164440 (624771), страница 4
Текст из файла (страница 4)
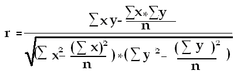
Коэффициент корреляции показывает степень синхронизации денежных потоков за анализируемый период. Он рассчитывается по следующей формуле:
Чем ближе значение коэффициента корреляции к единице, тем меньше разрыв между значениями положительных и отрицательных денежных потоков, из чего следует, что потоки синхронизированы по временным интервалам. В такой ситуации меньше риск возникновения дефицита денежных средств (в периоды повышения отрицательного денежного потока над положительным) или избыточности денежной массы ( в период превышения положительного денежного потока над отрицательным). И та и другая ситуация невыгодна для предприятия.
Рассчитывается и анализируется также динамика коэффициента ликвидности денежного потока:
Для обеспечения необходимой ликвидности денежного потока этот коэффициент должен иметь значение не ниже единицы. Превышение единицы будет способствовать росту остатков денежных активов на конец периода, то есть повышению коэффициента абсолютной ликвидности предприятия.
1.4 Пути оптимизации денежных потоков в сельскохозяйственных предприятиях в условиях рыночных отношений
Одним из наиболее важных и сложных этапов управления денежными потоками предприятия является их оптимизация. Оптимизация денежных потоков представляет собой процесс выбора наилучших форм их организации на предприятии с учетом условий и особенностей осуществления его хозяйственной деятельности.
В первую очередь необходимо добиться сбалансированности объемов положительного и отрицательного денежного потоков, поскольку и дефицит, и избыток денежных средств отрицательно влияет на результаты хозяйственной деятельности.
При дефицитном денежном потоке снижается ликвидность предприятия, что приводит к росту просроченной задолженности предприятия по кредитам банку, поставщикам, персоналу по оплате труда.
При избыточном денежном потоке происходит потеря реальной стоимости временно свободных денежных средств в результате инфляции, замедляется оборачиваемость капитала по причине простоя денежных средств, потеряется часть потенциального дохода в связи с упущенной выгодой от прибыльного размещения денежных средств в операционном или инвестиционном процессе.
Для достижения сбалансированности дефицитного денежного потока в краткосрочном периоде разрабатываются мероприятия по ускорению привлечения денежных средств и замедлению их выплат.
Мероприятия по ускорению привлечения денежных средств:
-
обеспечение частичной или полной предоплаты за продукцию, пользующуюся большим спросом на рынке;
-
сокращение сроков предоставления товарного кредита покупателям;
-
увеличение размера ценовых скидок для реализации продукции за наличный расчет;
-
ускорение инкассации просроченной дебиторской задолженности;
-
использование современных форм реинвестирования дебиторской задолженности;
-
задолженности (учета векселей, факторинга, форфейтинга).
Мероприятия по замедлению выплат денежных средств:
-
увеличение по согласованности с поставщиком сроков предоставления предприятию товарного кредита;
-
использование флоута (периода прохождения выписанных платежных документов до их оплаты) для замедления инкассации собственных платежных документов;
-
приобретение долгосрочных активов на условиях лизинга;
-
реструктуризация полученных кредитов путем перевода краткосрочных в долгосрочные.
Поскольку данные мероприятия, повышая уровень абсолютной платежеспособности предприятия в краткосрочном периоде, могут создать проблемы дефицитности денежных потоков в будущем, то параллельно должны быть разработаны меры по сбалансированности дефицитного денежного потока в долгосрочном периоде.
Мероприятия по увеличению положительного денежного потока:
1. дополнительная эмиссия акций;
2. дополнительный выпуск облигационного займа;
3. привлечение долгосрочных кредитов;
3. привлечение стратегических инвесторов;
4. продажа части долгосрочных финансовых вложений;
5. продажа и сдача в аренду неиспользуемых видов основных средств.
Мероприятия по сокращению отрицательного денежного потока:
1. снижение суммы постоянных издержек предприятия;
2. сокращение объема реальных инвестиций;
3. сокращение объема финансовых инвестиций;
4. передача в муниципальную собственность объектов соцкульбыта.
Способы оптимизации избыточного денежного потока связаны в основном с активизацией инвестиционной деятельности предприятия, направленной:
- на досрочное погашение долгосрочных кредитов банков;
- увеличение объема реальных инвестиций;
- увеличение объема финансовых инвестиций.
Синхронизация денежных потоков должна быть направлена на устранение сезонных и циклических различий в формировании как положительных, так и отрицательных денежных потоков, а также на оптимизацию средних остатков денежной наличности.
