151910 (622019)
Текст из файла
Содержание
1. Електропривід вентиляційних установок
Класифікація вентиляторів
Розрахунок вентиляційних установок
Регулювання параметрів вентилятора
Вибір вентилятора та електропривода до нього
2. Комплекти обладнання для автоматичного керування вентиляційними установками
Особливості автоматизованого електропривода вентиляційних установок в інших технологічних процесах
1. Електропривід вентиляційних установок
Вентиляція - це регулювання повітрообміну в приміщенні з метою створення нормованих параметрів мікроклімату (температури, вологості, газового складу повітря, запиленості та швидкості руху повітря).
У виробничих приміщеннях сільськогосподарських підприємств, як правило, нормовані значення температури та вологості, а в тваринницьких приміщеннях - ще і швидкість руху повітря. Вентиляція приміщень здійснюється припливними і витяжними вентиляційними системами.
Вентиляційні установки бувають з природною тягою, механічним спонукачем тяги та комбіновані. Застосовуються припливні і витяжні механічні системи вентиляції. Припливні системи з механічним спонуканням тяги у деяких випадках мають підігрів повітря за рахунок водяних, парових та електричних калориферів або використовують припливно-витяжні установки серії ПВУ.
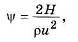
Швидкість руху повітря V, м/с, у витяжних каналах вентиляційної системи з природною тягою визначається залежністю
де Н - висота витяжних каналів, м;
Qвн - температура повітря в приміщенні,°С;
Qзов - температура зовнішнього повітря,°С; 273
2,2 - коефіцієнт об'ємного розширення повітря.
Швидкість руху повітря припливної системи вентиляції з природною тягою залежить від швидкості напору вітру.
Як видно з (1), при рівності температур повітря в приміщенні і зовнішнього витяжна система з природною тягою не діє. Це може мати місце в теплий період року, коли вентиляція тваринницьких та птахівницьких приміщень найбільш необхідна. Тому ці приміщення, як правило, обладнують вентиляційними системами з механічним спонукачем тяги.
Класифікація вентиляторів
Вентилятором називають гідравлічну машину, призначену для перемішування чи переміщення під певним тиском повітря або його сумішей з дрібними частинками за допомогою робочого органа вентилятора у вигляді лопаток. Вентилятори поділяють на радіальні (відцентрові) та осьові.
Основними елементами аеродинамічної схеми радіальних вентиляторів є: вхідний патрубок, робоче колесо і спіральний корпус (рис.1).
Через вхідний патрубок, який має різну конфігурацію (рис.2), підводиться повітря до робочого колеса.
Робоче колесо здійснює передачу енергії від електродвигуна повітрю, яке переміщується. Робоче колесо, як правило, має передній і задній диски, між якими закріплені лопатки. Основним розміром робочого колеса є діаметр, заміряний по кінцях лопаток.
Допускаються модифікації вентиляторів з діаметрами, що відрізняються від стандартних на величину ± 10 % (через 5 %) за рахунок переміщення лопаток до осі обертання або зменшення їх розмірів.
При цьому решта розмірів проточної частини вентилятора залишається незмінними. Це дає можливість одним і тим самим номером вентилятора забезпечити різні подачу і тиск. Так, для радіального вентилятора ВЦ4-75 № 4 при Д/Дном = 1 номінальна подача при частоті обертання 1410 об/хв дорівнює 2,9 тис. м3/год, а тиск - 409 Па. При співвідношенні діаметрів 0,9 та 1,1 згадані параметри відповідно мають значення: 2,34 тис. м3/год і 309 Па та 2,93 тис. м3/год та 630 Па.
Номеру вентилятора відповідає номінальний діаметр робочого колеса, виражений у дециметрах. Державним стандартом рекомендуються такі номери вентиляторів: 1; 1,25; 1,6; 2,5; 3,15; 4; 5; 6,3; 8; 10; 12,5; 16; 20; 25; 31,5; 40; 50.
Рис.1. Аеродинамічна схема раді - Рис.2. Конфігурації вхідних ального вентилятора: патрубків:
1 - робоче колесо; 2 - вхідний патрубок; a - циліндричний; б - конічний;
3 - спіральний корпус в – тороїдальний
Рис.3. Варіанти встановлення корпусів радіальних вентиляторів
Спіральний корпус радіального вентилятора призначений для відведення потоку повітря в певному напрямку, а також для часткового перетворення динамічного тиску повітряного потоку в статичний. Радіальні вентилятори можуть бути правого і лівого обертання. Якщо робоче колесо обертається правильно, за годинниковою стрілкою, вентилятор називають правим, а проти годинникової стрілки - лівим. Правильним обертанням робочого колеса є напрямок за ходом розвороту спірального корпуса. Якщо вентилятор обертається неправильно, то його подача різко зменшується, а напрямок потоку повітря залишається незмінним. Отже, радіальні вентилятори - нереверсивні.
