86362 (612731)
Текст из файла
Приднестровский государственный университет им.Т.Г.Шевченко
КАФЕДРА ПРИКЛАДНОЙ МАТЕМАТИКИ И ЭКОНОМИКО-МАТЕМАТИЧЕСКИХ МЕТОДОВ
КУРСОВАЯ РАБОТА
на тему: "Повторные и независимые испытания. Теорема Бернулли о частоте вероятности"
Выполнил:
студент 303 группы
Рудницкий Александр
Петрович
Проверил: зав. кафедрой
философии
Граневский В.В.
Тирасполь, 2009
Содержание
1. Введение
2. Формула Бернулли
3. Локальная формула Муавра-Лапласа
4. Формула Пуассона
5. Теорема Бернулли о частоте вероятности
Список литературы
Приложения
1. Введение
При практическом применении теории вероятностей часто приходится встречаться с задачами, в которых одно и то же испытание повторяется неоднократно. В результате каждого испытания может появиться или не появиться некоторое событие А, причем нас не интересует результат каждого отдельного испытания, а общее число появлений события А в результате серии опытов. Например, если производится группа выстрелов по одной и той же цели, нас, как правило, не интересует результат каждого выстрела, а общее число попаданий. В подобных задачах требуется уметь определять вероятность любого заданного числа появлений события в результате серии опытов. Такие задачи и будут рассмотрены. Они решаются весьма просто в случае, когда испытания являются независимыми.
Определение. Испытания называются независимыми, если вероятность того или иного исхода каждого из испытаний не зависит от того, какие исходы имели другие испытания.
Например, несколько бросаний монеты представляют собой независимые испытания.
2. Формула Бернулли
Пусть произведено два испытания(n=2). В результате возможно наступление одного из следующих событий:
Соответствующие вероятности данных событий такие:
.
или
- наступление события только в одном испытании.
- вероятность наступления события два раза.
- вероятность наступления события только один раз.
- вероятность наступления события нуль раз.
Пусть теперь n=3. Тогда возможно наступление одного из следующих вариантов событий:
.
Соответствующие вероятности равны
.
Очевидно, что полученные результаты при n=2 и n=3 являются элементами
и
.
Теперь допустим, произведено n испытаний. Событие А может наступить n раз, 0 раз, n-1 раз и т.д. Напишем событие, состоящее в наступлении события А m раз
Необходимо найти число испытаний, в которых событие А наступит m раз. Для этого надо найти число комбинаций из n элементов, в которых А повторяется m раз, а
n-m раз.
- вероятность наступления события А.
(1)
Последняя формула называется формулой Бернулли и представляет собой общий член разложения
:
.
Из формулы (1) видно, что ее удобно использовать, когда число испытаний не слишком велико.
Примеры
№1. Бросается монета 7 раз. Найти вероятность наступления орла три раза.
Решение.
n=7, m=3
.
№2. Каждый день акции корпорации АВС поднимаются в цене или падают в цене на один пункт с вероятностями соответственно 0,75 и 0,25. Найти вероятность того, что акции после шести дней вернутся к своей первоначальной цене. Принять условие, что изменения цены акции вверх и вниз – независимые события.
Решение. Для того, чтобы акции вернулись за 6 дней к своей первоначальной цене, нужно, чтобы за это время они 3 раза поднялись в цене и три раза опустились в цене. Искомая вероятность рассчитывается по формуле Бернулли
№3. Моторы многомоторного самолёта выходят из строя во время полёта независимо один от другого с вероятностью р. Многомоторный самолёт продолжает лететь, если работает не менее половины его моторов. При каких значениях р двухмоторный самолёт надёжней четырёхмоторного самолёта?
Решение. Двухмоторный самолёт терпит аварию, если отказывают оба его мотора. Это происходит с вероятностью р2. Четырёхмоторный самолёт терпит аварию, если выходят из строя все 4 мотора а это происходит с вероятностью р4, либо выходят из строя три мотора из 4-х. Вероятность последнего события вычисляется по формуле Бернулли:
. Чтобы двухмоторный самолёт был надёжнее, чем четырёхмоторный, нужно, чтобы выполнялось неравенство
р2<р4+4p3(1–p)
Это неравенство сводится к неравенству (3р–1)(р–1)1/3. Следует отметить, что если бы вероятность выхода из строя мотора самолёта превышала одну треть, сама идея использования авиации для пассажирских перевозок была бы очень сомнительной.
