166436 (625011)
Текст из файла
Вступ
Хімія гетероциклических сполук є одним з найважливіших розділів органічної хімії. Гетероциклічними сполуками, відповідно до класичного визначення, варто називати молекули, у цикл яких крім атомів вуглецю входять один або декілька гетероатомів. Найчастіше в якості гетероатомів виступають атоми азоту (N), кисню (O), сірки (S), а також фосфору (P), селен (Se), кремнію (Sі).
Як показали теоретичні й експериментальні дослідження в області гетероциклів, активна роль гетероатомов у циклічній системі визначається насамперед наявністю в них неподілених електронних пар. Особливості хімічної поведінки гетероциклічних сполук залежать від природи взаємодії неподілених електронних пар гетероатомів (або гетероатома) і електронів циклічної системи.
У даній курсовій роботі будуть розглянуті методи систезу хіноліну.
Хінолін та його похідні застосовуються як лікарські засоби, наприклад, атофан, ентеросептол, хінозол.
Мета роботи полягає в тому, щоб розглянути основні методи синтезу хінолінів.
Завдання роботи:
-
дати характеристику будови та властивостей хіноліну та його похідних;
-
навести схеми основних методів синтезу хіноліну та його похідних.
1. Хінолін: номенклатура, будова та властивості
1.1 Особливості номенклатури та будови хіноліну
За номенклатурою, прийнятою для гетероциклічних сполук, хінолін можна назвати бензо[b] піридином, а ізохінолін – бензо[з] піридином. Ця номенклатура заснована на тому, що сторонам гетероциклічного фрагмента привласнюються індекси – «а» – для зв'язку гетероатом – a‑атом вуглецю, «b» – для зв'язку, що з'єднує a і b атоми вуглецю, і так далі. При анелюванні іншого циклу до вихідного гетероциклу в квадратних дужках вказується позначення сторони, по якій відбувається анелювання.
Так само, як і піридин, хінолін і ізохінолін містяться в кам'яновугільній смолі, відкіля вони можуть бути виділені завдяки тому, що, подібно піридинові, є основами.
Вплив атома азоту на бензольне кільце виражений слабше, ніж на піридинове кільце. Реакції електрофільного заміщення протікають легше, ніж у піридині. Також протікають реакції нуклеофільного заміщення, і хінолін виявляє основні властивості, як піридин.
1.2 Властивості хіноліну
Хінолін – гетероциклічна сполука, у якій бензольне кільце анельовано з піридиновим через атоми вуглецю. Хінолін – стабільна, малоразчинна у воді, рідина з неприємним запахом. Його температура кипіння 237 °С, а плавлення -16 °С. Спочатку хінолін було виділено з кам'яновугільної смоли.
Хінолін – безбарвна рідина, добре змішується з водою, етанолом, діетиловим ефіром та іншими органічними розчинниками, переганяється з водяною парою.
Хінолін є ароматичною сполукою. Його молекула має плоску будову та містить замкнену спряжену π-електронну систему з 10π-електронів, яка задовольняє правилу Хюккеля.
За хімічними властивостями хінолін нагадує піридин. Йому характерні реакції за участю гетероатома, реакції електрофільного та нуклеофільного заміщення атомів водню хінолінового ядра, а також реакції окиснення та відновлення.
1. Реакції по гетероатому. Наявність у молекулі хіноліну атома азоту піридинового типу надає сполуці основних властивостей. Як основа хінолін дещо слабший від піридину (рКвн+ хіноліну в Н2О становить 4,94; pKDH+ піридину 5,25).
За участю гетероатома хінолін, аналогічно піридину, утворює солі з сильними кислотами, алкіл- і ацилгалогенідами:
2. Реакції електрофільного та нуклеофільного заміщення. Через електроно-акцепторний вплив гетероатома в молекулі хіноліну електронна густина зменшена у порівнянні до його бензоаналогу – нафталіну – та розподілена нерівномірно: в піридиновому кільці вона нижче, ніж у бензольному. Тому при дії електрофільними реагентами заміщення переважно іде по бензольному кільцю, а нуклеофільними – по піридиновому.