Рис.4. Способи з'єднання радіальних вентиляторів з електродвигунами: а - безпосередньо; б, в, д - через проміжний вал; г, є, є - через пасову передачу
Рис.5. Форми лопаток радіальних вентиляторів:
а - лопатки, загнуті назад, б - лопатки, що закінчуються радіально
в - лопатки, загнуті вперед
Вентилятори номерів від 2 до 6,3 включно виготовляються з поворотними корпусами, що дозволяє встановлювати їх в положення, зображені на рис.3, а номерів більше 6,3 - з поворотними і неповоротними корпусами.
вентиляційна установка електропривод вентилятор
Способи з'єднання радіальних (відцентрових) вентиляторів з електродвигунами наведені на рис.4. Безпосереднє насаджування робочого колеса на вал двигуна допускається лише для малих вентиляторів (до номера 6,3 включно).
Залежно від форми лопаток (рис.5) радіальні вентилятори бувають з лопатками: загнутими назад (Р2 < 90 град), що закінчуються радіально (Р2 =90 град) та загнутими вперед (р2 > 90 град).
Вентилятори з лопатками, загнутими назад, мають криву тиску, що швидко падає при збільшенні подачі.
Тому при зміні гідравлічного опору повітропроводів подача вентилятора змінюється в незначних межах. Споживана потужність цих вентиляторів при зміні подачі в робочій зоні змінюється також незначно. Вентилятори з лопатками, загнутими назад, мають порівняно менший динамічний напір і, як наслідок, менший шум.
Вони найбільш економічні. Коефіцієнт корисної дії вентиляторів з лопатками, загнутими назад, становить 0,77 - 0,85, їх використовують у системах припливної вентиляції тваринницьких приміщень. Вентилятори з лопатками, загнутими вперед, мають нестійку характеристику тиску, потужність зростає при збільшенні подачі, що може призвести до перевантаження двигуна (рис.6).
Вентилятори з лопатками, що закінчуються радіально, мають характеристики, проміжні між вентиляторами з лопатками, загнутими назад і вперед.
Рис.6. Залежність споживаної потужності вентиляторів від подачі: 1 - радіальний з лопатками, загнутими вперед; 2 - радіальний з лопатками, загнутими назад; 3 – осьовий
Рис.7. Радіальний пиловий вентилятор
Радіальні вентилятори призначені для переміщення повітря з механічними домішками (тирса, стружка, полова тощо), вони мають робоче колесо з шістьома довгими, загнутими вперед лопатками (рис.7). Така конструкція робочого колеса практично виключає засмічення вентилятора механічними домішками. Вентилятори мають характеристику тиску, що падає, і криву потужності, що зростає. Розвивають тиск до 2000 - 2500 Па, тобто середній тиск (низький тиск - до 981 ПА, високий - до 11 772 Па). їх використовують також для переміщення чистого повітря.
Осьовий вентилятор складається з циліндричного корпуса, в якому розміщене лопаточне робоче колесо пропелерного типу (рис.8). Характерною особливістю осьових вентиляторів є реверсування повітряного потоку при зміні напрямку обертання привідного двигуна. Реверсивні вентилятори мають симетричний профіль лопаток. Це забезпечує однакові енергетичні показники вентиляційної установки при різних напрямках обертання. Осьові вентилятори створюють невеликий статичний тиск (ЗО - 300 Па). Вони широко використовуються у витяжних вентиляційних системах тваринницьких і птахівницьких приміщень. При збільшенні подачі за рахунок зміни гідравлічних опорів споживана потужність осьовим вентилятором зменшується (див. рис.6, крива 3). Для деяких осьових вентиляторів зміна подачі не призводить до зміни споживаної двигуном потужності.
Рис.8. Осьовий вентилятор (а) та конструкція осьового зварноголопаточного (б) і штампованого колеса (є)
Радіальні та осьові вентилятори оцінюються аеродинамічними характеристиками. Це сукупність кривих, які визначають залежність повного і статичного тиску, що створюються вентилятором, споживаної ним потужності та повного і статичного коефіцієнтів корисної дії від продуктивності (рис.9). Ці характеристики наводяться в довідковій літературі для кожного номера вентилятора.
