РПЗ курсовых проектов, которые необходимо распечатать. Кстати перед печатью также сохраняйте файл в PDF, так как принтер может начудить со шрифтами.












