94924 (613175)
Текст из файла
МИНИСТЕРСТВО ОБРАЗОВАНИЯ РОССИЙСКОЙ ФЕДЕРАЦИИ
Государственное образование учреждение высшего и профессионального образовании
«Северо-Осетинская Государственная Медицинская Академия»
Фармацевтический факультет
Кафедра фармации
КУРСОВАЯ РАБОТА
По дисциплине «Фармацевтическая химия»
Тема работы:
Производные индола. Арбидол 10 капсул по 100 мг
Зав.кафедрой
доц. Бидарова Ф.Н
«___»____________20__г.
Научный руководитель
асс. Хубаева Т.О.
«___»____________20__г.
Исполнитель:
студентка группы 502 курса 5
Такоева Дз. И.
Владикавказ 2010 г.
Содержание
Введение
Глава I. Литературный обзор
1.1 Производные индола. Общая характеристика
1.2 Производные индолилалкиламинов:Триптофан, Серотонин, Индометацин, Арбидол
1.3 Историческая справка
Глава II. Экспериментальная часть
2.1 Физические свойства
2.2 Описание
2.3 Методика определения подлинности
2.4 Методика определения средней массы
2.5 Методика определения распадаемости
2.6 Методика количественного определения
2.7 Хранение, применение
2.8 Упаковка
2.9 Маркировка
3.Заключение
4.Список литературы
5.Приложения
ВВЕДЕНИЕ
Актуальность темы
В связи с недавним активным обсуждением темы свиного гриппа в новостных источниках, очень актуальными стали различные лекарства против него, одним из таких является арбидол. Это один из препаратов, который судя по исследованиям, является неплохим профилактическим средством. А также, арбидол отзывы получает довольно лестные от тех, кто его принимал и избавился от гриппа. По словам ученых, вирусы свиного гриппа неустойчивы к этому лекарству. Стоит отметить, что на данный момент он является одним из самых раскупаемых в аптеках России и стран СНГ.
Высокий уровень безопасности арбидола подтвержден результатами клинических исследований, проведенных с участием более 14 тысяч пациентов, и 20-летним опытом широкого применения арбидола в качестве лечебного и профилактического средства при гриппе и ОРВИ у взрослых и детей.
Широкий спектр противовирусного действия арбидола в отношении возбудителей инфекций, имеющих одинаковые симптомы, а также наличие у него иммуномодулирующего и интерферониндуцирующего эффектов позволяют рассматривать его как препарат, лечение которым можно начинать без проведения предварительной диагностики.
Арбидол включен в перечень Жизненно необходимых и важнейших лекарственных средств, а так же рекомендован Министерством здравоохранения и социального развития Российской Федерации для профилактики и лечения гриппа, вызванного высокопатогенным вирусом типа A H1N1.
Цель и задачи работы. Целью данной работы был полный фармакопейный анализ производного индола лекарственного препарата «Арбидол». Для реализации поставленной цели необходимо решить следующие задачи:
-
овладеть методами анализа доброкачественности;
-
овладеть методами качественного и количественного анализа Л.П. производных фенотиазина;
-
рассчитать содержание лекарственного вещества в лекарственной форме.
Методы:
Физико-химические (УФ-спектрофотометрия, определение распадаемости, определение средней массы).
Курсовая работа состоит из 22 страниц печатного текста, содержит введение, литературный обзор, экспериментальную часть, схемы, таблицы, рисунки, заключение, приложение, списка литературы, включающего 3 издания отечественной литературы и 2 ссылки на ресурсы Интернета.
ГЛАВА I. ЛИТЕРАТУРНЫЙ ОБЗОР
1.1 Производные индола. Общая характеристика
Молекула индола (бензпиррола) представляет собой конденсированную систему, состоящую из бензольного и пирролового циклов. Внешний вид: в виде листовидных бесцветных кристаллов, с запахом нафталина. Является родоначальником широкого класса природных соединений. Содержится в каменноугольной смоле, в некоторых эфирных маслах (например, в масле жасмина).
