113892 (616998), страница 5
Текст из файла (страница 5)
Денатурация – это разрушение белка до структуры под действием , а также под действием растворов различных химических веществ ( , , солей) и радиации.
Будут ли белки после денатурации проявлять свои специфические свойства?
Большинство белков при денатурации утрачивают биологическую активность, т.к. белки проявляют свои специфические свойства только в высших структурах, т.е. третичной и четвертичной.
Как вы полагаете, можно ли разрушить первичную структуру белка?
Наверное, можно.
Это происходит в вашем организме каждый раз, когда в него поступает белковая пища! Сейчас мы будем рассматривать одно из самых важных свойств белков, а именно – гидролиз.
Гидролиз белка. При гидролизе белка происходит разрушение первичной структуры.
Какие вещества будут образовываться при гидролизе?
Гидролиз – это разрушение структуры белка под действием , а так же водных растворов кислот или щелочей.
Подумайте, какое значение для нашего организма имеет гидролиз белков и где он происходит?
Получение аминокислот для нужд организма в результате процессов пищеварения, начинается в желудке, заканчивается в двенадцатиперстной кишке.
Цветные реакции белков – качественные реакции на белки.
а) Биуретовая реакция (Демонстрация опыта).
б) Ксантопротеиновая реакция (Демонстрация опыта).
Заполняем рабочие листки (обратить внимание на условия протекания этих реакций и их важность для проведения опытов на следующем уроке.) [7-9].
IV. Закрепление
ТЕСТЫ
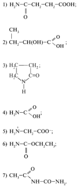
1. Выберите формулу аминокислоты:
2. В задании 1 укажите химическую формулу амида.
3. В задании 1 укажите химическую формулу уреида.
4. Какая формула в задании 1 может принадлежать
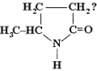
-бутиролактаму?
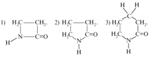
5. Среди приведенных ниже химических формул укажите формулу аминокислоты, содержащей ароматический заместитель.
6. Какое вещество в задании 5 имеет название «пролин»?
7. Какое вещество (см. задание 5) является изомером антраниловой кислоты?
8. Подберите второе название для 2-амино-3-меркаптопропановой кислоты.
1)Валин.
2)Серин.
3)Тирозин.
4)Метионин.
5) Цистеин. +
6)Треонин.
7) Аспарагин.
9. Какое вещество в задании 8 является амидом аминокислоты? 7)
10. Какое название получит данная аминокислота по номенклатуре ИЮПАК:
H2N–(CH2)4–CH(NH2)–COOH?
1) 2,6-Диаминогексановая кислота. +
2)2,6-Диаминокапроновая кислота.
3)
,
-Диаминокапроновая кислота.
4) 1-Карбокси-1,5-диаминопентан.
11. В формуле аминоуксусной кислоты стрелками показано смещение электронной плотности по
-связям:
В каком месте направление смещения электронной плотности показано неправильно? В ответе укажите номер связи. (2)
12. Какой из пронумерованных атомов в молекуле глицина является объектом атаки электрофильных частиц? (1)
13. Известно, что аминокислоты представлены в водных растворах в виде биполярных ионов (цвиттер-ионов):
Определите ошибочное утверждение в описании строения и свойств цвиттер-иона.
1) Цвиттер-ион существует в растворах, у которых рН соответствует
зоэлектрической точке аминокислоты.
2) Биполярная частица не может проявлять кислотные свойства, т. к. в карбоксигруппе отсутствует ион Н+.
3) При добавлении в раствор более сильной кислоты карбоксигруппа приобретает свой обычный состав: –СООН.
4) В электрическом поле цвиттер-ион неподвижен.
5) Цвиттер-ионы образуют все аминокислоты независимо от строения радикала.
6) Водные растворы, содержащие указанные ионы, не изменяют окраски индикаторов. +
14. Выберите неверный пункт в описании строения и свойств аспарагиновой кислоты
НООС–СН2–СН(NН2)–СООН.
-
В водном растворе образует ионы, подвижные в электрическом поле.
-
Фиолетовый лакмус в растворе аспарагиновой кислоты приобретает красное окрашивание.
-
Ионы, образуемые аспарагиновой кислотой в водном растворе, в электрическом поле перемещаются к аноду.
4) Ионы аспарагиновой кислоты в электрическом поле неподвижны, т. к. представляют собой биполярные ионы. +
5) В водном растворе аспарагиновая кислота присутствует в следующей форме:
15. Все аминокислоты, образующие белки, –
-аминокислоты. Их строение (за исключением пролина) может быть представлено следующими структурной и проекционной формулами:
Определите неверное утверждение в описании проекционной формулы аминокислоты и свойств молекулы.
1) Это оптически активное соединение вращает плоскость поляризованного света влево или вправо.
