106855 (616157)
Текст из файла
Содержание:
Введение
История
1. Биологические основы звука
2. Физические основы звука
2.1 Уравнение малых поперечных колебаний струны
2.2 Метод Ферье для уравнения колебаний ограниченной струны
3. Звуковые явления
3.1 Музыкальные источники
3.2 Виды музыкальных источников
Введение
В настоящее время многими исследователями наблюдается тенденция к сближению гуманитарных и точных дисциплин. Музыка и математика. Так ли далеки эти сферы, как кажется на первый взгляд? Этот вопрос имеет продолжительную историю.
Интересно отметить, что существует некое явление, которое связывает музыку и математику независимо от того, обращается ли композитор в своей работе к математике или нет. В геометрии есть такое понятие – золотое сечение, это разделение отрезка на две неравные части таким образом, что меньшая относится к большей так, как большая к целому. Величина большего отрезка – 0,618, меньшего – 0,382. Их отношение 0,618:0,382=1,618 – золотое сечение. Впервые оно встречается в «Началах» Эвклида. Однако золотое сечение обнаруживается не только в геометрии. Многие исследователи, желая раскрыть секреты гармонии, находили золотую пропорцию в архитектуре, живописи, скульптуре, литературе. Золотое сечение обнаруживается также в пропорциях человеческого тела, работа здорового сердца и мозга также содержит золотую пропорцию. Интересно отметить, что это явление обнаруживается и в музыке. Композиция многих музыкальных произведений содержит высшую точку, кульминацию. И размещается эта кульминация чаще не в середине произведения, она смещена, и находится как раз в точке золотого сечения. Эту особенность заметил советский музыковед Л. Мазель. Причём такое построение характерно не только для всего произведения в целом, но и для его частей. И встречается оно чрезвычайно часто. Специально занимался исследованием этой проблемы Л. Сабанеев, который изучил множество музыкальных произведений различных композиторов. Чаще всего золотое сечение встречается в произведениях Аренского, Бетховена, Гайдна, Моцарта, Скрябина, Шопена, Шуберта. Такое расположение кульминации придаёт особую выразительность и гармоничность композиции произведения, а также облегчает восприятие.
Хотелось бы также заметить, что математика может восприниматься с эстетической точки зрения. Хорошо решённая задача, верное доказательство, изображение геометрической фигуры доставляют наслаждение как гармоничные явления.
Представляется целесообразным включать в курс математики в гуманитарном вузе то, что сближает математику с искусством, музыкой, филологией. Включение такой информации позволит взглянуть на математику с другой, непривычной точки зрения и вызвать интерес к этому предмету.
История
Началось всё ещё в древности, когда не было разделения на гуманитарные и естественные науки. Наука рассматривалась как одно целое. Например, древнегреческий учёный Пифагор и его последователи занимались изучением арифметики, геометрии, астрономии, музыки. Каждая дисциплина исследовала число в разных аспектах: математика – число само по себе, геометрия – число в пространстве, музыка – число во времени, а астрономия – число в пространстве и времени. И всё это учение называлось «математа», что значит науки. Пифагор считал число сущностью вещей. И именно числа, по его мнению, управляют гармониями в музыке. Таким образом, он утвердил музыку как точную науку.
Обычно имя Пифагора связывается с исследованиями в области арифметики и геометрии. Но музыканты знают, что именно Пифагор открыл математические отношения, которые лежат в основе музыкальных интервалов, и создал музыкальный строй, оказавший сильнейшее влияние на развитие европейской музыки. Строй этот так и назывался «пифагоров строй», и создавался он вначале опытным путём, а потом с помощью математических расчётов. (Правда, строй этот оказался несовершенным. Современный, так называемый темперированный музыкальный строй существует с XVII века.)
Но учение пифагорейцев принимали не все. Например, Аристотель критиковал пифагорейцев. Он считал их представления о роли чисел неверными и всё учение слишком упрощённым.
Многие древнегреческие учёные наряду с изучением математики, астрономии, философии занимались изучением музыки: Клавдий Птолемей, Эратосфен, Архит. Другим представителем пифагорейского направления был античный учёный Никомах. Он также признавал числовые закономерности основой музыкальных созвучий. Однако он интерпретировал учение Пифагора в мистическом духе, называя число божественной основой музыки.