Рис.9 Аеродинамічні характеристики вентиляторів
а - радіального з лопатками, загнутими назад; б - осьового
Режим роботи вентилятора, що відповідає максимальному значенню повного коефіцієнта корисної дії, називають номінальним. Вірогідність роботи вентилятора в номінальному режимі досить мала. Частіше вентилятор працює з дещо більшою або меншою продуктивністю відносно номінального значення. Робочою ділянкою для характеристики вентилятора, що працює з приєднаним повітропроводом, вважають ту частину, на якій повний коефіцієнт корисної дії становить не менш як 0,9 максимального значення ККД (на рис.9 ця ділянка виділена хвилястими лініями).
Для порівняння вентиляторів різних типів користуються параметром швидкохідності", який визначається із залежності:
де п - частота обертання лопаточного колеса, об/хв; ф - продуктивність вентилятора, м3/с; Н - повний тиск вентилятора, Па.
У радіальних вентиляторів критерій швидкохідності більший при порівняно невеликому діаметрі входу і великій кількості лопаток, а в осьових вентиляторів - при меншому діаметрі втулки і меншому числі лопаток (рис.10).
Радіальні вентилятори з лопатками, загнутими назад, мають критерій швидкохідності в межах 50 - 80, а осьові - 120 - 400.
Радіальні та осьові вентилятори характеризуються також коефіцієнтом повного тиску ці, який визначають за виразом
де Н - повний тиск вентилятора при номінальному режимі, Па; р - густина повітря, кг/м3; и - колова швидкість робочого колеса, м/с.
Рис.10. Конструкції вентиляторів різної швидкохідності: а - малої; б - великої
Швидкохідність пу і заокруглене п'ятикратне значення коефіцієнта повного тиску V) / вказуються в позначенні типу вентиляторів. Так, для радіального вентилятора з номером 6,3, коефіцієнтом повного тиску 0,86 і швидкохідністю 75 його тип записується так: В-Ц4-75-6.3 Для осьового вентилятора з коефіцієнтом повного тиску 0,12, швидкохідністю 300 і номером 6,3 тип позначається В-06-300-6,3.
Розрахунок вентиляційних установок
У виробничих приміщеннях, де утримуються тварини або птиця, у повітрі містяться надлишкові вуглекислий газ, волога, тепло. В овочесховищах виділяється також надлишкова волога і тепло внаслідок біологічних процесів.
Кількість шкідливих домішок у повітрі приміщення є вихідною величиною при визначенні подачі свіжого повітря вентиляційною системою. Залежно від виду шкідливих домішок розрізняють повітрообмін по видаленню надлишкових вуглекислого газу, вологи, тепла.
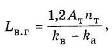
Обмін повітря по видаленню надлишкового вуглекислого газу Ьв г, м3/год, визначається залежністю
де 1,2 - коефіцієнт, який враховує виділення вуглекислого газу мікроорганізмами, підстилкою тощо; Ат - кількість вуглекислого газу, що виділяється однією твариною, м3/год; пт - кількість тварин у приміщенні, голів; кв - допустима концентрація вуглекислого газу в повітрі тваринницького приміщення за об'ємом у відносних одиницях, кв = 0,002 - 0,0025; Аа - концентрація вуглекислого газу в припливному атмосферному повітрі, ка = 0,0003. Обмін повітря по видаленню надлишкової вологи Ьв, м3/год, визначають за виразом:
де 1,1 - коефіцієнт, що враховує випаровування вологи з підлоги; Т^т - кількість водяної пари, що виділяється однією твариною або птицею, г/год; п - кількість тварин або птиці в приміщенні, голів; Т^д п - допустимий вміст водяної пари в приміщенні, де утримуються тварини або птиця, г/м; УГ3 - вміст водяної пари в атмосферному повітрі, г/м. Параметри 1УД п та 1У3 визначають залежностями:
Характеристики
Тип файла документ
Документы такого типа открываются такими программами, как Microsoft Office Word на компьютерах Windows, Apple Pages на компьютерах Mac, Open Office - бесплатная альтернатива на различных платформах, в том числе Linux. Наиболее простым и современным решением будут Google документы, так как открываются онлайн без скачивания прямо в браузере на любой платформе. Существуют российские качественные аналоги, например от Яндекса.
Будьте внимательны на мобильных устройствах, так как там используются упрощённый функционал даже в официальном приложении от Microsoft, поэтому для просмотра скачивайте PDF-версию. А если нужно редактировать файл, то используйте оригинальный файл.
Файлы такого типа обычно разбиты на страницы, а текст может быть форматированным (жирный, курсив, выбор шрифта, таблицы и т.п.), а также в него можно добавлять изображения. Формат идеально подходит для рефератов, докладов и РПЗ курсовых проектов, которые необходимо распечатать. Кстати перед печатью также сохраняйте файл в PDF, так как принтер может начудить со шрифтами.
















