166557 (625049)
Текст из файла
ТУРБИДИМЕТРИЧЕСКИЙ И НЕФЕЛОМЕТРИЧЕСКИЙ МЕТОДЫ АНАЛИЗА ОБЪЕКТОВ ОКРУЖАЮЩЕЙ СРЕДЫ
Введение
В аналитической химии часто приходится сталкиваться с определением малых количеств (следов) веществ. Например, содержание примесей в чистых металлах исчисляется тысячными долями процента. Содержание такого количества вещества невозможно определить химическими методами, в таких случаях приходится использовать оптические методы анализа. Наибольшее распространение имеет абсорбционный анализ, который может выполняться спектрофотомерией, фотоколориметрией и колориметрией.
К оптическим методам относятся турбодиметрия и нефелометрия — анализ основан на поглощении и рассеянии лучистой энергии взвешенными частицами определяемого вещества, а также флуорометрия — основан на измерении вторичного излучения, возникающего при взаимодействии лучистой энергии с анализируемым соединением, и др.
Моя курсовая работа посвящена теоретическим основам турбидиметрии и нефелометрии и их практическому применению в анализе объектов окружающей среды.
Глава 1. НЕФЕЛОМЕТРИЯ И ТУРБИДИМЕТРИЯ
Нефелометрический и турбидиметрический методы применяются для анализа суспензий, эмульсий, различных взвесей и других мутных сред. Интенсивность пучка света, проходящего через такую среду, уменьшается за счет рассеивания и поглощения света взвешенными частицами.
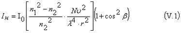
Нефелометрический метод определения концентрации основан на измерении интенсивности света, рассеянного взвешенными частицами. Интенсивность рассеянного света подчиняется закону Релея:
где Iн и I0 - интенсивности рассеянного и падающего света; n1 и n2 - коэффициенты преломления частиц и среды; N - общее количество светорассеивающих частиц; х - объем одной частицы; л - длина волны падающего света; r - расстояние до приемника рассеянного света; в - угол между падающим и рассеянным светом. В условиях нефелометрического определения ряд величин остается постоянным и уравнение (V.1) переходит в
Множитель 1/ л4 указывает на быстрое возрастание интенсивности рассеянного света с уменьшением длины волны падающего света. Так как красный свет рассеивается меньше, чем любой другой при прочих равных условиях, различные сигнальные огни (стоп-сигналы, огни маяка и т. д.) бывают красные.
Серьезное затруднение в практике нефелометрии состоит в том, что интенсивность рассеянного света зависит от объема частиц. Большое значение в связи с этим приобретает унификация методики приготовления взвеси - строгое соблюдение концентрационных и температурных условий, порядка и скорости смешения растворов, введение защитных коллоидов и т. д. При строгом соблюдении этих условий объемы частиц суспензии получаются примерно одинаковые, и их размер вполне удовлетворительно воспроизводится от опыта к опыту.
Концентрацию можно выразить числом частиц в единице объема:
где V - объем суспензии; NA - постоянная Авогадро.
Подставляя (V.3) в (V.2), получаем:
При постоянных V, х, l уравнение (V.4) принимает вид:
Или
Уравнение (V.6) показывает, что отношение интенсивности рассеянного света к интенсивности падающего пропорционально концентрации взвешенных частиц. Калибровочный график в координатах Iн/I0 как функция С будет линеен. Тем не менее иногда можно встретить рекомендацию строить калибровочный график в координатах Dкаж - С, где Dкаж - так называемая относительная или кажущаяся оптическая плотность, рассчитываемая как Dкаж=-lg(Iн/I0) Такая рекомендация дается, например, в заводских описаниях некоторых нефелометров (НФМ и др.).
Из (V.6) следует, что
т.е. Dкаж уменьшается с ростом концентрации, что вполне понятно, так как с увеличением концентрации увеличивается число рассеивающих частиц и интенсивность рассеянного света возрастает.
В соответствии с уравнением (V.7) график в координатах Dкаж - lg С будет линеен в противоположность графику в координатах Dкаж - С.
Турбидиметрические методы основаны на измерении интенсивности света It прошедшего через анализируемую суспензию. При достаточном разбавлении интенсивность прошедшего света подчиняется уравнению
где l - толщина слоя, a k - иногда называют молярным коэффициентом мутности раствора.
В турбидиметрии применяются приемы работы и приборы, обычно используемые в фотометрии растворов, чаще всего метод калибровочного графика. Известен также ряд методик турбидиметрического титрования. Турбидиметрические определения обычно выполняют с помощью фотоэлектрических колориметров-нефелометров (ФЭК-56-2, ФЭК-60 и др.).
Основным достоинством нефелометрических и турбидиметрических методов является их высокая чувствительность, что особенно ценно по отношению к элементам или ионам, для которых отсутствуют цветные реакции. В практике широко применяется, например, нефелометрическое определение хлорида и сульфата в природных водах и аналогичных объектах. По точности турбидиметрия и нефелометрия уступают фотометрическим методам, что связано, главным образом, с трудностями получения суспензий, обладающих одинаковыми размерами частиц, стабильностью во времени и т. д. К обычным сравнительно небольшим погрешностям фотометрического определения добавляются ошибки, связанные с недостаточной воспроизводимостью химико-аналитических свойств суспензий.
