151481 (621736)
Текст из файла
КУРСОВАЯ РАБОТА
Эффект магнитоимпеданса
ИРКУТСК-2009
Содержание
Введение
1. Теоретические основы магнитного импеданса
1.1 Эффект магнитного импеданса
1.2 Основные факторы, влияющие на МИ-эффект
1.2.1 Влияние упругих растягивающих напряжений на магнитоимпеданс аморфных фольг
1.2.2 Температурная зависимость магнитного импеданса
2. Методика исследования магнитного импеданса
3. Практическое применение магнитного импеданса
3.1 Введение
3.2 Датчики магнитного поля и механических величин на основе магнитоимпедансного эффекта
3.2.1 Датчики магнитного поля на основе магнитного импеданса
3.2.2 Датчики механических величин на основе магнитоимпедансного эффекта в аморфных ферромагнитных сплавах
Заключение
Список используемой литературы
Введение
Одной из основных задач исследований физики магнитных явлений, прикладной электродинамики и радиоэлектроники на протяжении последних более чем 10 лет является изучение эффекта магнитоимпеданса. Эффект магнитного импеданса заключается в сильном изменении полного сопротивления проводника переменному току во внешнем магнитном поле. Пристальное внимание исследователей на эффект магнитоимпеданса было обращено сравнительно недавно. Интерес к нему объясняется тем, что в некоторых материалах было обнаружено изменение импеданса во внешнем магнитном поле в два и более раз. Такое значительное изменение импеданса в литературе обычно называют эффектом гигантского магнитоимпеданса, или кратко, ГМИ-эффектом. Доступная технология и простая техника измерений стимулировали поиск новых материалов, обладающих свойствами ГМИ-эффекта, а также детальное исследование ГМИ на высоких и низких частотах. Высокая чувствительность ГМИ-эффекта к внешним воздействиям открывает возможности для создания датчиков на его основе. В частности, ГМИ-датчики могут использоваться для магнитной дефектоскопии газо- и нефтепроводов, в медицине, в градиентометрах и т.д. Кроме того, магнитоимпедансные материалы используются в электронных устройствах, таких как замедляющие устройства, фильтры, фазовращатели, модуляторы. Миниатюрные ГМИ-элементы могут быть использованы для портативных устройств радиосвязи. В сравнении с другими материалами ГМИ-структуры имеют преимущества в чувствительности, скорости обрабатывания и стоимости изготовления
Таким образом, исследование магнитного импеданса представляется весьма актуальным, так как пополняет знания об особенностях этого эффекта и может расширить область его практического применения.
Целью данной работы является знакомство с теоретическими основами магнитного импеданса и методикой его исследования. Для достижения этой цели были поставлены следующие задачи:
1. Изучить научную литературу по теме исследования.
2. Разобраться с основными факторами, влияющими на эффект магнитоимпеданса.
3. На практике познакомиться с методикой исследования магнитного импеданса.
4. Рассмотреть возможности практического применения эффекта магнитоимпеданса.
Работа состоит из введения, трех глав, заключения и списка используемой литературы.
Первая глава носит обзорный характер. Проведен анализ основных работ, посвященных МИ-эффекту. Также проведен анализ работ, посвященных влиянию упругих растягивающих напряжений на МИ-эффект в аморфных фольгах; работ, посвященных изучению температурных зависимостей свойств аморфных ферромагнетиков.Во второй главе описана экспериментальная установка и методика проведения исследований магнитоимпеданса.
В третьей главе рассмотрены возможности практического применения ГМИ-эффекта.
В заключение приводятся основные результаты исследования.
1. Теоретические основы магнитного импеданса
-
Эффект магнитного импеданса
Явление магнитного импеданса было открыто более 70 лет назад в работах Е.П. Харрисона с соавторами, выполненных на железо-никелевых проволоках. Термин «магнитный импеданс» не использовался ни в этих первых публикациях, ни в первых расчетах проведенных позднее.
В 1991г. В.Е. Махоткин с соавторами создали высокочувствительный датчик малых магнитных полей с чувствительным элементом в виде аморфной ленты FeCoSiB, который работал на принципе изменения импеданса под воздействием внешнего магнитного поля. Авторы этой работы, посвященной созданию конкретного прототипа датчика магнитных полей, не обсуждали причины возникновения эффекта и термин «магнитный импеданс» не использовали.
Не был термин «магнитный импеданс» введен и в ранних работах группы К. Мори, ставших предвестниками открытия заново явления магнитоимпеданса в 1994г.