В эпоху средневековья музыка также воспринималась в первую очередь как наука, а уже потом как искусство. Вообще средневековые авторы многое взяли от пифагорейской идеи. Вслед за Пифагором они считали музыку наряду с арифметикой, геометрией и астрономией наукой о числах. Мистика чисел, как традиция поздней античности, была очень распространена среди теоретиков и композиторов Средневековья. Например, единица была символом Бога, церкви и олицетворяла музыку в целом; число три выражало триединство Бога (очень часто музыкальные произведения состоят из трёх частей), число семь выражало связь музыки со вселенной и ему соответствуют семь тонов в музыке.
Значительным музыкальным теоретиком средневековья является христианский теолог Аврелий Августин. Для него также музыка в первую очередь наука. Он считал, что число лежит в основе всякого искусства: «Прекрасные вещи нравятся нам благодаря числу, в котором, как мы уже показали, обнаруживается стремление к равенству. Ведь сказанное обнаруживается не только в красоте, относящейся к слуху, или в движении тел, но также и в зримых формах, где оно уже чаще обозначается как красота». Большое внимание Августин уделял понятию «пропорции», которое лежит в основе красоты.
До начала XVIII века музыка продолжала считаться наукой. Французский композитор и музыкальный теоретик Жан Филипп Рамо в своём «Трактате о гармонии», написанном в 1722 году, говорил о том, что «музыка подчинена арифметике», уделял много внимания физико-математическим исследованиям. Правда, французский математик д’Аламбер, современник Рамо, считал его математические исследования в области музыки бесполезными, признавая, однако, что Рамо «навеки останется первым, кто превратил музыку в науку».
Иоганн Маттесон – представитель немецкого Просвещения считал, что математические отношения хоть и присутствуют в музыке, но не столь важны, что необязательно обладать основательными познаниями в математике, для того чтобы быть хорошим музыкантом и создавать музыкальные произведения. «Искусство чисел – лишь слуга красоты», математика не может быть душой музыки – таковы были его идеи.
Впоследствии проблема взаимоотношения математики и музыки уже не обсуждалась так остро и конкретно. Но если проанализировать историю музыки, можно сделать вывод о том, что музыка и математика то сближаются, то отдаляются друг от друга - периодически происходит смещение акцента на строгое, математическое начало в создании музыки, которое впоследствии сменяется отказом от него. Например, полифония, в особенности полифония строгого стиля эпохи Возрождения отличается математической выверенностью. Классическая музыка Моцарта, Гайдна также подчиняется строгим правилам, правда, уже не таким строгим, как в полифонии. А вот романтики стремятся к большей свободе в музыкальных средствах.
А в музыке начала XX века происходит возврат к математическому композиторскому мышлению. Игорь Стравинский, хорошо знавший музыку мастеров эпохи Ренессанса, также находил много общего между математикой и музыкой. «Способ композиторского мышления – способ, которым я мыслю, - мне кажется, не очень отличается от математического», «музыкальная форма математична хотя бы потому, что она идеальна» - эти слова Стравинского ярко выражают его убеждения. В серийной музыке представителей нововенской школы (Шёнберг, Веберн) отчётливо проявляется математическое начало. Современные композиторы С. Губайдулина, Э. Денисов, К. Штокхаузен использовали при написании музыки такие математические закономерности как ряд Эратосфена (простые числа, делящиеся на единицу и на самих себя), числа Фиббоначи (ряд чисел, каждое последующее является суммой двух предыдущих), арифметическую и геометрическую прогрессии.
Но со временем многие композиторы отходят от такого прямого обращения к математике, которая в процессе сочинения музыкального произведения уходит на второй план. А. Шнитке так сказал об этом: «Я всё-таки писал музыку, которую слышу, а не ту, которую по серийным законам вырисовывалась и вычислялась на бумаге».
1. Биологические основы звука:
Поскольку нас интересуют не колебания вообще, а лишь воспринимаемые слухом человека, то следует ввести здесь определенные ограничения.
Во-первых, слухом воспринимаются не любые частоты, а лишь лежащие внутри определенного диапазона. Человек слышит звуки от 10-20 Hz до 20 KHz. В музыке используется лишь часть этого диапазона.
Во-вторых, способность человека различать звуки разной частоты составляет Δf/f = 0,003…0,004. Это будет, например, на 1000 Гц при уровне 80 дБ порядка 3 Гц. Полутон (который будет введён позже) – это и есть минимальный интервал, ещё различимый человеком (или лишь минимально превышающий такой интервал). В некоторых культурах используется, правда, еще более мелкое дробление.