№4. Бригада из десяти человек идёт обедать. Имеются две одинаковые столовые, и каждый член бригады независимо один от другого идёт обедать в любую из этих столовых. Если в одну из столовых случайно придёт больше посетителей, чем в ней имеется мест, то возникает очередь. Какое наименьшее число мест должно быть в каждой из столовых, чтобы вероятность возникновения очереди была меньше 0,15?
Решение. Решение задачи придётся искать перебором возможных вариантов. Сначала заметим, что если в каждой столовой по 10 мест, то возникновение очереди невозможно. Если в каждой столовой по 9 мест, то очередь возникнет только в случае, если все 10 посетителей попадут в одну столовую. Из условия задачи следует, что каждый член бригады выбирает данную столовую с вероятностью 1/2. Значит, все соберутся в одной столовой с вероятностью 2(1/2)10=1/512. Это число много меньше, чем 0,15, и следует провести расчёт для восьмиместных столовых. Если в каждой столовой по 8 мест, то очередь возникнет, если все члены бригады придут в одну столовую, вероятность этого события уже вычислена, или 9 человек пойдут в одну столовую, а 1 человек выберет другую столовую. Вероятность этого события рассчитывается с помощью формулы Бернулли
. Таким образом, если в столовых по 8 мест, то очередь возникает с вероятностью 11/512, что пока ещё меньше, чем 0,15. Пусть теперь в каждой из столовых по 7 мест. Кроме двух рассмотренных вариантов, в данном случае очередь возникнет, если в одну из столовых придёт 8 человек, а в другую 2 человека. Это может произойти с вероятностью
. Значит, в этом случае очередь возникает с вероятностью 56/512=0,109375<0,15. Действуя аналогичным образом, вычисляем, что если в каждой столовой 6 мест, то очередь возникает с вероятностью 56/512+120/512=176/512=0,34375. Отсюда получаем, что наименьшее число мест в каждой столовой должно равняться семи.
№5. В урне 20 белых и 10 черных шаров. Вынули 4 шара, причем каждый вынутый шар возвращают в урну перед извлечением следующего и шары в урне перемешивают. Найти вероятность того, что из четырех вынутых шаров окажется 2 белых.
Решение. Событие А – достали белый шар. Тогда вероятности
,
.
По формуле Бернулли требуемая вероятность равна
.
№6. Определить вероятность того, что в семье, имеющей 5 детей, будет не больше трех девочек. Вероятности рождения мальчика и девочки предполагаются одинаковыми.
Решение. Вероятность рождения девочки
Найдем вероятности того, что в семье нет девочек, родилась одна, две или три девочки:
,
,
,
.
Следовательно, искомая вероятность
.
№7. Среди деталей, обрабатываемых рабочим, бывает в среднем 4% нестандартных. Найти вероятность того, что среди взятых на испытание 30 деталей две будут нестандартными.
Решение. Здесь опыт заключается в проверке каждой из 30 деталей на качество. Событие А - "появление нестандартной детали", его вероятность
, тогда
. Отсюда по формуле Бернулли находим
.
№8. При каждом отдельном выстреле из орудия вероятность поражения цели равна 0,9. Найти вероятность того, что из 20 выстрелов число удачных будет не менее 16 и не более 19.
Решение. Вычисляем по формуле Бернулли:
№9. Независимые испытания продолжаются до тех пор, пока событие А не произойдет k раз. Найти вероятность того, что потребуется n испытаний (n і k), если в каждом из них
.
Решение. Событие В – ровно n испытаний до k-го появления события А – есть произведение двух следующий событий:
D – в n-ом испытании А произошло;
С – в первых (n–1)-ом испытаниях А появилось (к-1) раз.
Теорема умножения и формула Бернулли дают требуемую вероятность:
.
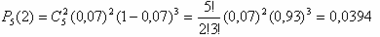
№10. Из n аккумуляторов за год хранения k выходит из строя. Наудачу выбирают m аккумуляторов. Определить вероятность того, что среди них l исправных. n = 100, k = 7, m = 5, l = 3.
