166727 (625093), страница 2
Текст из файла (страница 2)
Наибольшей полноте дегидрирования углеводородов способствуют высокие температуры и низкие давления водорода. При прочих равных условиях степень дегидрирования циклогексана существенно меньше, чем метилциклогексана. Так, при 425 °С и парциальном давлении водорода 2 МПа молярное содержание бензола в равновесной смеси углеводородов равна 68%, а толуола 81%, рисунок 2.
Рисунок 2 − Зависимость содержания бензола и толуола в равновесной смеси с циклогексаном от температуры и парциальном давления водорода
Пользуясь кривыми на рисунке 2, можно определить степень превращения шестичленных нафтенов в условиях каталитического риформинга. Обычно процесс проводят в реакционном блоке, состоящем из трех-четырех реакторов, работающих в условиях, близких к адиабатическим. При наиболее широко применяемых параметрах (температура на входе в реакторы около 500°С, давление от 1,5 до 3 МПа, молярное отношение водород: сырье = 6-7), вследствие эндотермичности процесса температура газосырьевой смеси понижается в первом по ходу сырья реакторе на 40-60°С, т. е. до 460-440°С. Степень дегидрирования шестичленных нафтенов в первом по ходу сырья реакторе может достигнуть или превысить 90%.
2.2 Кинетика реакции
Установлено, что при дегидрировании циклогексана и метилциклогексана на монометаллических платиновых катализаторах порядок реакции по углеводороду - нулевой. Адсорбционные коэффициенты исходных нафтенов и образующихся ароматических углеводородов одинаковы. Исследование кинетики дегидрирования метилциклогексана на алюмоплатиновом катализаторе (Pt/Al2O3) при 315-372°С показало, что не только изменение парциального давления углеводорода, но и парциального давления водорода (от 0,11 до 0,41 МПа) не оказывает существенного влияния на скорость реакции.
Иные результаты были получены при дегидрировании циклогексана на алюмоплатинорениевых катализаторах (Pt-Re/Al2O3). Независимо от того, пропускали ли циклогексан над катализатором в смеси с водородом или инертным газом (Ni, He, Аr), реакция протекала по первому порядку относительно циклогексана.
Скорость превращения циклогексана на алюмоплатиновых катализаторах пропорциональна концентрационному множителю, тождественному молярной доле реагирующего вещества в смеси углеводородов.
Селективность. Дегидрирование шестичленных нафтенов в ароматические углеводороды на бифункциональных платиновых катализаторах может сопровождаться другими реакциями, в частности изомеризацией в пятичленные нафтены и гидрогенолизом. Однако скорости дегидрирования шестнчленных нафтенов в условиях каталитического риформинга намного больше скоростей протекания других реакций. Следствием является близкая к 100% селективность ароматизации шестичленных нафтенов.
Механизм реакции. Реакции дегидрирования циклогексана и его гомологов, приводящие к образованию ароматических углеводородов, протекают на металлическом компоненте катализатора риформинга. Адсорбция циклогексана на металлических участках катализатора может сопровождаться либо одновременной диссоциацией шести атомов водорода, либо последовательным быстрым их отщеплением.
Механизм реакции дегидрирования циклогексана включает последовательное отщепление двух атомов водорода с образованием адсорбированного циклогексена. Предполагается, что эта стадия реакции - лимитирующая. Далее происходит отщепление одного за другим остальных четырех атомов водорода, в результате чего образуется бензол.
Все стадии реакции дегидрирования циклогексана на алюмоплатиновых катализаторах протекают быстро, а потому трудно обнаружить в газовой фазе циклогексен и циклогексадиен, а тем более доказать, что они являются промежуточными продуктами реакции. Чтобы обнаружить промежуточные продукты реакции, была поставлена серия опытов, в которых степень превращения циклогексана изменялась в пределах от 32,0 до 2,9% увеличением объемной скорости подачи углеводород от 1000 до 18 000 ч-1. Продукты реакции при малых степенях превращения циклогексана, наряду с бензолом, содержали заметные количества циклогексена.
