166673 (625078)
Текст из файла
Введение
На сегодняшний момент в различных областях науки и промышленности ведутся активные исследования, направленные на создание ресурсо- и энергосберегающих экологически безопасных технологий. В этой связи приобретает большое значение микроволновое облучение (МВО), так как оно позволяет существенно интенсифицировать различные процессы, в том числе не поддающиеся оптимизации традиционными методами.
Начало использования МВО в качестве эффективного источника тепловой энергии относится к концу 1940-х годов, а уже в 1970-1980 годах его стали активно применять в неорганической и аналитической химии при выполнении анализов различных объектов, для сушки и дегидратации препаратов, при синтезе различных неорганических материалов, при изучении полиморфных превращений и т.д. Толчком к использованию МВО в органическом синтезе послужили работы Гедью и Жигуэра, в которых было обнаружено значительное сокращение времени проведения некоторых классических химических реакций в условиях МВО по сравнению со временем их проведения в условиях традиционного нагревания. К другим преимуществам МВО относятся экономия электроэнергии или других энергоресурсов; возможность проведения реакций в условиях повышенного давления при температурах, намного превышающих температуру кипения, растворителя, или в отсутствие растворителя; возможность получения соединений, недоступных или труднодоступных при использовании других методов активации.
Химики-синтетики быстро оценили преимущества применения МВО для активации органических реакций. Следует отметить, что распространению данного метода способствовала простота эксперимента, так как для его осуществления требовалась лишь обычная коммерческая СВЧ-печь. Однако использование таких печей для проведения микроволновых (МВ) химических реакций имеет ряд недостатков:
-
неприспособленность печей к проведению химических экспериментов;
-
неоднородность микроволнового поля в реакционном сосуде;
-
отсутствие контроля за изменением температуры и давления реакционной смеси во время эксперимента;
-
непостоянная мощность МВО.
Все это приводит к низкой воспроизводимости результатов, а иногда к выбросам и воспламенению растворителей. В настоящее время налажено производство специальных химических микроволновых реакторов, в которых обеспечивается равномерное распределение электромагнитного поля в реакционном объеме и имеется возможность регулирования мощности излучения с помощью компьютера. Такие реакторы снабжены магнитными мешалками и датчиками для измерения температуры и давления. Цена на такие печи на порядок выше, чем на бытовые, поэтому и сегодня ~ 70% экспериментальных работ выполняется в обычных СВЧ-печах.
Несмотря на обилие работ, в которых описаны практические аспекты применения МВО, к настоящему моменту теория микроволнового органического синтеза разработана недостаточно. Предполагается, что влияние МВО на протекание химических процессов складывается из термических эффектов (скорость нагрева, супернагрев или «горячие пятна»), селективного поглощения излучения полярными веществами и специфического микроволнового эффекта (МВЭ), связанного с «нетермическим» действием СВЧ-излучения.
Термин МВЭ впервые был введен Лупи и Перье и сегодня широко используется в публикациях, связанных с микроволновым органическим синтезом. Основываясь на хорошо известном постулате Хэммонда, Лупи и Перье предположили, что в реакциях с низкой энергией активации переходное состояние близко к основному. В этом случае различие в полярности переходного и основного состояний невелико и микроволновый эффект незначителен. В противоположность этому, в реакциях с высокой энергией активации переходное состояние ближе к продуктам реакции. В этом случае полярность в ходе реакции изменяется значительно и МВЭ усиливается.
При использовании полярных апротонных растворителей, интенсивно поглощающих МВ-излучение, энергия к реагентам поступает главным образом от растворителя (косвенным путем), поэтому можно ожидать, что МВЭ будет маскироваться абсорбцией микроволн молекулами растворителя. Вследствие этого разница в скоростях реакций при МВО и конвекционном нагреве уменьшается.
При применении неполярных растворителей (ССl4, алканы, бензол и т.д.), которые не взаимодействуют с микроволнами, происходит прямое взаимодействие МВ-излучения с реагентами, и МВЭ наблюдается «в чистом виде».