Решение: Имеем схему Бернулли с параметрами p=7/100=0,07 (вероятность того, что аккумулятор выйдет из строя), n = 5 (число испытаний), k = 5-3 =2 (число "успехов", неисправных аккумуляторов). Будем использовать формулу Бернулли (вероятность того, что в n испытаниях событие произойдет k раз).
Получаем
№11. Устройство, состоящее из пяти независимо работающих элементов, включается за время Т. Вероятность отказа каждого из них за это время равна 0,2. Найти вероятность того, что откажут: а) три элемента; б) не менее четырех элементов; в) хотя бы один элемент.
Решение: Имеем схему Бернулли с параметрами p = 0,2 (вероятность того, что элемент откажет), n = 5 (число испытаний, то есть число элементов), k (число "успехов", отказавших элементов). Будем использовать формулу Бернулли (вероятность того, что для n элементов отказ произойдет в k элементах):
. Получаем а)
- вероятность того, что откажут ровно три элемента из пяти. б)
- вероятность того, что откажут не менее четырех элементов из пяти (то есть или четыре, или пять). в)
- вероятность того, что откажет хотя бы один элемент (нашли через вероятность противоположного события - ни один элемент не откажет).
№12. Сколько следует сыграть партий в шахматы с вероятностью победы в одной партии, равной 1/3, чтобы наивероятнейшее число побед было равно 5?
Решение: Наивероятнейшее число побед k определяется из формулы
Здесь p =1/3 (вероятность победы), q = 2/3 (вероятность проигрыша), n - неизвестное число партий. Подставляя данные значения, получаем:
Получаем, что n = 15, 16 или 17.
3. Локальная формула Муавра-Лапласа
Легко видеть, что пользоваться формулой Бернулли при больших значениях n достаточно трудно, так как формула требует выполнения действий над громадными числами. Естественно, возникает вопрос: нельзя ли вычислить интересующую нас вероятность, не прибегая к формуле Бернулли.
В 1730 г. другой метод решения при p=1/2 нашел Муавр; в 1783 г. Лаплас обобщил формулу Муавра для произвольного p, отличного от 0 и 1.
Эта формула применяется при неограниченном возрастании числа испытаний, когда вероятность наступления события не слишком близка к нулю или единице. Поэтому теорему, о которой идет речь, называют теоремой Муавра-Лапласа.
Теорема Муавра-Лапласа. Если вероятность p появления события А в каждом испытании постоянна и отлична от нуля и единицы, то вероятность
того, что событие А появится в n испытаниях ровно k раз, приближенно равна(тем точнее, чем больше n) значению функции
При
.
Имеются таблицы, в которых помещены значения функции
,
соответствующие положительным значениям аргумента x(см. приложение1). Для отрицательных значений аргумента пользуются теми же таблицами, так как функция
четна, т.е.
.
Итак, вероятность того, что событие A появится в n независимых испытаниях ровно k раз, приближенно равна
,
где
.
№13. Найти вероятность того, что событие А наступит ровно 80 раз в 400 испытаниях, если вероятность появления этого события в каждом испытании равна 0,2.
Решение. По условию n=400; k=80; p=0,2; q=0,8. Воспользуемся формулой Лапласа:
.
Вычислим определяемое данными задачи значение x:
.
По таблице приложения1 находим
.
Искомая вероятность
.
№14. Вероятность поражения мишени стрелком при одном выстреле p=0,75.
Найти вероятность того, что при 10 выстрелах стрелок поразит мишень 8 раз.
Решение. По условию n=10; k=8; p=0,75; q=0,25.
Воспользуемся формулой Лапласа:
.
Вычислим определяемое данными задачи значение x:
.
По таблице приложения1 находим
Искомая вероятность
.
№15. Найти вероятность того, что событие А наступит ровно 70 раз в 243 испытаниях, если вероятность появления этого события в каждом испытании равна 0,25.
Решение. По условию n=243; k=70; p=0,25; q=0,75. Воспользуемся формулой Лапласа:
.
Найдем значение x:
.
По таблице приложения1 находим
.
Искомая вероятность
.
№16. Найти вероятность того, что событие А наступит 1400 раз в 2400 испытаниях, если вероятность появления этого события в каждом испытании равна 0,6.
Решение. По условию n=2400; k=1400; p=0,6; q=0,4. Как и в предыдущем примере, воспользуемся формулой Лапласа:
Вычислим x:
.
По таблице приложения1 находим
Искомая вероятность
.
