94924 (613175), страница 2
Текст из файла (страница 2)
Свойства производных индолалкиламинов Табл.1
1.3Историческая справка
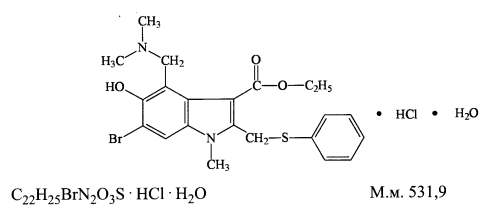
«Арбидол» (Аrbidolum, химическое название: метилфенилтиометил-диметиламинометил-гидроксиброминдол карбоновой кислоты этиловый эфир, МНН не присваивалось) — российский противовирусный препарат, оказывает иммуномодулирующее и противогриппозное действие, специфически подавляя вирусы гриппа А и В.
Наименование «Арбидол» / «Аrbidolum» присвоено разработчиком — ВНИХФИ как производное от слов «карбэтокси» и «броминдол», и одобрено номенклатурной комиссией Фармакологического комитета Минздрава СССР.
Первые доклинические исследования с действующим веществом были начаты во ВНИХФИ в конце 60-х годов XX века.
Клинические исследования препарата проводились одновременно во Всесоюзном Научно-исследовательском институте гриппа и НИИ эпидемиологии и микробиологии им. Пастера в Ленинграде, а также в НИИ вирусологии им. Ивановского в г. Москве. На базе данных клинических учреждений проведено сравнительное двойное слепое плацебо-контролируемое исследование. Результаты этих исследований неизвестны.
Однако важно понимать, что это исследование не соответствовало критериям доказательной медицины и не было опубликовано ни в одном серьезном медицинском журнале
Результаты исследований, проводившихся в ГКБ им. С. П. Боткина, г. Зеленоград, подтвердили, что арбидол обладает иммуномодулирующей активностью, проявляющейся в повышении общего количества Т-лимфоцитов и Т-хелперов, стимуляции фагоцитарной функции нейтрофилов и индукции активности естественных киллеров. Также было установлено, что препарат не оказывает иммуносупрессирующего эффекта на выработку специфических антител к респираторным вирусам, что выгодно отличает его от большинства противовирусных средств, применяющихся для профилактики и лечения гриппа и ОРВИ.
Однако клинические испытания препарата в соответствии с современными требованиями доказательной медицины не проводились, поэтому арбидол следует классифицировать как лекарственное средство с недоказанной эффективностью. ВОЗ не рассматривает арбидол, либо иные химически-родственные субстанции в качестве перспективных противовирусных препаратов.
В 2008 году было опубликовано исследование российских авторов Ирины Ленёвой и Юрия Борискина в сотрудничестве с английскими учёными, которые провели исследование противовирусной активности препарата «Арбидол». В ходе изучения активности арбидола в лабораторных условиях выявлена и подтверждена способность препарата подавлять вирус гриппа, то есть, подтверждено прямое противовирусное действие арбидола. При этом авторы работы отметили, что вероятность формирования штаммов, устойчивых к арбидолу, значительно ниже по сравнению с препаратами ремантадин и амантадин. Результаты исследования опубликованы в феврале 2009 года в реферативном журнале «Antiviral Research» (Великобритания)
Однако в исследовании использовались очень высокие концентрации препарата, которые нельзя применять на практике. [2]
Рис.1
2. ГЛАВА II. ЭКСПЕРИМЕНТАЛЬНАЯ ЧАСТЬ
Капсулы Арбидола 100 мкг
Фирма-изготовитель: ОАО «Фармстандарт-Лексредства» г.Курск
2.1 Физические свойства
Этилового эфира 6-бром-5гидрокси-1-метил-4-(диметиламинометил)-2-(фенилтиометил)индол-3-карбоновой кислоты гидрохлорид, моногидрат.
Содержит не менее 99,0% и не более 101,0% С22Н25BrN2O3S · HCl в пересчете на безводное вещество.
Арбидол – это кристаллический порошок от белого до белого с зеленовато-желтоватым или кремовым оттенком. Он мало растворим в спирте 96%; практически нерастворим в воде. [3]
2.2 Описание
Препарат фирмы представляет собой капсулы бело-желтые – корпус белого цвета, крышечка желтого цвета – для дозировки 0,1 г. Содержимое капсул – смесь, содержащая гранулы и порошок от белого до белого с зеленовато-желтоватым или кремоватым оттенком цвета. Капсулы должны иметь гладкую поверхность без повреждений и видимых воздушных и механических включений. (ГФ ХII, ФС 42-0216-07).
Рис. 2 Рис. 3
2.3 Методика определения подлинности
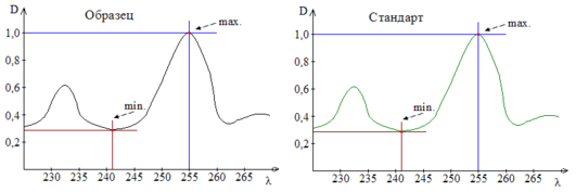
Ультрофиолетовые спектры поглощения растворов препарата и рабочего стандартного образца (РСО) арбидола, приготовленных для количественного определения, в области от 230 до 350 нм должны иметь максимумы и минимумы поглощения при одних и тех же длинах волн.