Кольцо индола — фрагмент молекул важных природных соединений (напр., триптофана, серотонина, мелатонина, буфотенина). Ядро индола входит в состав индольных алкалоидов. Сам индол - фиксатор запаха в парфюмерии; его производные используют в производстве биологически активных соединений (гормонов, галлюциногенов) и лекарственных средств (напр., индопана, индометацина).
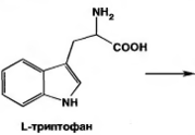
Производными индола является большая группа лекарственных веществ, которые были созданы на основе изучения функций эндогенных физиологически активных веществ, имеющих сходную химическую структуру. Одно из них – триптофан, относится к числу незаменимых аминокислот, входит в состав белков в малых количествах. Его биосинтез происходит в результате конденсации антраниловой кислоты с серином.
Производным индолилалкиламинов является серотонин (5-окситриптамин) – биогенный амин, образующийся в организме путем биосинтеза из триптофана (схема 1):
Схема 1
В 50-х гг. была установлена роль серотонина как медиатора ЦНС, а также его способность сужать кровеносные сосуды. Благодаря этому сам серотонин применяют как антигеморрагическое средство.
Также среди производных индола один из первых нестероидных противовоспалительных препаратов – индометацин, созданный в 70-х гг. В последующем на его основе были созданы менее токсичные лекарственные вещества аналогичного действия, производные фенилуксусной, фенилпропионовой и других кислот (ибупрофен, ортофен, пироксикам и др.).
В последние годы было создано новое эффективное отечественное лекарственное средство арбидол (производное индол-3-карбоновой кислоты), сочитающее в себе противовирусное действие и иммуномодулирующую активность.
Индол – структурная основа целого ряда алкалоидов. Физостигмин, содержащийся в калабарских бобах, западноафриканского растения Physostigma vtntnosum Bulf., явился основой для создания его синтетического аналога неостигмина (прозерин).
Производными индола являются также алкалоиды, содержащиеся в различных видах барвинка, (Vinka minor L., Vinka erecta Rgl.) семейства кутровых, (Apocynaceae) обладающие сосудорасширяющим и гипотензивным действием.
1.2 Производные индолилалкиламинов: Типтофан, Серотонин, Индометацин, Арбидол
К числу индолилалкиламинов отнесена большая группа производных индола: триптофан, серотонина адипинат, индометацин, арбидол и др. Молекулы этих лекарственных веществ включают различные функциональные группы, которые обусловливают их физические и химические свойства.
Они представляют собой белые кристаллические вещества, которые имеют желтый, кремовый или зеленоватый оттенок. В воде практически не растворимы (индометацин, арбидол), умеренно растворимы (триптофан), или растворимы (серотонина адипинат). В этаноле производные индолалкиламинов растворимы слабо или умеренно. Индометацин умеренно растворим в хлороформе, эфире и растворах щелочей, арбидол – мало растворим в хлороформе. Триптофан и серотонина адипинат практически не растворимы в эфире.
Все указанные химические вещества (за исключением индометацина), являясь производными индола, содержат в молекуле также алкиламинные группы. Несмотря на отсутствие аминногруппы в молекуле индометацина, его структура очень сходна с триптофаном.
Триптофан и индометацин представляют собой органические кислоты, остальные являются солями органических оснований. Молекулы производных индолалкиламинов включают алифатические радикалы, содержащие атомы серы или сложноэфирные группы.
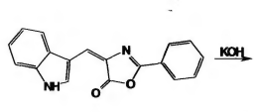
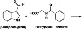
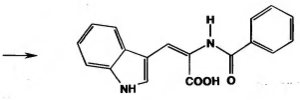
Получают указанные лекарственные вещества синтетическим путем. Триптофан можно получить путем микробиологического или химического синтеза по схеме 2:
Схема 2
Синтез индометацина осуществляют конденсацией n-метоксифенил-гидразина с метилатом 3-ацетилпропионовой кислоты. Образовавшийся эфир индолилуксусной кислоты и гидролизуют и ацетилируют n-хлорбензоилхлоридом (схема 3):
Схема 3
Для установления подлинности производных индолилалкиламинов используют ИК- и УФ-спектрофотометрию. Наиболее информативными являются ИК-спектры. ИК-спектр индометацина должен соответствовать спектру стандартного образца или спектру сравнения этого лекарственного вещества. Таким испытанием подтверждают наличие соответствующей полиморфной формы.
