166727 (625093)
Текст из файла
Размещено на http://www.allbest.ru/
Введение
Бензины являются одним из основных видов горючего для двигателей современной техники. Автомобильные и мотоциклетные, лодочные и авиационные поршневые двигатели потребляют бензины. В настоящее время производство бензинов является одним из главных в нефтеперерабатывающей промышленности и в значительной мере определяющим развитие этой отрасли.
Развитие производства бензинов связано со стремлением улучшить основное эксплуатационное свойство топлива - детонационную стойкость бензина, оцениваемую октановым числом.
Каталитический риформинг бензинов является важнейшим процессом современной нефтепереработки и нефтехимии. Он служит для одновременного получения высокооктанового базового компонента автомобильных бензинов, ароматических углеводородов - сырья для нефтехимического синтеза - и водородосодержащего газа - технического водорода, используемого в гидрогенизационных процессах нефтепереработки. Каталитический риформинг является в настоящее время наиболее распространенным методом каталитического облагораживания прямогонных бензинов. Установки каталитического риформинга имеются практически на всех отечественных и зарубежных нефтеперерабатывающих заводах.
1 Основные реакции каталитического риформинга
Бензиновые фракции разных нефтей отличаются по содержанию нормальных и разветвленных парафинов, пяти- и шестичленных нафтенов, а также ароматических углеводородов. Однако распределение углеводородов в каждой из этих групп в достаточной мере постоянно. За исключением бензинов нафтеновых нефтей, производство которых весьма ограниченно, среди парафинов значительно преобладают углеводороды нормального строения и монометилзамещенные структуры. Относительное содержание более разветвленных изопарафинов невелико. Нафтены представлены преимущественно гомологами циклопентана и циклогексаиа с одной или несколькими замещающими алкильными группами. Такой состав, при содержании 50-70% парафинов и 5-15% ароматических углеводородов в бензинах, обусловливает их низкую детонационную стойкость, показанную в таблице 1. Октановые числа бензиновых фракций, подвергаемых каталитическому риформингу, обычно не превышают 50.
Таблица 1 − Октановые числа углеводородов
| Углеводород | Октановые числа | Углеводород | Октановые числа | ||
| м. м. | н. м. | м. м. | н. м. | ||
| н-Пентан | 61,9 | 61,7 | 4-Метилгептан | 33,0 | 26,7 |
| Изопентан | 90,3 | 92,3 | 2,4-Диметилгексан | 69,9 | 65,2 |
| н-Гексан | 26,0 | 24,8 | 2,2,4-триметилпентан | 100,0 | 100,0 |
| 2-Метилпентан | 73,5 | 73,4 | Метилциклопентан | 80,0 | 91,3 |
| 3-Метилпентан | 74,3 | 74,5 | Циклогексан | 77,2 | 83,0 |
| 2,3-Диметалбутан | 94,3 | 101,7 | Этилциклопентан | 61,2 | 67,2 |
| н-Гептан | 0,0 | 0,0 | Диметилциклопентаны | 76,9 | 84,2 |
| 2-Метилгексан | 46,4 | 42,4 | Метилциклогексан | 71.1 | 74.8 |
| 3-Метилгексан | 55,0 | 52,0 | Этилциклогексан | 40.8 | 46.5 |
| 2,З-Диметилпентан | 88,5 | 91,1 | 1,2-Диметилциклогексан | 78,6 | 86,9 |
| 2,4-Диметилпентан | 83,8 | 83,1 | Бензол | — | 115 |
| н-Октан | -17 | -19 | Толуол | 103,5 | 120 |
| 2-Метилгептан | 23,8 | 21,7 | п-Ксилол | 109,6 | 116,4 |
Каталитический риформинг - сложный химический процесс, включающий разнообразные реакции, которые позволяют коренным образом преобразовать углеводородный состав бензиновых фракций и тем самым значительно улучшить их антидетонационные свойства.
Основой процесса служат три типа реакций. Наиболее важны перечисленные ниже реакции, приводящие к образованию ароматических углеводородов.
Дегидрирование шестичленных нафтенов, формула 1
(1)
Дегидроизомеризация пятичленных нафтенов, формула 2
Ароматизация (дегидроциклизация) парафинов, формула 3
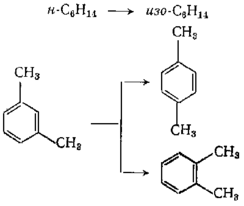
Изомеризация углеводородов - другой тип реакций, характерных для каталитического риформинга. Наряду с изомеризацией пятичленных и шестичленных нафтенов, изомеризации подвергаются как парафины, так и ароматические углеводороды.
Рисунок 1 – изомеризация парафинов и ароматических углеводородов.