Хотя уже первые эксперименты, в которых наблюдалось изменение импеданса пермаллоевых проволок при приложении внешнего поля, были объяснены на основе классического скин-эффекта и зависимости глубины скин-слоя от величины эффективной магнитной проницаемости, Е.П. Харрисон с соавторами так и не добились повторяемости результатов. Позднее появились более совершенные технологии производства материалов с высокой магнитной проницаемостью, которые обеспечили повторяемость результатов ГМИ-исследований и возможность контролируемой разработки ГМИ-материалов.[3]
ГМИ-образцы разрабатываются различными методами в виде проволок, лент, тонких пленок, многослойных пленочных структур и т.д. Имеются четыре группы магнитных материалов, в которых может наблюдаться ГМИ-эффект:
-
Аморфные сплавы с малым значением константы анизотропии. Среди них система Co-Fe-Si-B имеет небольшую отрицательную константу магнитострикции;
-
Нанокристаллические материалы типа Fe-Cu-Nb-Si-B, в которых размер зерен порядка 10нм;
-
Кристаллические сплавы с чрезвычайно низкой кристаллической анизотропией и низкой магнитострикцией. Среди них – пермаллой (сплав никеля и железа) с высокой концентрацией никеля и с добавками Mo, Re, Ti;
-
Нанокомпозиты, состоящие из смеси однофазных частиц. Такими являются системы на основе Fe-B-N и Co-Cr-O. [6]
Для определения относительной величины эффекта ГМИ исследователи использовали следующее соотношение:
,(1)
где Z(H) – импеданс образца в магнитном поле Н, Z(H=Hнас) – импеданс образца в магнитном поле насыщения, за которое принимается величина максимального внешнего поля, приложенного к образцу. В этом случае величина ∆Z/Z, которую принято называть ГМИ-отношением, всегда положительна, и может достигать значений, больших, чем 100 %.
В работах других авторов ГМИ-отношение рассчитывалось иначе:
,(2)
где Z(H=0) – величина импеданса образца в отсутствии внешнего магнитного поля. При таком подходе величина ГМИ-отношения может быть не только положительной, но и отрицательной.
Различают продольный и поперечный эффекты гигантского магнитоимпеданса [7]. Продольным эффектом принято называть эффект, возникающий при приложении внешнего магнитного поля параллельно направлению протекающего электрического тока. В свою очередь, поперечным эффектом принято называть эффект магнитоимпеданса, возникающий в случае, когда внешнее магнитное поле приложено перпендикулярно направлению протекания электрического тока.
Магнитоимпеданс обусловлен влиянием внешнего магнитного поля на распределение плотности переменного тока по сечению проводника, что связано с проявлением так называемого скин-эффекта. Толщина скин-слоя δ, или, иначе говоря, глубина проникновения переменного тока в объем проводника, определяется по формуле:
,(3)
где с – скорость света в вакууме, Ω – проводимость, ω – циклическая частота переменного тока, μt – эффективная магнитная проницаемость.
Как известно, величина эффективной магнитной проницаемости во многом определяется доменной структурой и процессами ее перемагничивания. Внешнее постоянное магнитное поле Н, приложенное к проводнику, вызывает в нем процессы перестройки доменной структуры, и, следовательно, изменяет величину магнитной проницаемости μθ. Изменение величины μθ приводит к изменению глубины скин-слоя, по которому протекает высокочастотный электрический ток, что в свою очередь приводит к изменению импеданса ферромагнитного образца Z. Связь между импедансом образца Z и его эффективной магнитной проницаемостью может быть, в общем случае, представлена в виде:
Z ~(μθf)-1/2.(4)
Подобные рассуждения оправданы только для средних частот переменного тока и частот порядка десятков МГц, когда толщина скин-слоя δ намного меньше некоторого характерного размера проводника (радиус проволоки, толщина фольги).
На низких частотах, когда скин-эффект мал и плотность тока практически одинакова по всему сечению проводника, изменение импеданса в магнитном поле связывают с так называемым магнитоиндуктивным эффектом. Данный эффект обусловлен внутренней индуктивностью проводника Li(μt), которая, как и толщина скин-слоя, зависит от эффективной магнитной проницаемости μt. Импеданс проводника, определяемый магнитоиндуктивным эффектом, может быть записан в виде:
, (5)
В общем случае импеданс проводника будет определяться как магнитоиндуктивной составляющей, так и толщиной скин-слоя. Однако на высоких частотах магнитоиндуктивная компонента мала и для упрощения расчетов ей обычно пренебрегают.
Таким образом, для наблюдения ГМИ-эффекта необходимо, чтобы поперечная магнитная проницаемость имела большую величину и значительно изменялась во внешнем магнитном поле, то есть для существования ГМИ-эффекта принципиальным является магнитная мягкость материала.
