166145 (624946)
Текст из файла
Санкт-Петербургский Государственный Университет
Химический Факультет
Курсовая работа по органической химии
Тема: Методы синтеза хинолинов и изохинолинов
Работу выполнила:
студентка 3-го курса Бутаева Е.В.
Работу проверил: Новиков М.С.
Санкт-Петербург
2008
Введение
Хинолин - гетероциклические соединение, в котором бензольное кольцо аннелировано с пиридином через атомы углерода. Соединение первоначально было выделено из каменноугольной смолы. Хинолиновая циклическая система широко распространена в природе. Алкалоид хинин, традиционно использующийся в качестве противомалярийного средства, также обладает тонизирующим эффектом. Хннолиновый скелет в течение длительного времени служил основой для поиска синтетических противомалярийных препаратов. Один из таких препаратов - хлорохин. Цианиновые красители также составляют значительную долю в коммерческой продукции на основе хинолинового сырья. Тетрагидропроизводное оксамнихин используется для борьбы с шистосомой, которая служит основной причиной заболеваний в тропических регионах. После модификации молекулы хинолина (или нафтиридина) путем введения в нее атома фтора появились антимикробные препараты с уникальными свойствами, которые получили обобщенное название "фторхинолоны". В настоящее время группа фторхинолонов по количеству современных антимикробных лекарственных средств уступает только -лактамным антибиотикам. Большая номенклатура препаратов группы фторхинолонов свидетельствует об их значении для лечения бактериальных инфекций. В настоящее время фторхинолоны занимают одно из ведущих мест в химиотерапии инфекций различного генеза и локализации.
После появления первого фторхинолона (норфлоксацин) были синтезированы многочисленные соединения этого ряда и значительная часть из них (около 15 препаратов) дошла до клинического использования, однако не все из них получили широкое применение.
Опийный алкалоид папаверин обладает способностью расслаблять гладкую мускулатуру и расширять сосуды.
Существует также несколько других семейств изохинолиновых алкалоидов, которые часто встречаются в растениях, произрастающих в Великобритании; предшественником всех этих соединений в природе служит тирозин.
Глава I
Хинолины
Большинство синтезов, ведущих к образованию хинолиновой циклической системы, состоит в замыкании пиридинового цикла по одному из четырёх возможных путей:
Образование связи по типу I
-
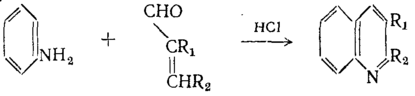
Синтез Дебнера-Миллера
Представляет собой наиболее общий метод из методов типа I.
В синтезе Дёбнера-Миллера используют α,β-ненасыщенные альдегиды и кетоны. Это существенно расширяет возможности метода при синтезе различных производных хинолина, содержащих заместители в пиридиновом кольце. В качестве конденсирующего агента используется НС1 и ZnCl2. В этом варианте синтеза также необходима стадия окисления дигидрохинолина (дегидрирование происходит за счет переноса водорода к основанию Шиффа, присутствующему в реакционной среде).
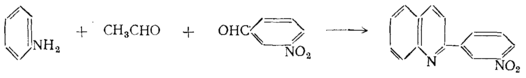
Было показано,что эта реакция применима почти для всех ароматических аминов. В качестве альдегида может быть взят любой α,β-ненасыщенные альдегид, подобный кротоновому или коричному. Общее течение реакции изображается схемой:
Применение метода Дёбнера-Миллера в случае смеси альдегидов, очевидно, ограничено реакциями конденсации, протекающими преимущественно в одном направлении. Таким образом, большинство синтезов, в которых применяется смесь альдегидов, осуществлено с ароматическими и жирными альдегидами. В этом случае преобладает одно направление конденсации. В качестве примера можно привести конденсацию с участием уксусного альдегида и м-нитробензальдегида:
-
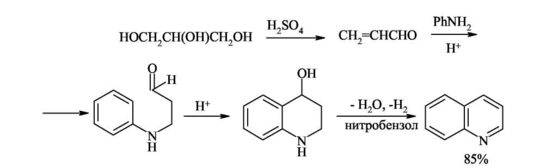
Синтез Скраупа - конденсация ариламинов с α,β-непредельными карбонильными соединениями.
Этот синтез подбно синтезу Дёбнера-Миллера протекает через стадию образования дигидрохинолинового производного. Различие методов состоит в применении разных реагентов, при помощи которых завершается дигидрирование промежуточного продукта, дигидрохинолина, в хинолин. В методе Дёбнера-Миллера таким реагентом является образующееся из первоначально взятых веществ шиффово основание, которое способно присоединять водород и тем самым завершить дегидрирование. В реакции Скраупа дегидрирование завершается при помощи специально прибавляемого реагента.
По методу Скраупа ароматический амин, по меньшей мере с одним свободным орто-положением по отношению к амино группе, нагревается с глицерином, серной кислотой (которая действует как дегидратирующий агент и катализатор) и окислителем. В простейшем случае, когда в качестве амина взят анилин, а в качестве окислителя-нитробензол, реакцию можно изобразить следующей схемой:
Дегидратация глицерина приводит к образованию а,β-непредельного альдегида -акролеина. В дальнейшем, по-видимому, происходит присоединение анилина по Михаэлю к активированной двойной связи акролеина. Последующее электрофильное замыкание цикла требует кислотного катализа. Для окисления образующейся гидрированной структуры используют нитробензол того же строения, что и исходный анилин. Реакция сильно экзотермична, поэтому обычно добавляют замедлитель процесса - сульфат железа(П).