В наибольшей степени МВЭ проявляется в реакциях, проводимых в отсутствие растворителя, когда взаимодействию микроволн с реагентами не препятствуют никакие посторонние факторы, и абсорбция микроволнового излучения определяется только природой исходных соединений.
К сожалению, в подавляющем большинстве работ по микроволновому органическому синтезу данные о влиянии мощности МВО, интенсивности перемешивания и типа реакционной среды на селективность реакций и выход продуктов носят фрагментарный характер [1].
В настоящее время интерес к данной тематике неуклонно увеличивается. За рубежом популярность микроволновой активации органических синтезов выросла настолько, что микроволновая техника теперь составляет основу большого числа сложных синтезов и даже входит в студенческий практикум [2].
Теоретические основы микроволнового нагрева
В электромагнитном спектре микроволновый диапазон занимает область между инфракрасными и радиоволнами и соответствует длинам волн от 1 см до 1 м (соответственно частотам от 30000 до 300 МГц). Воздействие микроволнового излучения на многие жидкие и твердые вещества, состоящие из полярных молекул и ионов, приводит к их разогреванию. Причина этого явления заключается во взаимодействии электрической составляющей электромагнитного поля с молекулами облучаемого вещества. Это взаимодействие содержит в себе несколько физических эффектов, из которых к выделению тепла приводят главным образом два — ориентационная поляризация и ионная проводимость. Как известно, при помещении полярного вещества в электрическое поле его молекулы стремятся ориентироваться таким образом, чтобы векторы их дипольных моментов были антипараллельны силовым линиям поля. Воздействие на вещество электромагнитной волны микроволнового диапазона приводит к непрерывной переориентации полярных молекул (поскольку вектор электрической составляющей излучения непрерывно изменяет направление), при этом вследствие межмолекулярных взаимодействий выделяется тепло. Кроме ориентационной поляризации электрическое поле способно вызывать в жидких средах движение ионов. Сопротивление среды потоку ионов приводит к тепловыделению. При этом, чем выше концентрация и подвижность ионов, тем интенсивнее нагрев. Способность материала превращать электромагнитную энергию в тепло характеризуется тангенсом угла диэлектрических потерь tg α и вычисляется по следующей формуле: tg α=е"/е'. Здесь е" — коэффициент диэлектрических потерь — характеризует эффективность, с которой энергия электромагнитного поля превращается в тепло; е'- диэлектрическая проницаемость [4]. Значения этих величин зависят от природы и состояния вещества, частоты электромагнитного поля и температуры. Обычно с увеличением частоты е' уменьшается, а е" проходит через максимум. Величина tg α имеет максимальные значения в микроволновом диапазоне электромагнитного излучения. Количество тепла (Вт/см3), выделяемое единицей объема вещества в электромагнитном поле за единицу времени, можно рассчитать по приведенной формуле: Q = 0.555fе'*tgα*E2*10-12. Здесь f — частота излучения, Гц; Е — напряженность электрической составляющей электромагнитного поля, В/см [4]. Из последнего выражения видно, что мощность, выделяющаяся в материале, зависит только от электрических характеристик материала и параметров поля и не зависит от теплопроводности материала. Эта особенность является существенным преимуществом микроволнового нагрева, позволяющим значительно интенсифицировать процесс нагрева материала по сравнению с любым другим традиционным видом нагрева, где главную роль в скорости разогрева играет теплопроводность. В результате взаимодействия излучения с веществом его интенсивность по мере прохождения сквозь вещество уменьшается по экспоненте. Расстояние от поверхности материала, на котором плотность потока энергии уменьшается в е раз по сравнению с ее значением на поверхности, называется глубиной проникновения.
