166436 (625011), страница 2
Текст из файла (страница 2)
Методика виконання роботи.
Сірчанокисле залізо, мірна кислота, їдкий натр, азотистокислий натрій, диетиловий ефір.
У круглодонную колбу, ємністю 250 мл до суміші аніліну, нітробензолу, гліцерину, і 2,5 г сірчанокислого заліза при перемішуванні додають 11 мл концентрованої сірчаної кислоти. Вміст колби ретельно перемішують і, з'єднавши трубку зі зворотним холодильником. Нагрівають на азбестовій сітці.
Як тільки реакція почнеться (це можна помітити по раптовому виділенню з рідини пухирців пари), нагрівання припиняють і чекають закінчення бурхливої реакції без зовнішнього підігріву. Як тільки рідина перестане кипіти, нагрівання відновляють і кип'ятять вміст колби ще протягом 2–3 годин. Потім суміш не прохолоджуючи переносять у колбу для перегонки з водяною парою. Реакційну колбу обполіскують невеликою кількістю води, що доливають до реакційної суміші і відганяють не прореагувавший нітробензол. Перегонку ведуть доти, поки в дистилят не перестануть переходити маслянисті краплі нітробензолу (дистилят повинен стати прозорим). Припинивши перегонку, у ще теплу рідину обережно доливають 50 мл 40-% розчину їдкого натру (до лужної реакції) і знову ведуть перегонку з водяною парою. При цьому в дистилят не перестають виділилися при підлужненні у вигляді вільних основ хінолін і анілін.
Отриманий дистилят для звільнення від аніліну підкисляють 14 мл концентрованої сірчаної кислоти, охолоджують до 50С доливають до охолодженого розчину 10%-ний розчин азотистокислого натрію до появи реакції на вільну азотисту кислоту (посиніння йодкрахмального папірця при нанесенні на неї краплі розчину). При цьому анілін діазотується, а хінолін як третинна основа залишається без змін. Реакційну суміш після діазотування нагрівають на водяній бані до припинення виділення пухирців азоту. Діазосполука, отримана з аніліну, при нагріванні розкладається з виділенням азоту й утворенням фенолу.
Розчин знову подлужнюють 40%-ним розчином їдкого натру. Фенол переходить у фенолят, що не переганяється з водяною парою, а хінолін виділяється у вигляді вільної основи і переганяється з водяною парою. З дистиляту після перегонки з водяною парою хінолін витягають екстрагуванням ефіром. Ефірний шар відокремлюють у ділильній лійці і сушать твердим лугом. Після просушки ефірний розчин переносять у колбу Вюрца і відганяють на водяній бані ефір. Потім заміняють водяний холодильник на повітряний і переганяють хінолін, нагріваючи колбу на газовому пальнику з азбестовою сіткою. Збирають фракцію 234–240 0С.
2.2 Синтез хіноліну по Дебнеру-Мілеру
У реакцію Скраупа можуть бути внесені і a, b‑ненасичені кетони. Модифікацією методу Скраупа є синтез Дебнера-Мілера. У цьому випадку в реакцію з аніліном вводять аліфатичні альдегіди в присутності кислот. Цей метод часто застосовується для одержання хінальдину‑2‑метилхіноліну. Він мало чим відрізняється від вищезгаданого синтезу. Принципова відмінність тільки в тому, що тут замість гліцерину беруться α, β-ненасичені альдегіди і кетони. Це істотно розширює коло можливості методу при синтезі різних похідних хіноліну, що містять замісники в піридиновому кільці. Даний метод не вимагає застосування нітробензолу, тому що сам альдегід служить окислювачем (акцептором водню).
При цьому на першій стадії відбувається кротонова конденсація альдегіду з утворенням a, b‑ненасиченого альдегіду, що далі реагує з аніліном за схемою, приведеною вище. При такому варіанті проведення реакції немає необхідності у використанні додаткового окислювача, роль якого в цьому випадку виконує вихідний альдегід.
