150578 (621293), страница 4
Текст из файла (страница 4)
что соответствует отсутствию нормальной составляющей тока на указанных поверхностях:
так как холловское поле полностью закорачивается контактами. Условие (3.5) с учетом уравнения (3.2) дает выражение для jy
Применение метода разделения переменных к уравнению (3.3) с граничными условиями (3.4) и (3.5) позволяет получить решение для плотности тока вдоль оси у:
Проинтегрировав (3.6) по х от —а/2 до а/2, найдем полный ток, текущий через любое сечение образца, перпендикулярное оси у:
— безразмерный коэффициент, зависящий от отношения длины образца к его ширине а/b, а также от у/b.
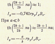
Из выражения для тока 1У видно, что он зависит от координаты у и максимален при y = 0, когда
Проанализируем предельные случаи: а>> b и а <>b
График функции c(a/b; у=0) представлен на рис. 3.2. Как видно из рис. 3.2, условие a>>b практически реализуется уже при а>2b, а условие а<
Соотношения (3.7) и (3.8) используют для определения подвижности основных носителей заряда по результатам измерения тока Холла. Для получения сведений о концентрации носителей заряда необходимо проводить измерения тока Холла совместно с измерениями удельной проводимости.
Рассмотрим схему, предназначенную для измерения тока Холла
(рис. 3.3).
Рис. 3.2. График функции Рис. 3.3. Схема для
с(а/b; у=0) измерения тока Холла
Ток Холла равен сумме токов, протекающих вдоль токовых контактов; он может быть измерен, если расщепить токовые электроды и между их половинами включить токоизмерительные приборы. Поэтому основная особенность образца для измерения тока Холла заключается в том, что один из токовых контактов выполняют в виде двух равных половинок 2 и 3, разделенных узким зазором. В отсутствие магнитного поля через образец протекает ток от источника напряжения ИН. Если контакты 2 и 3 одинаковы и R1=Rt то они эквипотенциальны и ток через гальванометр G не протекает. При наличии тока через гальванометр, изменяя сопротивления резисторов R1 и R2 можно довести его до нулевого значения. Чтобы весь ток Холла протекал через гальванометр и измерялся им, сопротивление гальванометра должно быть много меньше сопротивления области образца между контактами 2 и 3 и сопротивлений R1 и R2. При соблюдении этих требований и наличии магнитного поля гальванометр покажет ток, равный 0,5Iу. Такой же ток потечет по контакту 1.
По существу, рис. 3.3 представляет собой мостовую схему, в которой два плеча моста образованы двумя половинами образца, а два другие — резисторами R1 и R2 . Мост балансируется в отсутствие магнитного поля, а при его наличии производится измерение тока Холла. Вместо гальванометра в измерительной схеме может быть использован дифференциальный усилитель постоянного тока. При прохождении через образец переменного тока условие короткого замыкания можно легко реализовать, используя усилитель с трансформаторным входом. Это особенно важно при проведении измерений на образцах с низким удельным сопротивлением, для которых сопротивление между половинками контактов может оказаться очень малым. При этом емкостное сопротивление приконтактного слоя можно сделать небольшим, тем самым уменьшив влияние контактов, обусловленное как повышенным их сопротивлением, так и инжекцией носителей заряда. Повышение чувствительности измерительной схемы при переменном токе позволяет уменьшить напряжение на образце и проводить измерения в пределах линейного участка ВАХ контактов.
Метод тока Холла позволяет проводить измерения на более высокоомных материалах, чем метод ЭДС Холла. Этому способствует такое соотношение геометрических размеров образца, при котором его сопротивление между токовыми контактами ниже, чем при измерении ЭДС Холла. Небольшое различие в характеристиках половинок контактов практически не влияет на результаты измерений в высокоомных образцах, тогда как небольшая асимметрия в расположении холловских контактов при измерении ЭДС приводит к образованию их значительной неэквипотенциальности, которая затрудняет измерения. Так как ток, протекающий через поперечное сечение образца, складывается из объемной и поверхностной составляющих, то оказывается возможным разделить эти составляющие и исследовать их раздельно. С помощью рассматриваемого метода можно исследовать распределение подвижности носителей заряда вдоль неоднородного по длине канала МДП - структур. Одно из преимуществ метода тока Холла состоит в том, что - он менее подвержен влиянию захвата носителей заряда.