4. Формула Пуассона
Эта формула применяется при неограниченном возрастании числа испытаний, когда вероятность наступления события достаточно близка к 0 или 1.
,
где
.
Доказательство.
.
.
Таким образом получили формулу:
.
Примеры
№17. Вероятность изготовления негодной детали равна 0,0002. Найти вероятность того, что среди 10000 деталей только 2 детали будут негодными.
Решение. n=10000; k=2; p=0,0002.
Искомая вероятность
.
№18. Вероятность изготовления бракованной детали равна 0,0004. Найти вероятность того, что среди 1000 деталей только 5 детали будут бракованными.
Решение. n=1000; k=5; p=0,0004.
Искомая вероятность
.
№19. Вероятность выигрыша лотереи равна 0,0001. Найти вероятность того, что из 5000 попыток выиграть удастся 3 раза.
Решение. n=5000; k=3; p=0,0001.
Искомая вероятность
.
5. Теорема Бернулли о частоте вероятности
Теорема. Вероятность того, что в n независимых испытаниях, в каждом из которых вероятность появления события равна p, абсолютная величина отклонения относительной частоты появления события от вероятности появления события не превысит положительного числа
, приближенно равна удвоенной функции Лапласа при
:
.
Доказательство. Будем считать, что производится n независимых испытаний, в каждом из которых вероятность появления события А постоянна и равна p. Поставим перед собой задачу найти вероятность того, что отклонение относительной частоты
от постоянной вероятности p по абсолютной величине не превышает заданного числа
. Другими словами, найдем вероятность осуществления неравенства
. (*)
Заменим неравенство (*) ему равносильными:
.
Умножая эти неравенства на положительный множитель
, получим неравенства, равносильные исходному:
.
Тогда вероятность найдем следующим образом:
.
Значение функции
находится по таблице(см. приложение2).
Примеры
№20. Вероятность того, что деталь не стандартна, p=0,1. Найти вероятность того, что среди случайно отобранных 400 деталей относительная частота появления нестандартных деталей отклонится от вероятности p=0,1 по абсолютной величине не более, чем на 0,03.
Решение. n=400; p=0,1; q=0,9;
=0,03. Требуется найти вероятность
. Пользуясь формулой
,
имеем
.
По таблице приложения2 находим
. Следовательно,
. Итак, искомая вероятность равна 0,9544.
№21. Вероятность того, что деталь не стандартна, p=0,1. Найти, сколько деталей надо отобрать, чтобы с вероятностью, равной 0,9544, можно было утверждать, что относительная частота появления нестандартных деталей(среди отобранных) отклонится от постоянной вероятности p по абсолютной величине не более чем на 0,03.
Решение. По условию, p=0,1; q=0,9;
=0,03;
. Требуется найти n. Воспользуемся формулой
.
В силу условия
Следовательно,
По таблице приложения 2 находим
. Для отыскания числа n получаем уравнение
. Отсюда искомое число деталей n=400.
№22. Вероятность появления события в каждом из независимых испытаний равна 0,2. Найти, какое отклонение относительной частоты появления события от его вероятности можно ожидать с вероятностью 0,9128 при 5000 испытаниях.
Решение. Воспользуемся той же формулой, из которой следует:
.
Литература
1. Гмурман Е.В. "Теория вероятностей и математическая статистика", Москва, "Высшая школа"2003.
2. Гмурман Е.В. "Руководство к решению задач по теории вероятностей и математической статистике", Москва "Высшая школа"2004.
3. Гнеденко Б.В. "Курс теории вероятностей", Москва, "Наука"1988.
4. Колемаев В.А., Калинина В.Н., Соловьев В.И., Малыхин В.И., Курочкин А.П. "Теория вероятностей в примерах и задачах", Москва, 2001.
5. Вентцель Е.С. "Теория вероятностей", Москва, "Высшая школа"1998.
