113892 (616998), страница 6
Текст из файла (страница 6)
38. В какой реакции из приведенных в задании 35 образуется масляная кислота? (2)
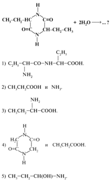
39. Какое вещество образуется в результате полного гидролиза 3,6-диэтил-2,5-дикетопиперазина:
40. Возможно ли образование дипептида между указанными веществами при участии в химическом процессе атома Сl:
Выберите правильный ответ.
-
Да, возможно. Реакция сопровождается отщеплением НCl и образованием пептидной связи. +
-
Нет, пептидная связь образуется только при взаимодействии карбокси- и NН2-групп разных молекул аминокислот с отщеплением воды.
-
Нет, потому что атом Сl, имея свободные электронные пары, входит в сопряжение с р-орбиталями карбонильной группы. Вследствие этого cвязь С–Сl оказывается прочной. Дипептид не образуется.
-
Нет, дипептид по указанной схеме не образуется. Продуктом реакции является
-
Сколько различных дипептидов можно получить, используя только глицин и фенилаланин?
а) 1
б) 2
в) 3
г) 4 +
42. Реагируя с какими веществами при определенных условиях аминоуксусная кислота образует соль?
а) хлороводород +
б) этанол
в) гидроксид натрия +
г) серная разбавленная кислота +
43. Реагируя с какими веществами при определенных условиях глицин формирует пептидную связь?
а) хлороводород
б) гидроксид калия
в) альфа- аланин +
г) глицилглицин +
44. При гидролизе каких веществ можно получить аминокислоту?
а) глицилфенилаланин +
б) крахмал
в) белок
г) твердый жир +
45. Аминокислоту можно получить при взаимодействии аммиака с:
а) хлорбензолом
б) этилбромидом
в) 2- пропанолом
г) β- хлорпропионовой кислотой +
46. В молекуле белка содержится один атом серы и массовая доля серы в белке 0,32%. Вычислите значение молярной массы (г/моль) белка:
а) 1000
б) 10000 +
в) 1*
г)
47. Укажите название веществ, которые реагируют с
:
а) анилин
б) хлорид фениламмония +
в) глицин +
г) бромид триметиламмония +
48. С хлороводородом реагируют:
а) анилин +
б) хлорид метиламмония
в) глицин +
г) бромид триметиламмония +
49. Какие утверждения в отношении строения и свойств белков справедливы?
а) первичная структура- последовательность альфа- аминокислотных звеньев в линейной полипептидной цепи +
б) продукт реакции поликонденсации β—аминокислот
в) при гидролизе образует смесь различных альфа – аминокислот +
г) гемоглобин- белок с четвертичной структурой +
50. Какие из названных соединений обладают амфотерными свойствами?
а) метиламин
б) анилин
в) аминоуксусная кислота +
г) альфа- аланин +
51. Биполярный ион аминокислоты образуется в результате:
а) взаимодействия со щелочами
б) взаимодействия с галогеноводородами
в) образования полипептидов
г) внутренней нейтрализации +
52. Амин может образоваться в результате реакций:
а) гидролиза дипептида
б) взаимодействия бромида фениламмония с водным раствором щелочи+
в) внутренней нейтрализации аминокислоты
г) восстановления нитробензола водородом +
53. С какими веществами, перечисленными ниже реагирует гликокол:
а) бромоводород +
б) гидроксид калия +
в) 1- пропанол +
г) β- аланин +
54. Сколько пептидных связей входит в состав молекулы тетрапептида?
а) 1
б) 3 +
в) 2
г) 4
55. Реагируя с каким веществом глицин образует сложный эфир?
а) гидроксид натрия
б) этанол (кислая среда) +
в) бромоводород
г) аминоуксусная кислота
56. Реагируя с какими веществами хлороводород образует соль?
а) фенол
б) альфа- аланин +
в) анилин +
г) нитробензол
57. Чтобы выделить из бромида фениламмония фениламин нужно воспользоваться реактивом:
а) водой
б) водородом
в) водным раствором щелочи +
г) бромной водой
58. Процесс синтеза метионина включает:
а) 6 стадий
б) 2 стадии
в) 1 стадию
г) 5стадий +
59. Побочные продукты при синтезе метионина:
а) сероводород и циановодород +
б) серная кислота
в) формальдегид
г) фенол
60. Одним из промышленных способов метионина является:
а) синтез из метилового спирта +
б) синтез из ацетилена
в) синтез из азотной кислоты
г) синтез из элементарной серы [11].
| Количество выполненных заданий, в % | Оценка |
| 35-40 | неудовлетворительно |
| 40-60 | удовлетворительно |
| 60-95 | хорошо |
| 95-100 | отлично |
Литература
1.В.М.Комягин «Экология и промышленность».
2.Одум Ю. «Основы экологии» - М.:Мир, 1985г.
3.Никитин Д.П. Новиков Ю.В. Окружающая среда и человек. – М.: 1986г.
4. Горковенко М. Ю. Поурочные разработки по химии, Москва «ВАКО»,
5. Ахметов Н. С. Учебник для 11 класса общеобразовательных учреждений. М.: Просвещение, 1998 г.
6.Рудзитис Г. Е., Фельдман Р. Г. Учебник для 11 класса средней школы. М.: Просвещение, 1992
7. Котова Т.А., Волкова М.В. Успехи в области производства и применения аминокислот. - М.:ОНТИТЭ Имикробиопром, 2003.
8. Опытно-промышленный регламент № 254 производства L-триптофана микробиологическим синтезом. - М.; Бишкек, 1994. - 195 с.
9. Литовченко И.В., Макаренко К.В., Стручалина Т.И. Проблемы и перспективы анаэробной микробиологической конверсии аминокислот в биогаз. - Фрунзе: Илим, 1990. - 20с. .
10. Литовченко В.В., Таштаналиев А.С., Стручалина Т.И.., Прохоренко В.В. Биотрансформация органических отходов производства аминокислот // / Изв. НАН КР. - 2001. - № 1-2. - С. 31-35.
11. Габриелян О.С., Остроумов И.Г., Остроумова Е.Е. Органическая химия в тестах, задачах, упражнениях. 10 класс: Учеб. пособие для общеобразовательных учреждений. – М.: Дрофа, 2004. – С. 190–215.
12. Энциклопедия для детей. Т. 17. Химия / Под ред. В.А. Володина. – М.: Аванта+, 2001. – С. 370–393
13. Барковский Е. В., Врублевский А. И. Тесты по химии, Минск, Юнипресс, 2002
14. Химия: Большой справочник для школьников и поступающих в вузы / Е. А. Алферова, Н. С. Ахметов, Н. В. Богомолова и др. М.: Дрофа, 1999. 485-498