Из-за уменьшения интенсивности излучения экспоненциально падает и тепловая мощность, высвобождаемая в единице объема материала. Естественно поэтому ожидать уменьшения температуры от поверхности к центру объема материала. Это происходит в случае, когда значение глубины проникновения много меньше толщины разогреваемого объекта. В обратном случае, когда глубина проникновения сопоставима или превышает размеры объекта, имеет место обратный, или инверсионный, температурный профиль, т.е. температура внутри материала выше, чем на поверхности. Объясняется это тепловым излучением с поверхности и конвекционным охлаждением внешних слоев материала окружающим воздухом. Из вышесказанного следует, что микроволновый нагрев имеет совершенно иную природу, чем конвекционный. В случае конвекционного нагрева происходит диффузионный перенос тепла от теплоносителя к нагреваемому веществу. При микроволновом нагреве возрастание внутренней энергии вещества происходит вследствие диссипации непосредственно в самом веществе некоторой части поглощенной электромагнитной энергии. Из этого вытекают следующие важные преимущества и особенности микроволнового нагрева:
-
нагрев происходит по всему объему материала, при этом теплопроводность материала не играет роли;
-
изменение температуры нагреваемого материала происходит безынерционно в соответствии с изменением подводимой мощности;
-
возможность динамичного регулирования температуры при проведении эксперимента;
-
возможность подъема температуры материала до заданных значений за очень короткое время;
-
отсутствие вещества-теплоносителя упрощает проведение эксперимента, исключает возможность перегревов и пригорания материала [2].
Оборудование для микроволнового нагрева
Для проведения экспериментов применяются либо модифицированные бытовые микроволновые печи, либо специальные микроволновые установки, ориентированные на проведение подобных исследований. Обычно мощность таких печей находится в пределах 600—1000 Вт, частота вырабатываемого излучения 2450 МГц. Емкость с реагентами помещается в камеру печи и через специальные отверстия в стенках камеры подсоединяется к вспомогательной аппаратуре (холодильник, перемешивающее устройство и т. п.), контролирующим и регулирующим устройствам. Иногда в камеру помещается змеевик, через который насосом прокачивается реакционная масса. Принцип работы микроволновой печи заключается в следующем: излучение, вырабатываемое магнетроном — генератором микроволнового излучения, пройдя по волноводу, попадает в камеру, где поглощается реагентами.
Посуда, используемая в микроволновых экспериментах, должна быть выполнена из материалов, пропускающих микроволны практически без ослабления, — стекла, кварца, тефлона. Очевидно, непригодны такие материалы, которые отражают или, наоборот, хорошо поглощают микроволны (металл, некоторые полимеры). Для работы при повышенном давлении в лаборатории используют тефлоновые автоклавы или запаянные стеклянные ампулы, а при обычных условиях вполне пригодна обычная химическая посуда. Для измерения температуры в условиях микроволнового нагрева обычно используют следующие средства.
-
Термометры с неметаллическими и не взаимодействующими с микроволнами наполнителями. Вполне пригодны, например, керосиновые термометры (0—200°С). С помощью газовых термометров кроме измерения можно осуществить регулирование температуры по способу обратной связи.
-
Оптические и волоконно-оптические пирометры — наиболее совершенный и самый дорогой способ контроля и регулирования температуры.
Традиционные сродства измерения, в которых, как правило, присутствуют металлические компоненты — ртутные термометры, термосопротивления, термопары, — не пригодны для микроволновых экспериментов. Вообще, в этих экспериментах следует избегать применения металлических предметов, так как они искажают картину распределения электромагнитного поля в реакционной камере [2].
Образование новых С=С и С–С связей в условиях микроволнового облучения
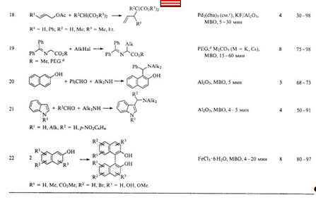
Для образования двойной углерод-углеродной связи используют альдольно-кротоновую конденсацию или родственные ей реакции (примеры №№ 1-7, табл. 2); конденсацию нитрометана и его производных с 5-нитро-6-хлорметилимидазо-тиазолом (№ 8), бензальдегидом и его производными (№ 9); реакцию Виттига (№№ 10-12); реакции элиминирования (№ 13). В микроволновых условиях конденсация хлорметилимидазотиазола с производными нитрометана идет в 240 раз быстрее, чем при термической активации (см. табл. 2).
