168692 (625175)
Текст из файла
«Высокоэффективная жидкостная хроматография загрязнителей природных и сточных вод»
Содержание
Введение
Глава 1. Основные понятия и классификация методов жидкостной хроматографии
1.1 Аппаратура для жидкостной хроматографии
Глава 2. Сущность ВЭЖХ
2.1 Применение
Глава 3. Примеры использования ВЭЖХ в анализе объектов окружающей среды
Глава 4. Аппаратура для ВЭЖХ
Литература
Приложение
Введение
Хроматографические методы часто оказываются незаменимыми для идентификации и количественного определения органических веществ со сходной структурой. При этом наиболее широко используемыми для рутинных анализов загрязнителей окружающей среды являются газовая и высокоэффективная жидкостная хроматография. Газохроматографический анализ органических загрязнителей в питьевой и сточных водах сначала основывался на использовании насадочных колонок, позднее распространение получили и кварцевые капиллярные колонки. Внутренний диаметр капиллярных колонок составляет обычно 0,20-0,75 мм, длина - 30-105 м. Оптимальные результаты при анализе загрязнителей в воде достигаются чаще всего при использовании капиллярных колонок с различной толщиной пленки из метилфенилсиликонов с содержанием фенильных групп 5 и 50%. Уязвимым местом хроматографических методик с использованием капиллярных колонок часто становится система ввода пробы. Системы ввода пробы можно подразделить на две группы: универсальные и селективные. К универсальным относятся системы ввода с делением и без деления потока, “холодный” ввод в колонку и испарение при программировании температуры. При селективном вводе используют продувку с промежуточным улавливанием в ловушке, парофазный анализ и т.д. При использовании универсальных систем ввода в колонку поступает вся проба полностью, при селективной инжекции вводится только определенная фракция. Результаты, получаемые при селективном вводе, являются существенно более точными, поскольку попавшая в колонку фракция содержит только летучие вещества, и техника при этом может быть полностью автоматизирована.
Газохроматографические детекторы, используемые в мониторинге загрязнителей, часто подразделяют на универсальные, откликающиеся на каждый компонент в подвижной фазе, и селективные, реагирующие на присутствие в подвижной фазе определенной группы веществ со сходными химическими характеристиками. К универсальным относятся пламенно-ионизационный, атомно-эмиссионный, масс-спектрометрический детекторы и инфракрасная спектрометрия. Селективными детекторами, используемыми в анализе воды, являются электронно-захватный (селективен к веществам, содержащим атомы галогенов), термоионный (селективен к азот- и фосфорсодержащим соединениям), фотоионизационный (селективен к ароматическим углеводородам), детектор по электролитической проводимости (селективен к соединениям, содержащим атомы галогенов, серы и азота). Минимально детектируемые количества веществ - от нанограммов до пикограммов в секунду.
Высокоэффективная жидкостная хроматография (ВЭЖХ) является идеальным методом для определения большого числа термически неустойчивых соединений, которые не могут быть проанализированы с помощью газовой хроматографии. Объектами анализа методом жидкостной хроматографии в настоящее время часто становятся современные агрохимикаты, в число которых входят метилкарбонаты и фосфорорганические инсектициды, другие нелетучие вещества. Высокоэффективная жидкостная хроматография получает все большее распространение среди других методов, применяемых в мониторинге окружающей среды, еще и потому, что имеет блестящие перспективы в плане автоматизации пробоподготовки.
ГЛАВА 1. ОСНОВНЫЕ ПОНЯТИЯ И КЛАССИФИКАЦИЯ МЕТОДОВ ЖИДКОСТНОЙ ХРОМАТОГРАФИИ
Жидкостную хроматографию подразделяют на несколько классов в зависимости от типа носителя неподвижной фазы. Простое аппаратурное оформление бумажной и тонкослойной хроматографий обусловили широкое использование этих методов в аналитической практике. Однако, большие возможности колоночной жидкостной хроматографии стимулировали совершенствование оборудования для этого классического метода и привели к быстрому внедрению ВЭЖХ. Пропускание элюента через колонку под высоким давлением позволило резко увеличить скорость анализа и существенно повысить эффективность разделения за счет использования мелкодисперсного сорбента. Метод ВЭЖХ в настоящее время позволяет выделять, количественно и качественно анализировать сложные смеси органических соединений.