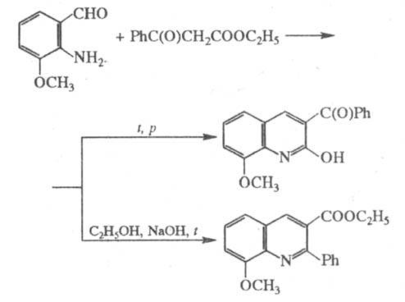
2.3 Синтез хіноліну по Фрідлендеру
Тут здійснюється конденсація о-амінобензальдегіду з ацетальдегідом у присутності NaOH з наступною циклізацією продукту, що утворився.
Оскільки о-ациланіліни важкодоступні, використовують конденсацію о-нітрокарбонільних попередників з активними метиленовими компонентами з наступним відновлення нітрогрупи.
Фрідлендера синтез, одержання похідних хіноліну конденсацією ароматичних ортоамінокарбонільних сполук з речовинами, що містять у молекулі угруповання CH2C(O), напр.:
Звичайно суміш реагентів в етанолі нагрівають декілька годин у присутності каталітичних NaOH, KOH, K2CO3 або піперидину. Реакцію з альдегідами частіше проводять без каталізатора; у деяких випадках (напр., при одержанні 2‑метилхіноліну) найбільші виходи досягаються при використанні кислих каталізаторів під час відсутності розчинника. Реакція не йде з 1,2‑дифенілетаноном, глюкозою і левуліновою ксилотою. Виходи коливаються в дуже широких межах (Макс. – 70–80%).
Фрідлендера синтез має найбільше значення для синтезу хінолінів, заміщених у піридиновому кільці (насамперед 3‑замещених хінолінів, які важко одержати іншими методами). У випадку несиметричних метилкетонів група CH3 займає в хіноліні положення 2. У деяких випадках будова продуктів, що утворяться, залежить від умов здійснення реакції, напр.:
Основні побічні продукти – смоли, що утворюються в результаті олігомеризації вихідних продуктів.
Вважається, що фрідлендера синтез включає дві стадії – на першій утвориться основа Шиффа, на другий відбувається замикання циклу (при цьому виділяється H2O за рахунок карбонільного атома О та атомів H інших компонентів).
Модифікація Борше-Ріда: використання основ Шиффа замість менш стійких орто-амінокарбонильних сполук, що особливо зручно при синтезі хінолінів, заміщених у бензольному ядрі., напр.:
Фрідлендера синтез застосовують у лабораторній практиці. Відкрита П. Фрідлендером у 1882.
2.4 Інші методи синтезу
Синтез хіноліну по Кнорру. Цей метод включає конденсацію аніліну з ацетооцтовим ефіром у сильнокислой середовищі (конц.H2SO4) при 80–100 °С.
Синтез Кнорра, таким чином, здійснюється в результаті нуклеофільної атаки по складній-ефірній групі ефіру β-кетокислоти.
Синтез Конрада-Лимпаха. На відміну від синтезу Кнорра, тут йде атака нуклеофіла по кетонній групі через утворення проміжного енаміну (олія, 240–250 °С):
Синтез хінолінів по Пфитцингеру. Тут відбувається конденсація ізатину або ізатинової кислоти з карбонільним сполуками, що містять β-метиленову групу. Альдегіди звичайно використовують у вигляді оксимів. З несиметричних кетонів утворюються суміші ізомерних цинхонінових кислот. У метилкетонів, як правило, у конденсацію вступає метильна група. Основний побічний процес – автоконденсація карбонільної сполуки.
Ця хінолінова кислота декарбоксилюється при нагріванні в хінолін.
2.5 Синтез похідних хіноліну
Ізохінолін міститься в хіноліновій фракції кам'яновугільної смоли (близько 1%), з якої його здобувають у вигляді солі (гідросульфату).
Одним з поширених способів синтезу ізохіноліну та його похідних є реакція Бішлера-Напіральського (1893 p.), котра ґрунтується на циклізації N‑ацильних похідних (3‑фенілетиламінів у 3,4‑дигідроізо-хіноліни та дальшому перетворенні останніх на ізохіноліни шляхом каталітичного дегідрування над паладієм на вугіллі. Циклізацію N‑ацильних похідних здійснюють частіше в присутності Р2О5 або РОСl3 в ксилолі.