Использование метода тока Холла ограничено в связи с жесткими требованиями, предъявляемыми к качеству омических контактов. Кроме того, данный метод подвержен влиянию контактных шумов, что обусловлено проведением измерений на тех же контактах, через которые течет продольный ток образца. Это обстоятельство также предопределяет повышенные требования к однородности и сопротивлению контактов.
3.3.2 Метод геометрического магнитосопротивления
Измерение подвижности носителей заряда данным методом основано на использовании соотношения (3.10), когда реализованы условия (3.11).
Если образец короткий, холловское поле замыкается металлическими электродами, а электрическое поле направлено вдоль образца, то электрический ток протекает под углом Холла к направлению электрического поля. При этом эффект геометрического магнитосопротивления наблюдается даже в том случае, если эффект магнитосопротивления (3.9) при jy = 0 в материале полностью отсутствует. Если, однако, этот эффект имеет место, то возникающее магнитосопротивление является комбинацией обоих эффектов. Во многих случаях эффект (3.9) много слабее эффекта геометрического магнитосопротивления. Например, в арсениде галлия при комнатной температуре и магнитной индукции 1 Тл Δр/р составляет лишь 2%, тогда как Δрг/р — около 50%.
Рассмотрим взаимосвязь между холловской подвижностью \хп носителей заряда и подвижностью μг, определяемой методом геометрического магнитосопротивления для
полупроводника n-типа:
Пусть R(0) характеризует сопротивление образца в виде пластины, отнесенное к единице площади поверхности, при В = 0, а
ΔR(B) — изменение этого сопротивления, обусловленное магнитным полем с индукцией В. В соответствии с (3.11) в слабых магнитных полях
Где
Соотношение (3.13) указывает на экспериментальную возможность определения коэффициента ξ. Значения коэффициента вычислены для различных механизмов рассеяния по известным значениям r и αг : ξ =1 в приближении постоянного времени релаксации по импульсу; ξ =l,13 при рассеянии на акустических фононах; ξ =1,26 при рассеянии на ионах примеси.
Выражения (3.2) и (3.12) справедливы для образца бесконечных размеров, когда электрическое поле Холла отсутствует. Если пластина имеет конечные размеры, то электрическое поле Холла шунтируется металлическими контактами в меньшей степени и эффект геометрического магнитосопротивления уменьшается по сравнению с бесконечной пластиной. Таким образом, эффект геометрического магнитосопротивления зависит от геометрических размеров образца.
Для образца, имеющего форму прямоугольной пластины, вводят функцию /, учитывающую степень закорачивания ЭДС Холла контактами, которую определяют из уравнения
Левая часть уравнения характеризует относительное геометрическое магнитосопротивление образца конечных размеров, измеряемое экспериментально. В наиболее простом случае функция f зависит от отношения длины образца, к его ширине: а/Ь. Для а/Ь<0,39 с точностью не менее 10% функция f = 1 - 0,543 а/b. При произвольном отношении а/b функция f изменяется и становится зависящей от усредненных значений различных степеней времени релаксации. Следовательно, подвижность μr можно определить лишь для примесных полупроводников со сферическими изоэнергетическими поверхностями.
Значения функции f вычислены для образцов других конфигураций, кроме пластин с двумя плоскопараллельными контактами, которые применяют для измерения подвижности носителей заряда на высокоомных слоях, составляющих часть многослойных полупроводниковых структур
п-п+ и п+-п-п+ - типа. Для этих структур измерение подвижности носителей заряда с помощью эффекта Холла не может быть осуществлено вследствие шунтирующего действия сильнолегированной подложки. Для обеспечения большей точности измерения подвижности методом геометрического магнитосопротивления необходимо, чтобы образец имел низкоомные контакты.
Рис. 3.4. – Экспериментальная зависимость ΔR(B)/R(0)
от В2 для образца арсенида галлия μn = 5840 см2/(В*с)
Хотя сопротивление контактов не влияет на магнитосопротивление образца R(0), что занижает измеренную подвижность носителей заряда, т.е. вносит систематическую погрешность.