Реакції електрофільного заміщення в молекулі хіноліну проходять здебільшого в положеннях 5 і 8. Так, при нітруванні нітруючою сумішшю утворюється суміш 5- і 8‑нітрохінолінів, сульфування концентрованою сірчаною кислотою при 220 °С приводить до утворення 8‑хінолінсульфокислоти, а при 300 °С – термодинамічно вигіднішої 6‑хінолінсульфокислоти (за цих умов 5- і 8-ізомери перегруповуються в 6-ізомер).
В реакції нуклеофільного заміщення хінолін вступає легше, ніж піридин. При цьому, як і в кільці піридину, нуклеофільній атаці піддається переважно положення 2. Так, при дії на хінолін амідом натрію в середовищі рідкого аміаку утворюється 2‑амінохінолін, з гідроксидом калію при 280–300 °С хінолін утворює 2‑гідроксихінолін:
3. Реакції відновлення і окиснення. Відновлення хіноліну проходить передусім у піридиновому ядрі. При дії більшості відновників з високим виходом утворюється 1,2‑дигідрохінолін, у присутності нікелю Ренея хінолін відновлюється воднем до 1,2,3,4‑тетрагідрохіноліну. Каталітичне гідрування за жорстких умов торкається також бензольного кільця.
Окиснення хіноліну та його гомологів з замісниками в бензольному ядрі дією перманганатом калію в лужному середовищі супроводжується розщепленням бензольного кільця та приводить до утворення 2,3‑піридиндикарбонової кислоти (хінолінова кислота).
Аналогічно піридину, в присутності пероксикислот хінолін окислюється по гетероатому з утворенням N‑оксиду:
1.3 Властивості похідних хіноліну
Хінолінове ядро є структурним фрагментом молекул деяких алкалоїдів та лікарських засобів.
8‑Гідроксихінолін. Це безбарвна кристалічна речовина (т. пл. 75–76 °С) з характерним запахом, малорозчинна у воді, розчинна у хлороформі, діетиловому ефірі та бензолі. 8‑Гідроксихінолін добувають нагріванням орто-амінофенолу з гліцерином і сірчаною кислотою в присутності орто-нітрофенолу (синтез Скраупа) або сплавленням 8‑хінолінсульфокислоти з лугами.
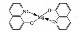
З іонами багатьох металів (Mg2+, Al3+, Zn2+, Mn2+, Со2+, Ni2+, Cu2+, Fe» +, Fe'+ та ін.) 8‑гідроксихінолін утворює малорозчинні у воді комплекси (хелати).
На цій властивості ґрунтується застосування 8‑гідроксихіноліну як аналітичного реагенту.
Ряд похідних 8‑гідроксихіноліну використовуються в медичній практиці як протимікробні засоби. До них відносяться такі лікарські препарати, як хінозол, нітроксолін (5‑НОК) і ентеросептол:
Вважають, що їх бактерицидна дія викликана зв'язуванням іонів Со2+, необхідних для життєдіяльності мікроорганізмів.
Ізохінолін (бензо[с] піридин) є ізомером хіноліну. Молекула ізохіноліну, як і хіноліну, складається з конденсованих піридинового та бензольного циклів, але, на відміну від хіноліну, цикли з'єднані вздовж зв'язку С3-С4 піридинового кільця.
Нумерацію атомів ізохінолінового ядра проводять згідно з правилами ІЮПАК наведеним способом.
Ізохінолін безбарвна кристалічна речовина (т. пл. 24,6 °С), розчинна у воді, етанолі, діетиловому ефірі, хлороформі та бензолі.
За хімічними властивостями ізохінолін мало чим відрізняється від хіноліну. За рахунок гетероатома він виявляє оснбвні властивості та легко утворює солі з кислотами, алкіл- і ацилгалогенідами. Як основа ізохінолін трохи сильніше хіноліну (рКВН+ ізохіноліну 5,14; рКВН+ хіноліну 4,94).
Реакції електрофільного заміщення, як і в ядрі хіноліну, проходять здебільшого в положеннях 5 і 8. Нуклеофільне заміщення в ізохіноліновому циклі відбувається переважно у положенні 1.
