166677 (625080)
Текст из файла
Калининградский Государственный Технический университет
Курсовая работа
По дисциплине: Биохимия
По теме: Специфичность амилазы
2010г.
СОДЕРЖАНИЕ
ВВЕДЕНИЕ
1. ЛИТЕРАТУРНЫЙ ОБЗОР
1.1 КЛАССИФИКАЦИЯ ФЕРМЕНТОВ
1.2. АМИЛАЗЫ СТРОЕНИЕ, ФУНКЦИИ
1.3 СПЕЦИФИЧНОСТЬ АМИЛАЗЫ
1.4. ВЛИЯНИЕ ИНГИБИТОРОВ И АКТИВАТОРОВ НА АКТИВНОСТЬ АМИЛАЗЫ
2. ЭКСПЕРЕМЕНТАЛЬНАЯ ЧАСТЬ
3. ЗАКЛЮЧЕНИЕ
4. СПИСОК ИСПОЛЬЗУЕМОЙ ЛИТЕРАТУРЫ
ВВЕДЕНИЕ
Одним из фундаментальных понятий, как биологии, так и химии является понятие «фермент».
Изучение ферментов имеет большое значение для любой области химической, пищевой и фармацевтической промышленности, занятых производством биологически активных веществ для медицины и народного хозяйства. Поэтому одним из ключевых понятий общей биохимии является понятие «фермент».
Актуальность работы: амилазы широко используются в пищевой промышленности. Так амилазы используются в хлебопечении и технологиях брожения. Также амилаза играет значительную роль в расщеплении крахмала в организме человека. Поэтому понимание действия амилазы важно для оптимизации промышленного производства и изучения обмена веществ в организме человека.
Цель: данной работы рассмотреть специфичность действия амилазы.
В рамках достижения поставленной цели необходимо рассмотреть следующие задачи:
1. Изучить классификацию ферментов.
2. Разобрать строение и функции фермента амилаза.
3. Изучить специфические действия фермента амилаза.
4.Рассмотреть влияние ингибиторов и активаторов на активность амилазы.
1. ЛИТЕРАТУРНЫЙ ОБЗОР
1.1 КЛАССИФИКАЦИЯ ФЕРМЕНТОВ
Современная классификация ферментов разработана в 1961 г. Комиссией по ферментам Международного биохимического союза. В основу классификации положен тип катализируемой реакции, которая является специфичным для каждого фермента.
Согласно этой классификации все ферменты делят на 6 главных классов:
-
Оксидоредуктазы – катализируют окислительно-восстановительные реакции;
-
Трансферазы – катализируют реакции межмолекулярного переноса групп атомов и радикалов;
-
Гидролазы – катализируют реакции расщепления при участии воды;
-
Лиазы – катализируют реакции внутримолекулярного негидролитического расщепления, с образованием двойной связи или присоединения по двойной связи;
-
Изомеразы – катализируют реакции изомеризации;
-
Лигазы (синтетазы) – катализируют реакции синтеза с затратой энергии.
Оксидоредуктазы.
К классу оксидоредуктаз относят ферменты, катализирующие реакции окисления-восстановления. Общая схема может быть представлена следующим образом:
Окисление протекает как процесс отнятия атомов Н (электроном от субстрата, а восстановление – как присоединение атомов Н (электронов) к акцептору. Если обозначить рецептор буквой А, а субстрат В, то уравнение реакции окисления–восстановления при участии оксидоредуктаз примет такой вид:
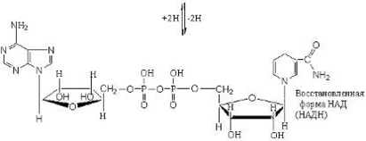
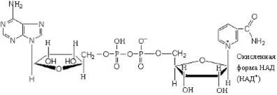
В природных объектах обнаружено около 500 индивидуальных оксидоредуктаз. Наиболее распространены оксидоредуктазы, содержащие в качестве активной группы никотинамидадениндинуклеотид, или НАДН+. Их принято называть дегидрогеназами.