По механизму взаимодействия разделяемого вещества (элюата) с неподвижной фазой различают адсорбционную, распределительную, ионообменную, эксклюзионную, ион-парную, лигандообменную и аффинную хроматографии.
Адсорбционная хроматография. Разделение методом адсорбционной хроматографии осуществляется в результате взаимодействия разделяемого вещества с адсорбентом, таким как оксид алюминия или силикагель, имеющими на поверхности активные полярные центры. Растворитель (элюент) - неполярная жидкость. Механизм сорбции состоит в специфическом взаимодействии между полярной поверхностью сорбента и полярными (либо способными поляризоваться) участками молекул анализируемого компонента (рис. 1).
Рис. 1. Адсорбционная жидкостная хроматография.
Распределительная хроматография. При распределительном варианте жидкостной хроматографии разделение смеси веществ осуществляется за счет различия их коэффициентов распределения между двумя несмешивающимися фазами - элюентом (подвижной фазой) и фазой, находящейся на сорбенте (неподвижная фаза).
При нормально-фазовом варианте распределительной жидкостной хроматографии используются неполярный элюент и полярные группы, привитые к поверхности сорбента (чаще всего силикагеля). В качестве модификаторов поверхности силикагеля (привитых фаз) используются замещенные алкилхлорсиланы, содержащие полярные группы, такие как нитрильная, аминогруппа и т. д. (рис. 2). Применение привитых фаз позволяет тонко управлять сорбционными свойствами поверхности неподвижной фазы и добиваться высокой эффективности разделения.
Рис. 2. Распределительная хроматография с привитой фазой (нормально-фазный вариант).
Обращенно-фазовая жидкостная хроматография основана на распределении компонентов смеси между полярным элюентом и неполярными группами (длинными алкильными цепочками), привитыми к поверхности сорбента (рис. 3).
Рис. 3. Распределительная хроматография с привитой фазой (обращенно-фазный вариант).
Менее широко используется вариант жидкостной хроматографии с нанесенными фазами, когда жидкая неподвижная фаза наносится на неподвижный носитель.
Эксклюзивная (гельпроникающая) хроматография представляет собой вариант жидкостной хроматографии, в котором разделение веществ происходит за счет распределения молекул между растворителем, находящимся в порах сорбента и растворителем, протекающим между его частицами.
Аффинная хроматография основана на специфических взаимодействиях разделяемых белков (антител) с привитыми на поверхности сорбента (синтетической смолы) веществами (антигенов), избирательно образующими с белками комплексы (коньюгаты).
Ионообменная, ион-парная, лигандообменная хроматографии применяются в основном в неорганическом анализе.
Основные параметры хроматографического разделения.
Основными параметрами хроматографического разделения являются удерживаемый объем и время удерживания компонента смеси (рис. 4).
Время удерживания tR - это время, прошедшее от момента ввода пробы в колонку до выхода максимума соответствующего пика. Умножив время удерживания на объемную скорость элюента F
, получим удерживаемый объем VR:
VR = tR . F
;
Исправленое время удерживания - время, прошедшее с момента появления максимума пика несорбируемого компонента до пика соответствующего соединения:
tR' = tR - t0;
Приведенный или исправленный объем удерживания - это объем удерживания с поправкой на мертвый объем колонки V0, т. е. на объем удерживания несорбируемого компонента:
VR' = VR - V0;
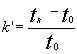
Характеристикой удерживания является также коэффициент емкости k', определяемый как отношение массы вещества в неподвижной фазе к массе вещества в подвижной фазе: k' = mн / mп;
Величину k' легко определить по хроматограмме:
Важнейшими параметрами хроматографического разделения являются его эффективность и селективность.
