166145 (624946), страница 2
Текст из файла (страница 2)
частично в орто- и частично в пара-положение. N-ацетилметиланилин в аналогичной реакции даёт хинолин. Образование хинолина в этой реакции нельзя объяснить таким же образом, как и образование хинальдина в приведённой выше реакции. Было высказано предположение, что образование хинолина может происходить через стадию получения 2-метилиндола.
Образование связи по типу IV
-
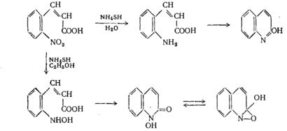
Реакция Чиоза
Это одна из первых известных реакций замыкания хинолинового цикла, которая заключается в образовании карбостирила при восстановлении о-нитрокоричной кислоты:
Вместо гидросульфида аммония в качестве восстановительного агента может быть применена гидроокись двухвалентного железа.
-
Синтезы на основе превращений этилового эфира о-нитрокоричной кислоты
Глава II
Изохинолины
Стратегии построения изохинолинового скелета:
C(1)-N
C(ia)-C(i) С(4)-С(4а)
Образование связи C(1)-N Циклизация 2-цианобензилцианидов под действием галогенводородных кислот
Этот региоселективный синтез изохинолинов идет по механизму динитрильной конденсации под действием НВг или HI (применение НС1 неэффективно).
Образование связи C(1)-C(1a)
-
Синтез из активированных фенилэтиламинов с формальдегидом (синтез Пикте-Шпенглера)
Образующиеся при взаимодействии фенилэтиламинов с альдегидами альдимины в кислой среде электрофильно циклизуются по бензольному кольцу с образованием 1,2,3,4-тетрагидроизохинолинов. Для успешного осуществления циклизации бензольное кольцо должно быть активировано к электрофильной атаке наличием электронодонорных заместителей, поскольку образующиеся при действии кислоты на имины иминиевые соли - достаточно слабые электрофилы.
Циклизация успешно идет при наличии донорных заместителей в пара-положении к месту атаки, если такие заместители расположены в других положениях бензольного кольца реакция не идет.
-
Циклизация ацилированных фенилэтиламинов (синтез Бишлера-Напиральского)
Ацилированние фенилэтиламинов с последующей циклизацией под действием кислот Льюиса (Р2О5, PCl3, PCl5) приводит к 3,4-дигидроизохинолинам, легко дегидрирующимся в ароматические структуры. Циклизация в этом случае - обычный электрофильный процесс, поэтому она плохо идет при наличии в бензольном кольце электроноакцепторных заместителей.
Из мета-замещенных фенилэтиламинов образуются только 6-изомеры, то есть циклизация идет исключительно в пара-положение по отношению к заместителю.
При наличии электроноакцепторных заместителей в ядре даже в очень жестких условиях образуются лишь следы продукта циклизации:
Образование связи(С4-С4а)
-
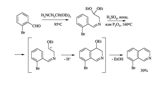
Синтез Померанца-Фрича — получение изохинолинов из бензальдегидов и
аминоацеталей
Синтез проводят в две стадии:
-
получение альдиминов за счет конденсации аминогруппы по карбонильной функции бензальдегида (в мягких условиях альдимины получают с высокими выходами).
-
циклизация альдиминов под действием сильных кислот.
Этот способ удачно дополняет два рассмотренных ранее метода синтеза изохинолинов, поскольку при его применении образуются замещённые изохинолины, которые не удаётся синтезировать другими путями. При замене ароматических альдегидов кетонами процесс протекает менее гладко.
-
Получение 1-замещенных изохинолинов из α-алкилбензиламинов и полуацеталя глиоксаля
Изохинолины, замещенные по положению 1, трудно синтезировать по методу Померанца-Фрича, так как первая стадия - образование кетимина из аминоацеталя и кетона - идет не так гладко, как конденсация с бензальдегидом. Поэтому используют другой метод проведения реакции: замещенный бензиламин конденсируют с полуацеталем глиоксаля, образующийся имин циклизуют обычным способом.
В данном случае циклизация идет по пара-положению по отношению к активирующему заместителю, видимо, в силу его большей стерической доступности.
Заключение
В ходе проделанной работы, были выявлены основные и наиболее важные методы синтеза хинолинов и изохинолинов. В хинолинах возможно четыре типа построения скелета молекулы. В синтезах типа I замыкание цикла происходит между γ-углеродным атомом и бензольным ядром, в синтезах типа II замыкание цикла осуществляется между β- и γ-углеродными атомами, в синтезах типа III цикл замыкается между α- и β-углеродными атомами, и в синтезах типа IV замыкание цикла осуществляется между азотом и α-углеродным атомам.
Кроме этих четырёх основных типов реакций, применяемых при синтезе хинолина, известны и многочисленные их разновидности. Следует иметь в виду возможность того, что иногда один тип синтеза перекрывается другим, так как точный механизм реакций в ряде случаев до конца не выяснен.
Помимо указанных методов имеются некоторые другие методы получения хинолиновых производных. К ним относятся реакции окисления полициклических соединений, а также некоторые пиролитические методы.
Список литературы:
-
«Химия гетероциклических соединений» Т. Джилкрист
-
«Основы современной химии гетероциклических соединений» Дж. Джоуль, Г. Смит
-
«Гетероциклические соединения» под ред. Эльдерфилда (том трерий)
-
«Гетероциклические соединения» под ред. Эльдерфилда (том четвёртый)
-
«Основы современной химии гетероциклических соединений» Л. Пакетт
-
«Гетероциклические соединения» Пожарский
-
«Химия гетероциклических соединений» Иванский В.И.