Введение в органическую молекулу двойной связи по Виттигу в условиях МВО (примеры №№ 10-12) проходит с небольшим ускорением по сравнению с термической реакцией, причем использование привитых на подложку реагентов не изменяет время проведения реакции.
В табл. 2 приведены также примеры образования новой С–С-связи в условиях МВО (примеры №№ 14-22). Для этого использовали реакции аллильного замещения, С-алкилирования, С-аминоалкилирования, окислительного сочетания. Здесь уместно остановиться на примере асимметрического аллильного алкилирования метил-(Е)-3-фенилаллилкарбоната (пример № 17), в котором изучено влияние природы катализатора (ср. с примером № 15) и растворителя, мощности излучения.
Таблица 2. Образование новых С=С- и С–С-связей в условиях микроволнового облучения.
Получение полимерных мaтeриaлoв и изделий отверждением термореактивных композиций под действием электрических полей
При разработке высокопроизводительных технологических процессов производства полимерных материалов из термореактивных композиций возникает проблема выбора метода и соответствующего оборудования для отверждения и формования изделий. В качестве альтернативного традиционным методам нагрева и отверждения может быть использован метод отверждения под действием электрических полей высокой частоты [6].
Метод высокочастотного нагрева полимерных материалов основан на том, что полярные группы и сегменты молекул диэлектрического материала, помещенного в переменное электрическое поле, ориентируются вместе с изменением его полярности. Другие группы и молекулы, а также тепловое движение препятствуют ориентации. Энергия, которая затрачивается на преодоление препятствий, рассеивается в материале и нагревает его.
Интенсивность нагрева повышается с увеличением частоты колебаний и напряженности электрического поля. Преимущество высокочастотного нагрева состоит в том, что прогрев происходит во всем объеме одновременно, а степень нагрева может регулироваться с высокой точностью [6].
Электромагнитные колебания, которые на практике применяются для нагрева и отверждения термореактивных композиций подразделяются на два основные диапазона: токи высокой частоты (ТВЧ) и сверхвысокой частоты (СВЧ) или микроволновое излучение (МВИ). В диапазоне ТВЧ используются частоты 1-100 МГц, а в диапазоне МВИ частоты 915-2450 МГц.
В настоящее время уже накоплены существенные теоретические и практические результаты использования электромагнитных излучений в различных технологических процессах получения полимерных материалов. Однако, несмотря на перспективность данного метода его применение, как правило, ограничивается предварительным нагревом материалов и не получило еще достаточно широкого распространения в процессах переработки термореактивных композиций и получения готовых изделий.
В научно-технической литературе представлены достаточно глубокие исследования особенностей процессов отверждения эпоксидных композиций под действием МВИ. Наиболее серьезные работы проведены с использованием в качестве сшивающих агентов 4,4' -диаминодифенилметана (ДДМ), 4,4' -диаминодифенилсульфона (ДДС), дициандиамида (ДЦДА), м-фенилендиамина (МФДА) и 4,4' -диамино- 3,3' -диметилдициклогексилметана [6] и т. д.
Характеристики
Тип файла документ
Документы такого типа открываются такими программами, как Microsoft Office Word на компьютерах Windows, Apple Pages на компьютерах Mac, Open Office - бесплатная альтернатива на различных платформах, в том числе Linux. Наиболее простым и современным решением будут Google документы, так как открываются онлайн без скачивания прямо в браузере на любой платформе. Существуют российские качественные аналоги, например от Яндекса.
Будьте внимательны на мобильных устройствах, так как там используются упрощённый функционал даже в официальном приложении от Microsoft, поэтому для просмотра скачивайте PDF-версию. А если нужно редактировать файл, то используйте оригинальный файл.
Файлы такого типа обычно разбиты на страницы, а текст может быть форматированным (жирный, курсив, выбор шрифта, таблицы и т.п.), а также в него можно добавлять изображения. Формат идеально подходит для рефератов, докладов и РПЗ курсовых проектов, которые необходимо распечатать. Кстати перед печатью также сохраняйте файл в PDF, так как принтер может начудить со шрифтами.