Как и в реакции Дебнера-Миллера, здесь может образоваться промежуточное шиффово основание. Это ни в коей мере не может отразиться на течении реакции, так как первичным продуктом циклизации является дигидрохинолин. Совершенно несущественно, как он образуется: в результате внутримолекулярного отщепления воды или анилина.
Этим методом нельзя синтезировать соединения, содержащие группировки, чувствительные к действию кислот. Это единственное ограничение данного метода, являющегося лучшим способом синтеза хинолинов, не замещённых в гетероциклическом кольце.
-
Синтез Комба - конденсация ариламинов с 1,3-дикарбонильными соединениями
Конденсация 1,3-дикарбонильного соединения с ароматическим амином даёт с высоким выходом β-аминоенон, который циклизуется под действием концентрированной кислоты. Эта стадия представляет собой электрофильное замещение мезомерного О-протонированного аминоенона, а последующее отщепление молекулы воды приводит к образованию ароматического хинолина.
-
Синтез Конрада-Лимпаха-Кнорра — конденсация ариламинов с β-кетоэфирами
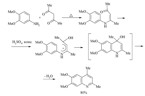
Этот близкий предыдущему метод основан на конденсации ариламинов с β-кетоэфирами и приводит к хинолонам. В кетоэфирах имеются карбонильные группы двух типов и аминогруппа ароматических аминов конденсируется с наиболее активной карбонильной группой кетона. Полученный β-аминоакриловый эфир при 250 С циклизуется в 4-хинолон.
Интересно отметить, что при использовании ацетоуксусного эфира в зависимости от условий реакции могут образовываться 2-метилхинолоны-4 или 4-метилхнолоны-2. Атака аминогруппы по кетонному карбонилу (образование 2-метилхинолонов-4) кинетически контролируемый процесс, который протекает при низких температурах
(~ 20°С). Атака по сложноэфирной группе предпочтительна термодинамически и происходит, когда реакцию ведут при 110-140°С (образование 4-метилхинолона-2). Полученный продукт конденсации циклизируется с образованием изомерного 2-хинолона. Таким образом этот синтез позволяет контролировать направление циклизации.
50%
Образование связи по типу II
-
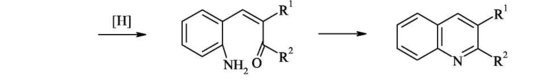
Синтез из орто-ациланилинов и карбонильных соединений, содержащих
α- метиленовую группу (синтез Фридлендера).
Хинолины можно получить конденсацией орто-ациланилинов с кетонами или альдегидами(последние должны содержать α-метиленовую группу), катализируемой кислотами или щелочами. Формально такого типа конденсация заключается в образовании основания Шиффа и последующей конденсации альдольного типа с участием арильного карбонила и активной метиленовой группы.
Из выше приведённых примеров видно, что ориентация конденсации, а следовательно, и циклизации зависит от условий реакции. В кислой среде карбонильное соединение реагирует в виде нейтрального С3-енола, в щелочной - в виде С1-енолят аниона. Аналогичные закономерности наблюдаются и при альдольной конденсации метилэтилкетона в средах различной кислотности и основности.
Поскольку орто-ациланилины труднодоступны, используют конденсацию орто-нитрокарбонильных предшественников с активными метиленовыми компонентами с последующей восстановительной циклизацией.
-
Синтез Пфитцингера
Предыдущий синтез основан на применении малодоступных орто-бензальдегидов, и в этом варианте метода Фридлендера вместо них используют гораздо более доступные замещённые изатины.
Синтез Пфитцингера заключается в щелочным гидролитическом раскрытии пятичленного кольца изатина и последующей конденсации образующегося аниона орто-аминофенилглиоксиловой кислоты с кетонами. Исходный изатин легко и высокими выходами на всех стадиях можно получать из доступных реагентов:
-
Конденсация орто-нитроарилбензилсульфонов с эфирами малеиновой или фумаровой кислот
Исходные орто-нитробензиларилсульфоны очень удобно получать по реакции викариозного нуклеофильного замещения. Наличие в исходных структурах сульфонильной группы, обладающей способностью легко элиминироваться в виде арилсульфоновой кислоты, позволяет сразу получать ароматические структуры, не прибегая к дополнительному окислению. Процесс идет через несколько стадий и завершается образованием N-оксида 2,3-ди(этоксикарбонил)хинолина.
Образование связи по типу III
-
Реакция Бунзла
Реакция, при которой в качестве конечного продукта образуется хинальдин:
При нагревании N-ацетиэтиланилина с хлористым цинком наряду с пара-этилацетанилидом образуются небольшие количества хинальдина. Течение реакции может быть уяснено, если допустить, что под влиянием хлористого цинка происходит мигрирование этильной группы в соединении:
Характеристики
Тип файла документ
Документы такого типа открываются такими программами, как Microsoft Office Word на компьютерах Windows, Apple Pages на компьютерах Mac, Open Office - бесплатная альтернатива на различных платформах, в том числе Linux. Наиболее простым и современным решением будут Google документы, так как открываются онлайн без скачивания прямо в браузере на любой платформе. Существуют российские качественные аналоги, например от Яндекса.
Будьте внимательны на мобильных устройствах, так как там используются упрощённый функционал даже в официальном приложении от Microsoft, поэтому для просмотра скачивайте PDF-версию. А если нужно редактировать файл, то используйте оригинальный файл.
Файлы такого типа обычно разбиты на страницы, а текст может быть форматированным (жирный, курсив, выбор шрифта, таблицы и т.п.), а также в него можно добавлять изображения. Формат идеально подходит для рефератов, докладов и РПЗ курсовых проектов, которые необходимо распечатать. Кстати перед печатью также сохраняйте файл в PDF, так как принтер может начудить со шрифтами.