Число известных процессов окисления спиртовых групп до карбонильных с помощью никотинамидных коферментов превышает две сотни. Например, важный промежуточный этап окисления глюкозы – это окисление глицеральдегид-3-фосфата, который протекает по реакции и приводит к образованию смешанного ангидрида 3-фосфоглицериновой кислоты и ортофосфорной кислоты – 1,3-дифосфоглицерата.
Такой характер окисления имеет важное биоэнергетическое значение, поскольку остаток фосфорной кислоты, образующий ангидридную связь, может быть перенесен от 1,3-дифосфоглицерата на АДФ с образованием АТФ. Фермент, катализирующий эту реакцию, называют глицеральдегид-3- фосфатдегидрогеназой.
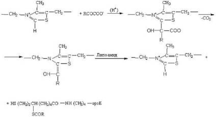
Особого рассмотрения заслуживает подподкласс оксидоредуктаз, к которым относится небольшое число исключительно важных ферментов, катализирующих окислительное декарбоксилирование кетокислот остатком липоамида, связанного амидной связью с через аминогруппу остатка лизина с апоферментом трансацетилазой:
Кофактором этих ферментов является тиаминпирофосфат:
Схема превращений, происходящих в активном центре фермента участием реакционноспособного карбаниона тиаминпирофосфата можно представить в виде
Образовавшийся дигидролипоамид окисляется с помощью НАД+ третьим ферментом, участвующим в окислительном декарбокиировании, – дигидролипоамид дегидрогеназой, катализирующей реакцию
Ферменты, катализирующие превращения с участием молекулярного кислорода, разделаются на три основные группы: оксидазы, монооксигеназы и диоксигеназы. К оксидазам относятся ферменты, катализирующие процессы, в результате которых О2 восстанавливается до Н2О2 или до двух молекул воды. Примером подоюных ферментов могут служить глюкозооксидаза и цитохром с оксидаза, катализирующая окисление ферроцитохрома с до феррицитохрома по реакции:
Цитохром с Fe (II) + 4H+ + O2 > 4 Цитохром с Fe (III) + 2H2O
К моноксигеназам относят ферменты, катализирующие окисление органических соединений, приводящее к включению одного из атомов кислорода молекулы О2 в молекулы этих соединений, и восстановление второго атома кислорода до воды. Суммарное уравнение реакции можно записать в виде
К монооксигеназам относится важная группа ферментов, известных под общим названием цитохромы Р450.
Диоксигеназы катализируют превращения, в ходе которых оба атома молекулы кислорода О2 включаются в состав окисляемого субстрата. Например, деструкция триптофана начинается с реакции образования формилкенуренина, в состав которого входят оба атома кислорода молекулы О2. Фермент, катализирующий эту реакцию, является гемопротеидом и называется триптофан 2,3-диоксигеназой.
Фермент, катализирующий диспропорционирование свободного радикала НO2, образующегося в некоторых реакциях с участием О2 и являющегося очень сильным окислителем, называют супероксидисмутазой. Он катализирует реакцию
HO2 + HO2 > H2O2 +O2
Фермент является металлопротеидом и в зависимости от источника содержит Cu2+, Zn2+, Mn2+, или Fe2+.
Трансферазы.
В этот класс входят ферменты, ускоряющие реакции переноса функциональных групп и молекулярных остатков от одного соединения к другому. В зависимости от характера переносимых группировок различают фосфотрансферазы, аминотрансферазы, гликозилтрансферазы, ацилтрансферазы, трансферазы, переносящие одноуглеродные остатки (метилтрансферазы, формилтрансферазы), и др.
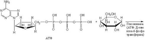
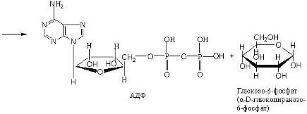
Фосфотрансферазы. Сюда относят ферменты, ускоряющие реакцию переноса остатков фосфорной кислоты. К фосфотрансферазам относится, например, гексокиназа – фермент, ускоряющий перенос остатков фосфорной кислоты от молекулы АТФ к глюкозе (с этой реакции обычно начинается преобразование глюкозы):
Аминотрансферазы. Эти ферменты ускоряют реакцию переаминирования аминокислот с кетокислотами и очень важны для обеспечения биосинтеза аминокислот. Они имеют следующее строение:
Пиридоксальфермент катализирует реакцию переаминирования. В результате серии реакций, включающих в себя непременное образование фермент-субстратных комплексов, аспаргиновая кислота переходит в щавелево-уксусную кислоту, а кетоглутаровая – в глутаминовую. Это выражается следующим суммарным уравнением:
Гликозилтрансферазы.