При відновленні ізохіноліну, як і у молекулі хіноліну, в першу чергу гідрується піридинове ядро. Так, при дії натрієм в етанолі або воднем над нікелевим каталізатором ізохінолін відновлюється до 1,2,3,4‑тетрагідроізохіноліну.
За жорсткіших умов гідруванню піддається і бензольне кільце. При окисненні ізохіноліну лужним розчином КМпО4 утворюється суміш фталевої та 3,4‑піридиндикарбонової кислот:
Під дією органічних пероксикислот ізохінолін окиснюється по гетероатому, утворюючи N‑оксид.
Ядро ізохіноліну є структурним фрагментом молекул алкалоїдів ізохінолінового ряду – папаверину, морфіну, кодеїну та ін.
1.4 Застосування хінолінів
Хінолінова циклічна система значно поширена в природі. Хіноліновий кістяк протягом тривалого часу був основою для пошуку синтетичних противомалярійних препаратів. Один з таких препаратів – хлорохін. Ціанінові барвники також складають значну частку в комерційній продукції на основі хінолінової сировини. Вони застосовуються для сенсибілізації фотографічних емульсій до червоних і інфрачервоних променів, що не діють на бромисте срібло без сенсибілізації. Найпростішим барвником цього типу є етиловий червоний. Тетрагідропохідна оксамніхін використовується для боротьби із шистосомой, що служить основною причиною захворювання в тропічних регіонах. На основі синтезу похідних хіноліну з ізатину, можна одержати багато інших хіміко-фармацевтичних препаратів. 8‑оксихінолін (оксин) широко використовується в аналітичній хімії для виявлення багатьох металів, що дають з ними внутрікомплексні солі оксинати (хелати) за рахунок участі вільної пари електронів азоту, а також як дезинфікуючі засоби (хіназол), 5‑хлор‑7‑йод‑8‑Оксихінолін (ентеросептол) застосовується для боротьби з кишковими захворюваннями. Він настільки повно зв'язує іонний кобальт (кобаламіну – вітаміну B12), що вижитти бактерій неможуть. Хінолін часто використовується в лабораторії в якості висококиплячого основного розчинника.
2. Характеристика методів синтезу хінолінів
2.1. Синтез хіноліну Скраупа
Основним методом одержання хіноліну є синтез Скраупа, що полягає у взаємодії аніліну або заміщених анілінів із гліцерином, у присутності сірчаної кислоти й окислювача, у якості якого часто використовують нітробензол, мета-нітробензолсульфокислоту, а іноді і просто кисень повітря.
На першій стадії гліцерин під дією сірчаної кислоти дегідратується з утворенням акролеїну. Далі відбувається приєднання аніліну до акролеїну по типу реакції Михаеля. Унаслідок протонування альдегідної групи, що утвориться в інтермедіаті відбувається її активація як електрофіла, що приводить до замикання гетероциклу в результаті електрофільного заміщення в орто-положення бензольного кільця. Наступна дегідратація приводить до дигідропохіного хіноліну, а потім окисляється окислювачем за наявності в реакційному середовищі у хінолін. Використовуваний як окислювач нітроарен відновлюється у відповідний анілін.
Характеристики
Тип файла документ
Документы такого типа открываются такими программами, как Microsoft Office Word на компьютерах Windows, Apple Pages на компьютерах Mac, Open Office - бесплатная альтернатива на различных платформах, в том числе Linux. Наиболее простым и современным решением будут Google документы, так как открываются онлайн без скачивания прямо в браузере на любой платформе. Существуют российские качественные аналоги, например от Яндекса.
Будьте внимательны на мобильных устройствах, так как там используются упрощённый функционал даже в официальном приложении от Microsoft, поэтому для просмотра скачивайте PDF-версию. А если нужно редактировать файл, то используйте оригинальный файл.
Файлы такого типа обычно разбиты на страницы, а текст может быть форматированным (жирный, курсив, выбор шрифта, таблицы и т.п.), а также в него можно добавлять изображения. Формат идеально подходит для рефератов, докладов и РПЗ курсовых проектов, которые необходимо распечатать. Кстати перед печатью также сохраняйте файл в PDF, так как принтер может начудить со шрифтами.