Протіканню циклізації по Бишлеру-Напиральскому не перешкоджає і введення в бензольне кільце электроноакцепторной нитрогруппы, правда вихід продукту циклізації при цьому помітно знижується (< 10%). Слід зазначити, що і не утримуючого заступника в бензольному кільці b‑фенілацетамід циклізується у відповідне дигідропохідне з виходом всього 23%. Низький вихід похідних ізохіноліну компенсується приступністю вихідних сполук.
Велике значення в синтезі алкалоїдів, що є похідними ізохіноліну, має метод Пікте-Шпенглера, у якому в циклізацію вводять не ацетамідні похідні, як у методі Бишлера-Напіральского, а іміни, що утворяться при взаємодії альдегідів з b‑фенілетиламінами. У тому випадку, коли в бензольному кільці присутні активуючі замісники, реакція циклізації відбувається в дуже м'яких, іноді навіть у фізіологічних умовах (рН середовища, температура, концентрації реагентів), і приводить до гідрованих похідних ізохіноліну з високим виходом.
Висновок
Основним методом одержання хіноліну є синтез Скраупа, що полягає у взаємодії аніліну або заміщених анілінів із гліцерином, у присутності сірчаної кислоти й окислювача, у якості якого часто використовують нітробензол, мета-нітробензолсульфокислоту, а іноді і просто кисень повітря.
Хіноли і його похідні являють собою практично самостійний клас сполук, добре вивчених у теоретичному відношенні. Однак у більшості хімічних проявів хінолін сильно нагадує піридин. До найбільш відомих методів одержання хіноліну відносяться синтези Скраупа і Дебнера-Мілера. Обидва синтези включають стадію утворення дигідрохінолінових похідних.
Хнолін одержують за допомогою таких синтезів: синтез по Фрідлендеру, синтез хіноліну по Кнорру, синтез Конрада-Лимпаха, синтез хінолінів по Пфитцингеру.
Одним з поширених способів синтезу ізохіноліну та його похідних є реакція Бішлера-Напіральського (1893 p.), котра ґрунтується на циклізації N‑ацильних похідних (3‑фенілетиламінів у 3,4‑дигідроізо-хіноліни та дальшому перетворенні останніх на ізохіноліни шляхом каталітичного дегідрування над паладієм на вугіллі.
Список використаних джерел
-
Артеменко А.И. Органическая химия. – М.: Высшая школа, 1998.
-
Грандберг И.И. Органическая химия. – М.: Высшая школа, 1980.
-
Гудкова А.С. От простого к сложному. – М.: Изд-во Моск. ун-та, 1983.
-
Марч Дж. Органическая химия. В 4‑х т. – М.: Мир, 1985.
-
Моррисон Р., Бойд Р. Органическая химия. – М.: Мир, 1974.
-
Нейланд О.Я. Органическая химия. – М.: Высшая школа, 1990.
-
Несмеянов А.Н., Несмеянов Н.А. Начала органической химии. В 2‑х кн. – М.: Химия, 1974.
-
Потапов В.М., Татаринчик С.Н. Органическая химия. – М.: Химия, 1980.
-
Робертc Дж., Касерио М. Основы органической химии. – М.: Мир, 1978. т. 1, 2.
-
Сайкс П. Механизмы реакции в органической химии. М.: Химия, 1991.
-
Справочник химика. В 6‑ти томах. – Л.: Химия, 1968.
-
Терней А. Современная органическая химия. В 2‑х томах. – М: Мир, 1981.
-
Тюкавкина Н.А. Органическая химия. – М: Медицина, 1998.
-
Химическая энциклопедия. В 5‑ти томах. – М.: Советская энциклопедия – Большая Российская энциклопедия, 1988–1998.
-
Химический энциклопедический словарь. – М.: Советская энциклопедия, 1983.
-
Шабаров Ю.С. Органическая химия. В 2‑х т. – М.: Химия, 1994.