Исходя из полученных результатов сделан вывод о том, что дегидрирование циклогексана в бензол протекает через промежуточную стадию образования циклогексена, формула 11
Отношение циклогексен/бензол значительно возрастает при частичной дезактивации алюмоплатинового катализатора в результате отравления серой. Такой эффект, вероятно, объясняется тем, что при отравлении катализатора серой скорость дегидрирования циклогексана в циклогексен снижается значительно меньше, чем скорость дегидрирования циклогексена в бензол.
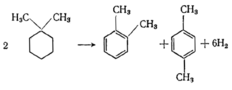
Алкилциклогексаны с блокированными положениями, благодаря наличию в них четвертичного атома углерода (гем-диалкилы), подвергаются дегидрированию на платиновых катализаторах при более высоких температурах, при которых ароматизация сопровождается перегруппировками. Так, при дегидрировании 1,1-диметилциклогексана и подобных ему соединений происходит элиминирование метальной труппы, в результате чего образуются толуол и метан, формула 12
С другой стороны, происходит миграция метильных групп, что приводит к образованию изомеров ксилола.
При осуществлении реакции на бифункциональном платиновом катализаторе 1,1-диметилциклогексан вероятно сперва подвергается изомеризации, после чего соответствующие изомеры диметилциклогексана превращаются в ксилолы.
2.3 Реакции изомеризации
При изомеризации на бифункциональных металлических катализаторах, в том числе на платиновых, шестичленные нафтены могут подвергаться следующим превращениям:
-
изомеризации шестичленного цикла в пятичленный
-
перемещению алкильных заместителей в кольце
-
изменению числа алкильных заместителей в цикле
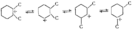
Реакции изомеризации нафтенов протекают по карбкатионному механизму. Промежуточный продукт реакции - циклоолефин, образующийся в результате дегидрирования нафтена на металлическом участке катализатора. Циклоолефин мигрирует на кислотный участок носителя, где превращается в карбкатион. Реакции карбкатиона ведут к образованию изомерного циклоолефина, в результате гидрирования которого на металлическом участке получается углеводород, изомерный исходному. Так, схему изомеризации циклогексана в метилциклопентан можно представить как показано на рисунке 3 (М -металлические участки катализатора, А -кислотные)
Рисунок 3 − Схема изомеризации циклогексана в метилциклопентан
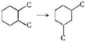
Третичный карбкатион наиболее устойчив и не всегда способен к перегруппировкам. Поэтому протеканию перегруппировок может способствовать образование менее устойчивого, но более реакционноспособного вторичного карбкатиона. Исходя из этого, перемещение алкильных заместителей в кольце цикдогексана можно представить в следующем виде как показано на рисунке 4
(1) (2) (3) (4)
Рисунок 4 − Перемещение алкильных заместителей в кольце цикдогексана
Реакции типа (1) и (2) протекают значительно легче, чем реакции (3), ведущие к увеличению числа алкильных заместителей в цикле. Так, скорость изомеризации этилциклогексана меньше по сравнению со скоростью изомеризации других шестичленных нафтенов состава C8. Косвенным подтверждением служат результаты, полученные при каталитическом риформинге бензиновой фракции, состоящей из углеводородов С8 и обогащенной этилциклогексаном. Относительные количества ксилолов в катализате отвечали равновесию. Что же касается этилбензола, то выход его соответствовал содержанию этилцикдогексана в сырье и намного превышал равновесное содержание в смеси ароматических углеводородов состава С8.