Теоретически доказано, что градиент концентрации примеси в образце в направлении электрического поля не приводит к каким-либо изменениям магнитосопротивления. Сопротивление образца как при наличии, так и в отсутствие магнитного поля пропорционально среднему значению сопротивления образца. Это важно, например, для слоев, изготовленных по эпитаксиальной технологии.
Требования к ориентации магнитного поля относительно направления электрического поля или плоскости контакта не слишком жесткие. Например, при отклонении магнитного поля на 26° ошибка в измерении подвижности не превышает 30%.
Для измерения сопротивления образца в магнитном поле используют мостовые схемы постоянного и переменного тока. Измерения проводят при различных значениях индукции магнитного поля с учетом условия
При этом ΔR(B)/R(0) линейно зависит от В2 (рис. 2.17). В соответствии с (3.12) и (3.14)
Благодаря применению электронной схемы извлечения квадратного корня выходной сигнал мостовой схемы можно сделать прямо пропорциональным подвижности носителей заряда, что делает возможной разработку прямопоказывающих приборов для измерения подвижности методом геометрического магнитосопротивления.
ЗАКЛЮЧЕНИЕ
Подводя итоги по курсовой работе, следует отметить, что были выполнены все поставленные передо мной цели:
-
углубить знания раздела дисциплины, касающегося основных свойств полупроводниковых материалов;
-
рассмотреть и изучить свойства полупроводниковых соединений типа AIIIBV;
-
изучить методы подвижности носителей заряда, а также суть гальваномагнитных явлений в полупроводниках
Эффект Холла интересен как метод характеристик полупроводниковых приборов (тип проводимости, концентрация и подвижность носителей) и как принцип действия ряда приборов, которые нашли техническое применение. Также мы увидели зависимость подвижностей носителей заряда в полупроводниках.
Полупроводниковые материалы применяются для изготовления полупроводниковых приборов и устройств микроэлектроники. Особенности электрофизических свойств полупроводников определяются природой сил связи. Пригодность полупроводникового материала зависит от его кристаллической структуры, ширины запрещенной зоны, положения примесных уровней и однородности распределения примеси по объему. Оптическими, термическими, термоэлектрическими, и электрическими свойствами полупроводниковых материалов определяются эксплуатационные характеристики готовых изделий. Особые требования предъявляют к таким свойствам, как тип электропроводности, концентрация введенной примеси, подвижность и время жизни носителей заряда.
ПЕРЕЧЕНЬ ССЫЛОК
1.Пасынков В.В., Сорокин В.С. Материалы электронной техники. – Учеб. Для студентов по спец. ”Полупроводники и диэлектрики” – 2-е изд., перераб. и доп. – М.: Высшая школа, 1986.
2. Коновалов О.М. Полупроводниковые материалы. Х.: Издательство Харьковского ордена трудового красного знамени государственного университета имени А.М.Горького, 1963.
3.Н.И.Слипченко, В.А.Антонова, О.В.Бородин, Ю.О.Гордиенко. Материалы электронной техники. Учебн. пособие – Х.: ХТУРЭ, 2001.
4.А.И.Курносов. Материалы для полупроводниковых приборов и интегральных схем. М.: Высшая школа, 1980.
5. Богородицкий Н.П., Пасынков В.В., Тареев Б.М. Электрические материалы – 6-е изд., перераб. – Л.:Энергия, 1977.
6. Пасынков В.В., Чиркин Л.К. Полупроводниковые приборы. М.: Высшая школа, 1987.
7.Шалимов К.В. Физика полупроводников: Учебник для вузов. – 3-е изд., перераб. и доп. – М.: Энергоатомиздат, 1985.
8.Ф.Блат. Физика электронной проводимости в твердых телах. М.: Мир, 1971.
9.К.В.Шалимов. Практикум по полупроводникам и полупроводниковым приборам.- М.: Высшая школа, 1968.
10.Пасынков В.В., Богородицкий Н.П. Электротехнические материалы. – М.: Высшая школа, 1977
11. http://elib.ispu.ru/library/lessons/Egorov/HTML/Index.html
0>