Существенную роль в процессе играют также реакции гидрокрекинга. Гидрокрекинг парафинов, содержащихся, в бензиновых фракциях, сопровождается газообразованием, формула 4
С8Н18 + Н2 → С5Н12 + С3Н8 (4)
что ухудшает селективность процесса. С другой стороны, аналогичная реакция гидродеалкидирования алкилбензолов позволяет увеличить выход низкомолекулярных гомологов бензола, которые представляют наибольший практический интерес, формула 5
С6Н5С3Н7 + Н2 → С6Н6 + С3Н8 (5)
Протекают также реакции, приводящие к раскрытию циклопентанового кольца и к превращению пятичленных нафтенов в парафины, формула 6
Элементарные стадии ряда приведенных реакций предопределяются бифункциональным характером катализаторов рифрминга. С одной стороны, они содержат один металл (платину) или несколько металлов (например, платину и рений, или платину и иридий), которые катализируют реакции гидрирования и дегидрирования. С другой стороны, носителем служит промотированный галогенами оксид алюминия, обладающий кислыми свойствами и катализирующий реакции, свойственные катализаторам кислотного типа. Поэтому разные элементарные стадии реакции могут протекать на различных участках поверхности катализатора: металлических или кислотных. В качестве примера можно сослаться на реакцию изомеризации нормального парафина. Сперва такой углеводород дегидрируется до нормального олефина на металлическом участке, далее нормальный олефин изомеризуется на кислотном участке в изоолефин, который затем подвергается гидрированию на металлическом участке, превращаясь в изопарафин. Не только в этой, но и в ряде других реакций каталитического риформинга, важнейшие элементарные стадии - гидрирование и дегидрирование углеводородов.
Сырье каталитического риформинга обычно подвергают гидрогенизационной очистке, после чего в нем остается крайне незначительное количество примесей, в частности серо- и азотсодержащих соединений, являющихся каталитическими ядами. В условиях каталитического риформинга они подвергаются гидрогенолизу с отщеплением сероводорода, формула 7, и аммиака, формула 8
RSR + 2Н2 → 2RH + H2S (7),
RNHR + 2H2 → 2RH + NH3 (8)
2 Превращения шестичленных нафтенов
2.1 Реакции дегидрирования
Дегидрирование шестичленных нафтенов - основное направление их превращения в условиях каталитического риформинга. Скорости дегидрирования шестичленных нафтенов на платиновых катализаторах риформинга весьма велики и намного превышают скорости их дегидрирования на других металлических и оксидных катализаторах, показанную в таблице 2.
Таблица 2 − Сравнительная активность катализаторов в реакции дегидрирования циклогексана.
| Катализатор | * r, моль/(г с) | Катализатор | * r, моль/(г с) |
| 34% Сr2O3/Al2O3 | 0,5 | 1% Pd/Al2O3 | 200 |
| 10% MoO3/Al2O3 | 3 | 5% Ni/SiO2 | 320 |
| 5% Ni/Al2O3 | 13 | 1% Rh/Al2O3 | 890 |
| 5% Co/Al2O3 | 13 | 0.5 Pt/Al2O3 | 1400-4000 |
Достаточно отметить, что скорость дегидрирования циклогексана на платиновых катализаторах в 500-1300 раз больше скорости той же реакции на алюмомолибденовом катализаторе, который сравнительно недавно еще применялся в процессе риформинга бензиновых фракций. При таких скоростях реакции степень дегидрирования шестичленных нафтенов может в значительной мере предопределяться условиями химического равновесия для той реакции.
Химическое равновесие. Реакции дегидрирования шестичленных нафтенов в ароматические углеводороды обратимы, формула 9
(9)
Зная константу равновесия Кр, можно вычислить равновесные концентрации реагирующих веществ, формула 10
Ниже приведены логарифмы констант равновесия для реакций дегидрирования циклогексана и некоторых его гомологов при температурах от 400 до 550 °С, таблица 3
Таблица 3 – Логарифмы констант равновесия для реакций дегидрирования циклогексана и некоторых его гомологов
| Углеводороды | 408 °С | 450 °С | 500 °С | 550 °С |
| Циклогексан | 3,70 | 4,88 | 5,91 | 6.82 |
| Метилциклогексан | 4,19 | 5,36 | 6,33 | 7,28 |
| Этилциклогексан | 4,23 | 5.36 | 6,34 | - |
| н – Пропилциклогексан | 4,26 | 5,39 | 6,37 | - |
| 1, 2, 4 – Триметилциклогексан | 5,11 | - | - | - |
Константы равновесия для реакций дегидрирования гомологов циклогексана с одной алкильной группой (метилциклогексана, этилциклогексана, н-пропилциклогексана), при одинаковой температуре, значительно больше соответствующей константы для реакции дегидрирования циклогексана. Дальнейший рост константы равновесия идет при наличии нескольких замещающих алкильных групп в молекуле циклогексана (1,2,4-триметилциклогексан). Из этих данных можно заключить, что равновесие для реакций дегидрирования гомологов циклогексана сдвинуто в сторону ароматических углеводородов в большей степени, чем для циклогексана. Следовательно, условия, обеспечивающие полноту дегидрирования цикдогексана, в полной мере обеспечат также возможность исчерпывающего дегидрирования его гомологов.
Характеристики
Тип файла документ
Документы такого типа открываются такими программами, как Microsoft Office Word на компьютерах Windows, Apple Pages на компьютерах Mac, Open Office - бесплатная альтернатива на различных платформах, в том числе Linux. Наиболее простым и современным решением будут Google документы, так как открываются онлайн без скачивания прямо в браузере на любой платформе. Существуют российские качественные аналоги, например от Яндекса.
Будьте внимательны на мобильных устройствах, так как там используются упрощённый функционал даже в официальном приложении от Microsoft, поэтому для просмотра скачивайте PDF-версию. А если нужно редактировать файл, то используйте оригинальный файл.
Файлы такого типа обычно разбиты на страницы, а текст может быть форматированным (жирный, курсив, выбор шрифта, таблицы и т.п.), а также в него можно добавлять изображения. Формат идеально подходит для рефератов, докладов и РПЗ курсовых проектов, которые необходимо распечатать. Кстати перед печатью также сохраняйте файл в PDF, так как принтер может начудить со шрифтами.
