Предложена схема изомеризации этилциклогексана в диметилциклогексаны, в соответствии с которой циклопентановые углеводороды являются промежуточными продуктами реакции, формула 14
Были изучены превращения метилциклогексана на платиновом катализаторе в условиях, при которых углеводород подвергался как изомеризации, так и дегидрированию (452°С, 4,9 МПа, подача углеводорода 2 ч-1, отношение водород углеводород = 6,6). Выход, в моль (на 100 моль метилциклогексана) составил
Таблица 4 − Превращения метилциклогексана на платиновом катализаторе
| Углеводороды С1—С6 | 6 |
| Алкилциклопентаны (1,1-, 1,2- и 1,3 диметилциклопентаны + этилциклопентан) | 31 |
| Метилциклогексан (непревращенный) | 6 |
| Толуол | 56 |
| Другие углеводороды | 1 |
Таким образом, количество алкилциклопентанов в продуктах реакции в 5 раз превышало количество метилциклогексана.
Равновесие для реакции изомеризации циклогексана при 460-500 °С целиком сдвинуто в сторону метилциклопентана (содержание его в равновесной смеси с циклогексаном 93-94%). С другой стороны, при этих же температурах и парциальном давлении водорода до 2 МПа равновесие для реакции дегидрирования циклогексана также сильно смещено в сторону бензола. В этих условиях избирательность превращения циклогексана и других шестичленных нафтенов предопределяется относительными скоростями их дегидрирования и изомеризации, В соответствии с изложенным выше механизмом этих реакций, схему превращения циклогексана в бензол и метилциклопентан можно представить в следующем виде, как показано на рисунке 5
Рисунок 5 − схема превращения циклогексана в бензол
При чрезмерной кислотности катализатора скорости образования бензола и метилциклопентана становятся соизмеримыми, что должно привести к снижению селективности ароматизации циклогексана. Иллюстрацией подобного эффекта могут служить данные, полученные при каталитическом риформинге смеси этилциклогексана и диметилциклогексанов на двух типах платиновых катализаторов (495°С, 2МПа), таблица 5
Таблица 5 − каталитический риформинг смеси этилциклогексана и диметилциклогексанов на двух типах платиновых катализаторов
| Степень превращения, % | Селективность ароматизации, % | |
| Стандартный катализатор риформинга | 97 | 97 |
| Катализатор с высокой кислотностью | 94 | 65 |
При близкой степени превращения сырья селективность его ароматизации оказалась значительно ниже при осуществлении процесса на платиновом катализаторе с высоким уровнем кислотности.
Обычно скорость ароматизации циклогексана значительно больше скорости его изомеризации на алюмоплатиновом катализаторе (приблизительно на два порядка).
Исходя из относительных скоростей дегидрирования и изомеризации циклогексана можно было ожидать, что наибольшая селективность его превращения в бензол будет достигнута при больших объемных скоростях пропускания углеводорода.
В промышленных условиях в первом по ходу сырья реакторе обычно поддерживают объемную скорость подачи сырья в пределах 10-15 ч-1, что способствует селективному превращению шестичленных нафтенов в ароматические углеводороды.
3 Превращения пятичленных нафтенов
Превращения пятичленных нафтенов представляют значительный интерес не только потому, что сырье каталитического риформинга содержит такие углеводороды. Весьма существенно то, что пятичленные нафтены играют важную роль в качестве промежуточных продуктов реакции при дегидроциклизации парафинов в ароматические углеводороды.
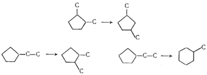
В условиях каталитического риформинга пятичленные нафтены подвергаются изомеризации и реакциям, приводящим к раскрытию циклопентанового кольца. Реакции изомеризации могут сопровождаться либо перегруппировкой алкильных заместителей, либо приводить к превращению пятичленных нафтенов в шестичленные, рисунок 6
Рисунок 6 – схема реакции изомеризации
При осуществлении этой последней реакции на бифункциональном катализаторе риформинга, образующиеся при расширении цикла шестичленные нафтены подвергаются быстрому дегидрированию в ароматические углеводороды. Возможность достижения высокого выхода ароматических углеводородов зависит от селективности изомеризации пятичленных нафтенов в шестичленные. Протекающие параллельно реакции раскрытия пятичленного кольца ухудшают селективность реакции изомеризации и ведут к образованию парафинов