Для установления подлинности также проводят ряд химических реакций, характерных для аминокислот и производных индола, а также реакций обнаружения атомов и функциональных групп.
Для испытания триптофана на подлинность используют общую реакцию на аминокислоты нингидрином. После нагревания появляется сине-фиолетовое окрашивание. Серотонина адипинат в тех же условиях преобретает красное окрашивание. Под действием насыщенного раствора пикриновой кислоты адипинат дает оранжево-красный осадок пикрата.
Арбидол дает цветную реакцию на наличие третичного азота. При нагревании над пламенем сухой смеси арбидола и лимонной кислоты с уксусным ангидридом возникает красно-коричневое окрашивание. После нагревания арбидола со смесью для спекания остаток растворяют в воде, фильтруют и выполняют реакции на бромиды и сульфаты, образовавшиеся за счет наличия в молекуле арбидола атомов брома и серы:
Для количественного определения производных индолилалкиламинов используют химические и физико-химические методы. Количественное определение триптофана, арбидола, серотонина адипината выполняют методом неводного титрования. В качестве растворителя используют ледяную уксусную кислоту (серотонина адипинат), ее смесь с муравьиной кислотой (триптофан), смесь уксусного ангидрида с муравьиной кислотой (арбидол). Титрантом во всех случаях является 0,1 М раствор хлорной кислоты, индикатором – кристаллический фиолетовый. Для установления конечной точки титрования используют также потенциометрию.
Индометацин, являющийся кислотой, можно определить методом нейтрализации. Навеску растворяют в ацетоне и титруют 0,1 М раствором гидроксида натрия (индикатор фенолфталеин). Параллельно выполняют контрольное титрование растворителей.
Разработана унифицированная методика определения дифференциального спектрофотометрического определения производных индола (в т.ч. серотонина адипината) при длине волны 290 нм с использованием в качестве растворителя дифенилформамида, а также способ фотоколориметрического определения на основе цветной реакции с n-диметиламинобензальдегидом.
Триптофан в составе аминокислотных смесей применяют для парентерального питания (внутривенно). Индометацин – одно из наиболее активных нестероидных противовоспалительных и анальгезирующих средств. Применяют индометацин для лечения заболеваний, связанных с воспалительным процессом. Назначают внутрь в виде таблеток и драже по 0,025г, суппозиториев по 0,05г и 10%-ной мази. Серотонина адипинат – гемостатическое средство. Его применяют для лечения геморрагического синдрома, при различных формах анемии, тромбастении, для повышения стойкости капилляров. Вводят внутривенно и внутримышечно по 0,005-0,01г в виде 1%-ного раствора. Арбидол – противовирусное средство, ингибирует действие вирусов гриппа А и В, проявляет иммуномодулирующую активность и повышает устойчивость организма к вирусным инфекциям. Выпускают в таблетках и капсулах по 0,1; 0,5 и 0,025г. [1]
Характеристики
Тип файла документ
Документы такого типа открываются такими программами, как Microsoft Office Word на компьютерах Windows, Apple Pages на компьютерах Mac, Open Office - бесплатная альтернатива на различных платформах, в том числе Linux. Наиболее простым и современным решением будут Google документы, так как открываются онлайн без скачивания прямо в браузере на любой платформе. Существуют российские качественные аналоги, например от Яндекса.
Будьте внимательны на мобильных устройствах, так как там используются упрощённый функционал даже в официальном приложении от Microsoft, поэтому для просмотра скачивайте PDF-версию. А если нужно редактировать файл, то используйте оригинальный файл.
Файлы такого типа обычно разбиты на страницы, а текст может быть форматированным (жирный, курсив, выбор шрифта, таблицы и т.п.), а также в него можно добавлять изображения. Формат идеально подходит для рефератов, докладов и РПЗ курсовых проектов, которые необходимо распечатать. Кстати перед печатью также сохраняйте файл в PDF, так как принтер может начудить со шрифтами.
