Рассмотрим основные факторы, влияющие на эффект магнитного импеданса.
1.2 Основные факторы, влияющие на МИ-эффект
1.2.1 Влияние упругих растягивающих напряжений на магнитоимпеданс аморфных фольг
Влияние упругих растягивающих напряжений на эффект магнитоимпеданса зависит от величины и знака константы магнитострикции, от взаимной ориентации направления, вдоль которого действуют растягивающие напряжения, направления внешнего магнитного поля, оси легкого намагничивания и поля переменного тока. [9]
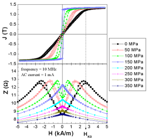
Как показывают исследования [10], проведенные на образцах состава Co77Fe8B15, предварительно отожженных под действием механических напряжений, с ростом величины упругих деформаций растяжения вдоль образца наблюдается рост поперечной магнитной проницаемости и уменьшение поля анизотропии. Это видно по полевым зависимостям импеданса и петель гистерезиса (рис. 1). Так как в образцах при отжиге наведена поперечная ось легкого намагничивания, уменьшение поля анизотропии можно объяснить наведением магнитоупругой анизотропии вдоль длины образца, что можно описать выражением:
,(6)
где Hko – поле анизотропии в отсутствие упругих растягивающих напряжений; Ms – намагниченность насыщения; λs – константа магнитострикции насыщения.
Рис. 1 Петли гистерезиса и полевые зависимости импеданса фольг состава Co77Fe8B15 при различных значениях упругих растягивающих напряжений.
Различный характер влияния упругих растягивающих напряжений на магнитные свойства аморфных фольг был обнаружен при исследовании аморфных фольг двух составов: Co69Fe2Cr7Si8B14 (с отрицательной константой магнитострикции) и Сo67Fe4Cr7Si8B 14 (с положительной константой магнитострикции) [11]. Из петель гистерезиса хорошо видно, что с ростом величины упругих растягивающих напряжений для состава с отрицательной константой магнитострикции наблюдается уменьшение магнитной проницаемости и рост поля анизотропии (рис. 2а), для состава с положительной константой магнитострикции – увеличение магнитной проницаемости и уменьшение поля анизотропии (рис. 2б).
а) б)
Рис. 2 Петли гистерезиса при различных нагрузках для: а) состава с отрицательной магнитострикцией; б) состава с положительной магнитострикцией.
Влияние упругих растягивающих напряжений на эффект магнитного импеданса аморфных фольг состава Fe4Co67Mo1,5Si16,5B11 (Vitrovac 6025Z) исследовались в работе [9]. Образцы были вырезаны перпендикулярно длине исходной ленты. Ось легкого намагничивания в исходной ленте направлена вдоль оси прокатки, поэтому у образцов она будет ориентирована поперек длины. Полученный характер частотных зависимостей ГМИ-эффекта от величины упругих растягивающих напряжений в основном обусловлен поведением максимального импеданса Zm. Это иллюстрируется зависимостями начального Z0 и максимального импеданса Zm от упругих напряжений на различных частотах переменного тока (рис. 3). Как видно, во всем частотном диапазоне упругие напряжения слабо влияют на Z0 и Zm. Однако, следует отметить, что на частотах менее 4 МГц с ростом упругих напряжений наблюдается слабое уменьшение Zm, начальный импеданс Z0 при этом практически не изменяется. На частотах более 4 МГц рост упругих напряжений приводит к увеличению Zm и небольшому уменьшению Z0.
Характеристики
Тип файла документ
Документы такого типа открываются такими программами, как Microsoft Office Word на компьютерах Windows, Apple Pages на компьютерах Mac, Open Office - бесплатная альтернатива на различных платформах, в том числе Linux. Наиболее простым и современным решением будут Google документы, так как открываются онлайн без скачивания прямо в браузере на любой платформе. Существуют российские качественные аналоги, например от Яндекса.
Будьте внимательны на мобильных устройствах, так как там используются упрощённый функционал даже в официальном приложении от Microsoft, поэтому для просмотра скачивайте PDF-версию. А если нужно редактировать файл, то используйте оригинальный файл.
Файлы такого типа обычно разбиты на страницы, а текст может быть форматированным (жирный, курсив, выбор шрифта, таблицы и т.п.), а также в него можно добавлять изображения. Формат идеально подходит для рефератов, докладов и РПЗ курсовых проектов, которые необходимо распечатать. Кстати перед печатью также сохраняйте файл в PDF, так как принтер может начудить со шрифтами.
