Эффективность колонки, измеряемая высотой теоретических тарелок (ВЭТТ) и обратно пропорциональная их числу (N) тем выше, чем уже пик вещества, выходящего при том же времени удерживания. Значение эффективности может быть вычислено по хроматограмме по следующей формуле:
N = 5.54 . (tR /
1/2)2,
где tR - время удерживания,
w 1/2 - ширина пика на половине высоты
Зная число теоретических тарелок, приходящееся на колонку, длину колонки L и средний диаметр зерна сорбента dc, легко получить значения высоты, эквивалентной теоретической тарелке (ВЭТТ), и приведенной высоты (ПВЭТТ):
ВЭТТ = L/N ПВЭТТ = ВЭТТ/dc
Эти характеристики позволяют сравнивать эффективности колонок различных типов, оценивать качество сорбента и качество заполнения колонок.
Селективность разделения двух веществ
определяется по уравнению:
,
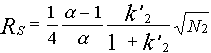
При рассмотрении разделения смеси двух компонентов важным параметром служит также степень разделения RS:
;
Пики считаются разрешенными, если величина RS больше или равна 1.5.
Основные хроматографические параметры связывает следующее уравнение для разрешения:
;
Факторами, определяющими селективность разделения, являются:
1) химическая природа сорбента;
2) состав растворителя и его модификаторов;
3) химическая структура и свойства компонентов разделяемой смеси;
4) температура колонки
1.1 Аппаратура для жидкостной хроматографии
В современной жидкостной хроматографии используют приборы различной степени сложности - от наиболее простых систем, до хроматографов высокого класса, снабженных различными дополнительными устройствами.
На рис. 4. представлена блок-схема жидкостного хроматографа, содержащая минимально необходимый набор составных частей, в том или ином виде, присутствующих в любой хроматографической системе.
Рис. 4. Блок-схема жидкостного хроматографа.
Насос (2) предназначен для создания постоянного потока растворителя. Его конструкция определяется, прежде всего, рабочим давлением в системе. Для работы в диапазоне 10-500 МПа используются насосы плунжерного (шприцевого), либо пистонного типов. Недостатком первых является необходимость периодических остановок для заполнения элюентом, а вторых - большая сложность конструкции и, как следствие, высокая цена. Для простых систем с невысокими рабочими давлениями 1-5 МПа с успехом применяют недорогие перистальтические насосы, но так как при этом трудно добиться постоянства давления и скорости потока, их использование ограничено препаративными задачами.
Инжектор (3) обеспечивает ввод пробы смеси разделяемых компонентов в колонку с достаточно высокой воспроизводимостью. Простые системы ввода пробы - "stop-flow" требуют остановки насоса и, поэтому, менее удобны, чем петлевые дозаторы, разработанные фирмой Reodyne.
Колонки (4) для ВЭЖХ представляют собой толстостенные трубки из нержавеющей стали, способные выдержать высокое давление. Большую роль играет плотность и равномерность набивки колонки сорбентом. Для жидкостной хроматографии низкого давления с успехом используют толстостенные стеклянные колонки. Постоянство температуры обеспечивается термостатом (5).
Характеристики
Тип файла документ
Документы такого типа открываются такими программами, как Microsoft Office Word на компьютерах Windows, Apple Pages на компьютерах Mac, Open Office - бесплатная альтернатива на различных платформах, в том числе Linux. Наиболее простым и современным решением будут Google документы, так как открываются онлайн без скачивания прямо в браузере на любой платформе. Существуют российские качественные аналоги, например от Яндекса.
Будьте внимательны на мобильных устройствах, так как там используются упрощённый функционал даже в официальном приложении от Microsoft, поэтому для просмотра скачивайте PDF-версию. А если нужно редактировать файл, то используйте оригинальный файл.
Файлы такого типа обычно разбиты на страницы, а текст может быть форматированным (жирный, курсив, выбор шрифта, таблицы и т.п.), а также в него можно добавлять изображения. Формат идеально подходит для рефератов, докладов и РПЗ курсовых проектов, которые необходимо распечатать. Кстати перед печатью также сохраняйте файл в PDF, так как принтер может начудить со шрифтами.