Глава 2. Теория и практика измерения мутности. Турбидиметрия и нефелометрия
2.1 Из истории измерения мутности
Практические попытки количественно измерить мутность относятся к 1900 году, когда Уиппл и Джексон разработали стандарт суспензии, содержащей 1000 миллионных долей (ppm) кизельгура (диатомитовой земли) в дистиллированной воде. Разбавление этой суспензии позволило создать так называемую "кремнеземную" шкалу мутности на основе ряда стандартных суспензий для калибровки турбидиметров того времени.
Джексон воспользовался этой шкалой для работы с существовавшим тогда прибором диафанометром и создал то, что известно под названием "свечной турбидиметр Джексона". Он состоял из специальной свечи и плоскодонной колбы. Джексон откалибровал его в единицах ppm по мутности взешенного кремнезема. Для определения мутности образец медленно наливали в колбу до тех пор, пока изображение пламени, наблюдаемое сверху не превращалось в бесформенное свечение (Рис. 1).
Рис. 1. Свечной турбидиметр Джексона
Погасание образа происходило, когда сравнивались интенсивность рассеянного света с интенсивностью света проходящего. Высота жидкости в колбе затем переводилась в единицы кремнеземной шкалы, а мутность определялась в джексоновских единицах мутности (JTU). Тем не менее, устойчивого состава стандартов достичь было трудно, поскольку их готовили из различных природных материалов - сукновальной глины, каолина, донных отложений.
2.2 Нефелометрия как метод измерения мутности
Со временем потребность в прецизионном определении низких значений мутности в образцах, содержащих взвеси очень мелких частиц, потребовала улучшения характеристик турбидиметров. Факельный турбидиметр Джексона имел серьезные ограничения в применении, поскольку не мог использоваться для определения мутности ниже 25 JTU. Точно определить мутность было весьма затруднительно и определение точки погасания сильно зависело от человека. Кроме того, поскольку источником света в приборе Джексона было пламя свечи, падающий свет находился большей частью в длинноволновой области спектра, где рассеяние на мелких частицах не эффективно. По этой причине прибор был нечувствителен к суспензиям очень мелких частиц. (Мелкие частицы кремнезема не приводили к погасанию образа пламени в факельном турбидиметре Джексона.) С помощью факельного турбидиметра невозможно также определить мутность, вызванную черными частицами, например сажи, поскольку поглощение света такими частицами настолько больше рассеяния, что поле зрения становилось черным до того, как достигалась точка погасания.
Было разработано несколько турбидиметров, работающих на определении погасания, с усовершенствованными источниками света и методиками сравнения, но погрешность определения человеком приводила к недостатку точности. Фотодетекторы чувствительны к малейшему изменению интенстивности освещения. Они стали широко использоваться для измерения ослабления света, проходящего через образец фиксированного объема. Приборы обеспечивали при определенных условиях гораздо большую точность, но попрежнему не могли определть высокую или предельно низкую мутность. При низкой степени рассеяния изменение в интенсивности проходящего света, измеряемое в одной точке, настолько мало, что практически не детектируется ничем. Обычно сигнал просто терялся в шуме электронных компонентов. На больших концентрациях множественное рассеяние взаимодействовало с простым рассеянием.
Решение проблемы заключается в том, чтобы определять количество света, рассеянного под углом к падающему свету и затем соотносить количество рассеянного под углом света с реальной мутностью образца. Считается, что угол в 90° позволяет обеспечить наибольшую чувствительность к рассеянию на частицах. Большинство современных приборов определяют рассеяние под углом 90° (рис. 2). Такие приборы называются нефелометрами или нефелометрическими турбидиметрами, чтобы показать их отличие от обычных турбидиметров, которые определяют соотношение между количеством прошедшего и поглощенного света.
Рис. 2. В нефелометрических измерениях мутность определяется по свету рассеянному под углом 90°
Благодаря своей чувствительности, точности и применимости в широком диапазоне размеров и концентраций частиц, нефелометр был признан в Стандартных методах как предпочтительный прибор для определения мутности. Также предпочтительными единицами выражения мутностистали нефелометрические единицы мутности NTU. В опубликованных американским Управлением по охране окружающей среды Методах химического анализа воды и стоков нефелометрический метод также определяет нефелометрию как метод определения мутности.
2.3 Современные мутномеры
Характеристики
Тип файла документ
Документы такого типа открываются такими программами, как Microsoft Office Word на компьютерах Windows, Apple Pages на компьютерах Mac, Open Office - бесплатная альтернатива на различных платформах, в том числе Linux. Наиболее простым и современным решением будут Google документы, так как открываются онлайн без скачивания прямо в браузере на любой платформе. Существуют российские качественные аналоги, например от Яндекса.
Будьте внимательны на мобильных устройствах, так как там используются упрощённый функционал даже в официальном приложении от Microsoft, поэтому для просмотра скачивайте PDF-версию. А если нужно редактировать файл, то используйте оригинальный файл.
Файлы такого типа обычно разбиты на страницы, а текст может быть форматированным (жирный, курсив, выбор шрифта, таблицы и т.п.), а также в него можно добавлять изображения. Формат идеально подходит для рефератов, докладов и РПЗ курсовых проектов, которые необходимо распечатать. Кстати перед печатью также сохраняйте файл в PDF, так как принтер может начудить со шрифтами.
