Заключительным этапом оптимизации является обеспечение условий максимизации чистого денежного потока предприятия, рост которого обеспечивает повышение уровня самофинансирования предприятия, снижает зависимость от внешних источников финансирования.
Повышение суммы чистого денежного потока может быть обеспечено за счет следующих мероприятий:
1.снижения суммы постоянных издержек предприятия;
2.снижения уровня переменных издержек;
3.проведения эффективной налоговой политики;
4.использование метода ускоренной амортизации;
5.продажи неиспользуемых видов основных средств, нематериальных активов и запасов;
6.усиления претензионной работы с целью полного и своевременного взыскания штрафных санкций и дебиторской задолженности.
Результаты оптимизации денежных потоков должны находить отражение при составлении финансового плана предприятия на год с разбивкой по кварталам и месяцам.
Для оперативного управления положительными и отрицательными денежными потоками целесообразно составлять платежный календарь (план платежей точной даты), в котором с одной стороны отражается график поступления денежных средств от всех видов деятельности в течение прогнозного периода времени, а с другой – график предстоящих платежей (налогов, заработной платы, формирования запасов, погашения кредитов и процентов по ним). Платежный календарь дает возможность финансовым службам предприятия осуществлять оперативный контроль за поступлением и расходованием денежных средств, своевременно фиксировать изменение финансовой ситуации и вовремя принимать корректирующие меры по синхронизации положительного и отрицательного денежных потоков и обеспечению стабильной платежеспособности предприятия.
2. Эффективность движения денежного потока и факторы изменения его объема в ЗАО «Птицевод» Ростовского муниципального района
2.1 Организационно-экономическая характеристика ЗАО «Птицевод»
Закрытое акционерное общество «Птицевод» Ростовского муниципального района Ярославской области образовано 29 октября 1965 года на базе межколхозной птицеводческой фермы, преобразованной в государственную птицефабрику с передачей безвозмездно всех имеющихся у нее материально-имущественных ценностей и земель, закрепленных за фермой, птицефабрике. Предприятие расположено на юго-западе Ярославской области в 64 км от Ярославля и в 2 км от города Ростова. По южной части территории предприятия проходят шоссе Ярославль-Москва и Северная железная дорога.
Климат Ростовского муниципального района умеренно-континентальный с теплым и влажным летом, холодной зимой и ясно выраженными сезонами зимы и осени. Ветровой режим характерен преобладанием ветров: северо-западного, западного и южного направления. Неблагоприятные явления погоды наблюдаются в осенне-зимний период.
Земли предприятия ЗАО «Птицевод» расположены в центральной части среднерусской возвышенности. Общая земельная площадь составляет 256 га, всего сельскохозяйственные угодья составляют 116 га, пастбища 4 га. Несмотря на малое количество земли, почвенный покров хозяйства неоднороден. Всего выделено 33 почвенных разновидностей, среди которых около 10 типов. Большая часть почв нуждается в известковании и внесении повышенных доз фосфорно-калийных удобрений.
Высшим органом правления ЗАО «Птицевод» является общее собрание его акционеров. К исключительной компетенции общего собрания акционеров относятся:
1)изменение устава общества, в том числе изменение размера его уставного капитала;
2)избрание членов совета директоров и ревизионной комиссии общества и досрочное прекращение их полномочий;
3)образование исполнительных органов общества и досрочное прекращение их полномочий;
4)утверждение годовых отчетов, бухгалтерских балансов, счетов прибылей и убытков общества и распределение его прибылей и убытков;
5)решение о реорганизации и ликвидации общества.
Текущее руководство деятельностью общества осуществляет генеральный директор Виноградов В.М. Он подотчетен совету директоров и общему собранию акционеров. В подчинении Виноградова В.М. находятся главный инженер, главный бухгалтер, главный зоотехник, главный ветврач, отдел кадров.
Основными видами деятельности ЗАО «Птицевод» является производство и реализация только продукции птицеводства в соответствии с местными природными и экономическими условиями, конъюнктурой рынка, на основе эффективного использования и других ресурсов.
В каждом хозяйстве необходимо возделывать такие культуры и развивать те отрасли животноводства, которые соответствуют его природным и экономическим условиям. Специализацию с.-х. предприятий характеризует состав производимой продукции. Для специализации характерно преимущественное развитие отдельных отраслей, что ведет к обособлению производства различных видов продукции, В результате достигается максимальное увеличение производства при наименьших затратах труда и средств, обеспечивается высокая производительность труда и низкие затраты материальных ресурсов на единицу продукции.