2)Данная аминокислота относится к D-ряду.
3) Принадлежность к D-ряду определяется вращением плоскости поляризации света. В данном случае наблюдается вращение плоскости поляризации вправо. +
4) Принадлежность к D- или к L-ряду определяется относительным расположением атома Н и NH2-группы при С-2 в пространстве, группы –СООН и –R должны быть удалены от наблюдателя. При изображении на плоскости удаленность показана вертикальной линией связи; приближенность к наблюдателю демонстрирует горизонтальная линия.
5) Аминокислота приведенной оптической конфигурации не может быть обнаружена в белках.
16. Какое утверждение в описании строения и свойств лизина
наиболее сомнительно?
1) Вещество может быть названо
,
-диаминокапроновой кислотой.
2) Это незаменимая аминокислота, т. к. в организме человека невозможен ее синтез из более простых веществ.
3) Водные растворы лизина имеют рН > 7 и изменяют цвет индикаторов фиолетового лакмуса и бесцветного фенолфталеина.
4) В образовании пептидной цепи белка у лизина участвуют карбоксильная группа и
-аминогруппа. +
17. При каких условиях возможно такое превращение:
1) Достаточно растворения исходного вещества в воде. В водном растворе устанавливается равновесие между указанными формами.
2) При добавлении к исходному веществу раствора кислоты.
3) При добавлении к водному раствору вещества раствора основания. +
4) Подобный переход наблюдается при действии на цвиттерион сил электрического поля.
5) Переход возможен только при действии на исходное вещество окислителей.
18. В какой форме существует аминокислота валин в растворе при рН, соответствующем изоэлектрической точке для данной аминокислоты?
19. Одним из способов получения аминокислот является синтез галогенсодержащих карбоновых кислот с последующим действием избытка аммиака. Для каких аминокислот наиболее приемлем данный способ получения?
1)
-Аминокислот. +
2)
-аминокислот.
3)
-Аминокислот.
4)
-Аминокислот.
20. Какое исходное вещество необходимо взять для получения аминокислоты по приведенной схеме:
NН4CN + Х
-аминомасляная кислота?
Вещество Х – это:
21. Укажите наиболее вероятный продукт реакции метакриловой кислоты с аммиаком:
22. Какое вещество образуется в результате следующих превращений:
23. В данной схеме превращений определите вещество Х1:
24. В задании 23 определите конечный продукт цепочки превращений, вещество X4 (укажите основной продукт).
25. Какое вещество Х следует взять для получения
-аминоизовалериановой кислоты из метилового эфира нитроуксусной кислоты:
1) СН3–СНСl–CН3. +
2)СН3–СН2–CН2Сl.
3)(СН3)2СН–СН2Сl.
4)СН2Сl–СН2–СH3.
5) (СН3)3ССl.
26. Выберите правильное утверждение, описывающее приведенную ниже схему:
1) Аминокислота проявила специфическое свойство, которое следует рассматривать как результат присутствия в молекуле одновременно NН2- и СООН-групп.
2) Аминокислота проявила свойства основания, т. к. изменения произошли по
-группе, которая определяет основные свойства вещества.
3) Аминокислота в таком состоянии не может проявлять свойства кислоты, т. к. в карбоксигруппе отсутствует атом водорода.
4) Аминокислота проявила свойство кислоты, т. к. в реакции отщепляются ионы Н+. +
5) Течение реакции по приведенной схеме невозможно.
27. Какое вещество вероятнее всего образуется в реакции
H2N–(СН2)2–СООН + РСl5
... ?
28. Аминокислоты могут быть проалкилированы с помощью ангидридов кислот. Вам предлагается определить продукт реакции, идущей по следующей схеме:
29. Какое условие будет способствовать реакции этерификации
-аминопропионовой кислоты с этанолом:
1)Добавление щелочи.
2) Аминокислота должна быть взята в виде водного раствора.
3)Повышение давления.
4) Добавление соляной кислоты. +
30. Какое вещество является продуктом реакции этерификации аланина с этанолом в присутствии бромоводорода?
31. Каким веществом следует воспользоваться для получения
32. Какое вещество из предложенных в задании 31 при нагревании легко отщепляет аммиак и образует непредельную кислоту? (3)
33. Какая аминокислота из предложенных в задании 31 при нагревании отщепляет воду и может образовать производное дикетопиперазина? (1)
34. Какой из предложенных лактамов легче подвергается гидролизу?
35. Какая из нижеприведенных химических реакций при указанных условиях приведет к дезаминированию аминокислоты?
36. В ходе какой химической реакции (см. ответы к заданию 35) произойдет декарбоксилирование аминокислоты? (4)
37. Какая химическая реакция из приведенных в задании 35 приведет к образованию пропанамина? (4)