Эти ферменты ускоряют реакции переноса гликозильных остатков из молекул фосфорных эфиров или иных соединений к молекулам моносахаридов, полисахаридов или иных веществ, обеспечивая главным образом, реакции синтеза и распада олиго- и полисахаридов в животном и растительном мире. Ниже приведено уравнение реакции распада сахарозы при участии сахароза-6-глюкозилтрансферазы, или сахарозофосфорилазы:
Гидролазы.
К классу гидролаз относят ферменты, ускоряющие реакции расщепления (иногда синтеза) органических соединений при участии воды. Они делятся на следующие подклассы:
Эстеразы катализируют реакции гидролиза сложных эфиров, спиртов с органическими и неорганическими кислотами. Важнейшими подподклассами эстераз являются гидролазы эфиров карбоновых кислот и фосфатазы. Представитель первого подподкласса – это липаза.
Липаза ускоряет гидролиз внешних, то есть, сложноэфирных связей в молекулах триглицеридов (жиров):
Фосфатазы катализируют гидролиз фосфорных эфиров. Особенно широко распространены фосфатазы, действующие на сложные эфиры фосфорной кислоты и углеводов, например глюкозо-1-фосфатаза:
Гликозидазы. Эти ферменты ускоряют реакцию гидролиза гликозидов.
Пептид-гидролазы. Ферменты этого подкласса ускоряют гидролиз пептидных связей в белках и пептидах, при определенных условиях также синтез пептидных связей. Химизм процесса гидролиза белков и пептидов при участии пептид-гидролаз можно выразить следующей схемой:
Амидазы ускоряют гидролиз амидов кислот. Из них важную роль в биохимических процессах в организме играют уреаза, аспарагиназа и глутаминаза.
Аспарагиназа и глутаминаза укоряют гидролиз амидов дикарбоновых кислот – аспарагиновой и глутаминовой, например:
К гидролазам, кроме амидаз, относится аргиназа. При ее посредстве аминокислота аргинин гидролизуется на орнитин и мочевину:
Лиазы.
К классу лиаз относят ферменты, ускоряющие негидролитические реакции распада органических соединений по связям С–С; С–N; C–O и т.д. При этом замыкаются двойные связи и выделяются такие простейшие продукты, как СО2, Н2О, NH3 и т.п.
Одну из важнейших групп ферментов этого класса являются углерод-углерод-лиазы (С–С-лиазы). Среди них особое значение имеют карбокси-лиазы (декарбоксилазы) и альдегид-лиазы.
В природе широко распространены декарбоксилазы кетокислот и аминокислот, катализирующие реакции по следующим схемам:
Характеристики
Тип файла документ
Документы такого типа открываются такими программами, как Microsoft Office Word на компьютерах Windows, Apple Pages на компьютерах Mac, Open Office - бесплатная альтернатива на различных платформах, в том числе Linux. Наиболее простым и современным решением будут Google документы, так как открываются онлайн без скачивания прямо в браузере на любой платформе. Существуют российские качественные аналоги, например от Яндекса.
Будьте внимательны на мобильных устройствах, так как там используются упрощённый функционал даже в официальном приложении от Microsoft, поэтому для просмотра скачивайте PDF-версию. А если нужно редактировать файл, то используйте оригинальный файл.
Файлы такого типа обычно разбиты на страницы, а текст может быть форматированным (жирный, курсив, выбор шрифта, таблицы и т.п.), а также в него можно добавлять изображения. Формат идеально подходит для рефератов, докладов и РПЗ курсовых проектов, которые необходимо распечатать. Кстати перед печатью также сохраняйте файл в PDF, так как принтер может начудить со шрифтами.