Большинство с.-х. предприятий являются многоотраслевыми, хотя в последние годы увеличилось количество узкоспециализированных хозяйств. Однако, такая узкая специализация возможна далеко не по всем видам с.-х. продукции.
Производственную специализацию определяют по основным товарным отраслям и продуктам, обеспечивающим наибольшую выручку от продаж. Прямой показатель, характеризующий специализацию хозяйства, структура товарной продукции.
Для определения сложившейся специализации рассчитаем структуру товарной продукции ЗАО «Птицевод» за последние 5 лет по фактическим ценам реализации в таблице 2.1.1.
В ЗАО «Птицевод» выручка от продажи продукции сельского хозяйства в среднем за 5 лет составила 30172,6 тыс. руб. В 2005году выручка от продажи сельскохозяйственной продукции по сравнению с 2004 годом увеличилась на 10756 тыс. руб. или на 35,6 %. Так, выручка от продажи яйца увеличилась на 7711 тыс. руб. или на 33,5 % в 2005 году по сравнению с 2004, так же возросла выручка от продажи птицы на 3336 тыс. руб. или на 119,7 %. Это связано с увеличением объема их реализации.
Начиная с 2002 года, предприятие стало реализовывать суточных птенцов для расширения производства. Наибольший удельный вес в структуре выручки за все 5 лет занимает выручка от продажи яиц. Причем, самый большой удельный вес – 91.5 % был достигнут в 2001 году. В 2005 году по сравнению с 2004 годом удельный вес выручки от продажи яиц возрос с 68,5 % до 74.8 %. В среднем за 5 лет он составил 78,5 %.
Значит, ЗАО «Птицевод» специализируется на производстве яиц. Удельный вес выручки от продажи птицы в среднем за 5 лет составил 9,8 %, от продажи суточных птенцов – 9,8 %.
Таким образом, ЗАО «Птицевод» имеет животноводческое направление с яично-мясной специализацией.
Таблица 2.1.1 - Размер и структура товарной продукции ЗАО «Птицевод»
| № | Отрасли и виды продукции | 2001 | 2002 год | 2003 год | 2004 год | 2005 год | В среднем | |||||||
| Денежная выручка, т.р. | в % к итогу | Денежная выручка, т.р. | в % к итогу | Денежная выручка, т.р. | в % к итогу | Денежная выручка, т.р. | в % к итогу | Денежная выручка, т.р. | в % к итогу | Денежная выручка, т.р. | в % к итогу | |||
| 1 | 2 | 3 | 4 | 5 | 6 | 7 | 8 | 9 | 10 | 11 | 12 | 13 | 14 | |
| 1 | Продукция птицеводства, всего: в т.ч. | 22922 | 100 | 24731 | 97,8 | 23327 | 97 | 30226 | 90,11 | 40982 | 100 | 29000,6 | 100 | |
| птица | 812 | 3,5 | 1727 | 7 | 2535 | 10,6 | 2786 | 8,3 | 6122 | 14,9 | 2796,4 | 9,6 | ||
| яйца | 20974 | 91,5 | 21456 | 86,8 | 17677 | 73,4 | 22983 | 68,5 | 30694 | 74,8 | 22756,8 | 78,5 | ||
| суточные птенцы | - | - | 1154 | 4,6 | 2655 | 11,1 | 3944 | 11,76 | 3506 | 8,6 | 2814,8 | 9.7 | ||
| мясо птицы с учетом переработки | 1136 | 5 | 394 | 1,6 | 460 | 1,9 | 513 | 1,53 | 660 | 1,6 | 632,6 | 2,2 | ||
| 2 | В целом по с.-х. производству | 22922 | 100 | 24731 | 97,8 | 23327 | 97 | 30226 | 90,11 | 40982 | 100 | 29000,6 | 96 | |
| 3 | Товары, работы, услуги | 110 | 0,5 | 561 | 2,2 | 699 | 2,9 | 3318 | 9,8 | - | - | 1172 | 4 | |
| Всего | 23032 | 100 | 25292 | 100 | 24026 | 100 | 33544 | 100 | 40982 | 100 | 30172,6 | 100 | ||
В следующей таблице проанализируем коэффициент специализации в среднем за 5 лет, который рассчитывается по формуле:
