Образец: D л 255- max. поглощения
Стандарт: D л 255- max. поглощения
Образец: D л 242- min. поглощения
Стандарт: D л 242- min. Поглощения
Граф. 1 и 2
Препарат соответствует показателям подлинности.
Рис. 4
УФ-спектрофотометр. Определение max. и min. поглощения.
2.4 Методика определения средней массы
Для определения средней массы взвесили вместе 10 невскрытых капсул и определили среднюю массу капсулы. Затем взвесили каждую капсулу отдельно и сравнили со средней массой капсулы. Отклонение массы каждой капсулы не должно превышать ±10 % от средней массы. Затем осторожно вскрыли те же 10 капсул, удалили как можно полнее содержимое и взвесили каждую оболочку. Если нет других указаний в частных статьях, отклонение массы содержимого каждой капсулы от средней массы не должно превышать ±10 % [4] Табл.2
| № капсул | m капсулы, мкг | m содержимого капсулы, мкг | m оболочки капсулы, мкг | % отклонения от ср.массы | % отклонения от ср.массы оболочки |
| 1 | 0,280 | 0,205 | 0,075 | 0,72 | 2,74 |
| 2 | 0,270 | 0,195 | 0,075 | 2,87 | 2,74 |
| 3 | 0,280 | 0,205 | 0,075 | 0,72 | 2,74 |
| 4 | 0,275 | 0,205 | 0,070 | 1,08 | 4,11 |
| 5 | 0,280 | 0,205 | 0,075 | 0,72 | 2,74 |
| 6 | 0,275 | 0,205 | 0,070 | 1,08 | 4,11 |
| 7 | 0,275 | 0,205 | 0,070 | 1,08 | 4,11 |
| 8 | 0,285 | 0,210 | 0,075 | 2,51 | 2,74 |
| 9 | 0,275 | 0,205 | 0,070 | 1,08 | 4,11 |
| 10 | 0,280 | 0,205 | 0,075 | 0,72 | 2,74 |
Общая масса 10 капсул – 2,780 мкг
Расчет средней массы: 2,780:10 = 0,278
Расчет средней массы оболочки капсул: 0,730:10 = 0,073
Рис. 5. Определение средней массы (Весы лабораторные ВК-150.1.)
2.5 Методика определения распадаемости
Методика определения распадаемости капсул проводилась в соответствии со статьей ГФ ХI, вып. 2, стр. 143. В данной статье было указано, что капсулы должны распадаться за время не превышающее 20 мин. Распадаемость капсул арбидола наблюдалась через 17 мин.[4]
2.6 Методика количественного определения
Около 0,2 г (точная навеска) порошка тщательно растертого содержимого капсул поместили в мерную колбу вместимостью 100 мл, прибавили 80 мл спирта 95%, интенсивно встряхнули в течение 20 мин, довели объем раствора тем же растворителем до метки и перемешали.
Содержание арбидола в одной капсуле в граммах (Х) вычисляли по формуле (1):
По ФС 42-0216-07 - 0,095 – 0,105 г
Содержание арбидола соответствует.
2.7 Хранение, применение
Хранение препарата арбидол осуществляется по списку Б. В сухом защищенном от света месте при температуре не выше 25 0С.
Срок годности 2 года.
Применение препарата:
Профилактика и лечение у взрослых и детей:
- гриппа А и В, ОРВИ, тяжелого острого респираторного синдрома (ТОРС) (в том числе осложненные бронхитом, пневмонией);
- вторичных иммунодефицитных состояний;
- комплексная терапия хронического бронхита, пневмонии и рецидивирующей герпетической инфекции.
Профилактика послеоперационных инфекционных осложнений и нормализация иммунного статуса.
Комплексная терапия острых кишечных инфекций ротавирусной этиологии у детей старше 2 лет.[5]
2.8 Упаковка
По 10 капсул в контурную ячейковую упаковку по ОСТ 64-071-91 из пленки поливинилхлоридной и фольги алюминиевой печатной лакированной по ГОСТ 745-89.
Групповая упаковка и транспортная тара в соответствии с ГОСТ 17768-90.
Упаковка данного препарата соответствует требованиям НД.
2.9 Маркировка
На контурной ячейковой упаковке указывают товарный знак предприятия-изготовителя, торговое название прапарата с предупредительной маркировкой ®, дозировку в миллиграммах, номер серии, срок годности.
На пачку дополнительно наносят штриховой код, адрес, телефон, факс предприятия-изготовителя, область применения, номер свидетельства на товарный знак, номер патента, фармакологическую группу препарата.
На этикетке групповой упаковки дополнительно указывают количество пачек.
Маркировка транспортной тары в соответствии с ГОСТ 14192-96.
