В-третьих, лишь меньшинство людей обладают абсолютным слухом, т.е. способны различать звуки по их частоте. Большинство же способны различать лишь интервалы между звуками, т.е. обладают относительным слухом.
И, наконец, в-четвертых, связь ощущаемой высоты звука с частотой является функцией нелинейной и воспринимается пропорционально логарифму частоты (закон Вебера-Фехнера). Это означает, что характеристикой интервала является не разность частот, а их частное. К примеру, звуки с частотами 440, 880 и 1760 Гц кажутся равноудаленными.
В музыке принято говорить не о частоте звука, а о его высоте, которая является логарифмом частоты колебаний.
На биологическом уровне можно поделить уже введенные интервалы на консонансы и диссонансы. Консонансом называется слитное, согласное звучание двух тонов. В противовес этому диссонанс – это звучание тонов, «не сливающихся» друг с другом, неблагозвучный интервал.
Наименование Интервальный Степень
интервала коэффициент консонансности
Прима 1/1 вполне совершенный
Октава 2/1 вполне совершенный
Квинта 3/2 совершенный
Кварта 4/3 совершенный
Большая секста 5/3 несовершенный
Большая терция 5/4 несовершенный
Малая терция 6/5 несовершенный
Малая секста 8/5 несовершенный
Консонанс выражается математически простыми численными соотношениями звучащих частот, а физически – лучшим совпадением обертонов обоих звуков. В этом смысле, однако, различие между консонансом и диссонансом лишь качественное. А человеческое восприятие делит интервалы на «хорошие» и «плохие».
2. Физические основы звука:
Звук есть воспринимаемые человеческим слухом колебания воздуха. Музыкальные звуки порождаются музыкальными инструментами (в этом смысле человеческий голос тоже условно причисляется к музыкальным инструментам). Традиционной моделью для изучения музыкальных звуков является колеблющаяся струна. Струны лежат в основе большого числа инструментов (не только струнных, но и, например, клавишных). Рассмотрим колеблющуюся струну, чтобы узнать, что же за колебания воздуха она порождает.
Колебания струны изучали ещё пифагорейцы. Они использовали для этого несложный прибор под названием монохорд, представляющий из себя единственную струну, закрепленную в двух точках над резонатором.
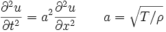
Значительно позже, в XVIII веке, после работ Ньютона и Лейбница в области физики и дифференциального исчисления, было выведено уравнение колебания струны - так называемое волновое уравнение (породившее новую область в науке - математическую физику):
Здесь t - время; x - координаты некой точки на струне в момент времени t;
u=f(x,t) - функция отклонения точки x в момент времени t от положения равновесия;
- коэффициент пропорциональности, характеризующий упругие свойства струны; T - сила натяжения струны;
- плотность однородной струны. Предполагается, что струна совершает малые колебания в одной плоскости.
Волновое уравнение есть не что иное, как следствие второго закона Ньютона. Левая часть - ускорение струны в точке x, а правая часть - отнесенная к массе струны сила, вызывающая это ускорение, которая тем больше, чем больше вогнутость струны
Характеристики
Тип файла документ
Документы такого типа открываются такими программами, как Microsoft Office Word на компьютерах Windows, Apple Pages на компьютерах Mac, Open Office - бесплатная альтернатива на различных платформах, в том числе Linux. Наиболее простым и современным решением будут Google документы, так как открываются онлайн без скачивания прямо в браузере на любой платформе. Существуют российские качественные аналоги, например от Яндекса.
Будьте внимательны на мобильных устройствах, так как там используются упрощённый функционал даже в официальном приложении от Microsoft, поэтому для просмотра скачивайте PDF-версию. А если нужно редактировать файл, то используйте оригинальный файл.
Файлы такого типа обычно разбиты на страницы, а текст может быть форматированным (жирный, курсив, выбор шрифта, таблицы и т.п.), а также в него можно добавлять изображения. Формат идеально подходит для рефератов, докладов и РПЗ курсовых проектов, которые необходимо распечатать. Кстати перед печатью также сохраняйте файл в PDF, так как принтер может начудить со шрифтами.
