Приложения
Приложение 1
Таблица значений функции
| 0 | 1 | 2 | 3 | 4 | 5 | 6 | 7 | 8 | 9 | |
| 1.6 | 1109 | 1092 | 1074 | 1057 | 1040 | 1023 | 1006 | 0989 | 0973 | 0957 |
| 1.7 | 0940 | 0925 | 0909 | 0893 | 0878 | 0863 | 0648 | 0833 | 0818 | 0804 |
| 1.8 | 0790 | 0775 | 0761 | 0748 | 0734 | 0721 | 0707 | 0694 | 0681 | 0669 |
| 1.9 | 0656 | 0644 | 0632 | 0620 | 0608 | 0596 | 0584 | 0573 | 0562 | 0551 |
| 2,0 | 0540 | 0529 | 0519 | 0508 | 0498 | 0488 | 0478 | 0468 | 0459 | 0449 |
| 2.1 | 0440 | 0431 | 0422 | 0413 | 0404 | 0396 | 0387 | 0379 | 0371 | 0363 |
| 2.2 | 0355 | 0347 | 0339 | 0332 | 0325 | 0317 | 0310 | 0303 | 0297 | 0290 |
| 2.3 | 0283 | 0277 | 0270 | 0264 | 0258 | 0252 | 0246 | 0241 | 0235 | 0229 |
| 2,4 | 0224 | 0219 | 0213 | 0208 | 0203 | 0198 | 0194 | 0189 | 0184 | 0180 |
| 2.5 | 0175 | 0171 | 0167 | 0163 | 0158 | 0154 | 0151 | 0147 | 0143 | 0139 |
| 2.6 | 0136 | 0132 | 0129 | 0126 | 0122 | 0119 | 0116 | 0113 | 0110 | 0107 |
| 2,7 | 0104 | 0101 | 0099 | 0096 | 0093 | 0091 | 0088 | 0086 | 0084 | 0081 |
| 2,8 | 0079 | 0077 | 0075 | 0073 | 0071 | 0069 | 0067 | 0065 | 0063 | 0061 |
| 2.9 | 0060 | 0058 | 0056 | 0055 | 0053 | 0051 | 0050 | 0048 | 0047 | 0043 |
| 3,0 | 0044 | 0043 | 0042 | 0040 | 0039 | 0038 | 0037 | 0036 | 0035 | 0034 |
| 3,1 | 0033 | 0032 | 0031 | 0030 | 0029 | 0028. | 0027 | 0026 | 0025 | 0025 |
| 3,2 | 0024 | 0023 | 0622 | 0022 | 0021 | 0020 | 0020 | 0019 | 0018 | 0018 |
| 3,3 | 0017 | 0017 | 0016 | 0016 | 0015 | 0015 | 0014 | 0014 | 0013 | 0013 |
| 3,4 | 0012 | 0012 | 0012 | 0011 | 0011 | 0010 | 0010 | 0010 | 0009 | 0009 |
| 3,5 | 0009 | 0008 | 0008 | 0008 | 0008 | 0007 | 0007 | 0007 | 0007 | 0006 |
| 3,6 | 0006 | 0006 | 0006 | 0005 | 0005 | 0005 | 0005 | 0005 | 0005 | 0004 |
| 3,7 | 0004 | 0004 | 0004 | 0004 | 0004 | 0004 | 0003 | 0003 | 0003 | 0003 |
| 3,8 | 0003 | 0003 | 0003 | 0003 | 0003 | 0002 | 0002 | 0002 | 0002 | 0002 |
| 3,9 | 0002 | 0002 | 0002 | 0002 | 0002 | 0002 | 0002 | 0002 | 0001 | 0001 |
Приложение 2
Таблица значений функции
| x |
| x |
| x |
| x |
|
| 0900 | 0,0000 | 0,32 | 0,1255 | 0,64 | 0,2389 | 0,96 | 0,3315 |
| 0,01 | 0,0040 | 0,33 | 0,1293 | 0,65 | 0,2422 | 0,97 | 0,3340 |
| 0,02 | 0,0080 | 0,34 | 0,1331 | 0,66 | 0,2454 | 0,98 | 0,3365 |
| 0,03 | 0,0120 | 0,35 | 0,1368 | 0,67 | 0,2486 | 0.99 | 0,3389 |
| 0,04 | 0,0160 | 0,36 | 0,1406 | 0,68 | 0,2517 | 1,00 | 0,3413 |
| 0,05 | 0,0199 | 0,37 | 0,1443 | 0,69 | 0,2549 | 1,01 | 0,3438 |
| 0,06 | 0,0239 | 0,38 | 0,1480 | 0,70 | 0,2580 | 1,02 | 0,3461 |
| 0,07 | 0,0279 | 0,39 | 0,1517 | 0,71 | 0,2611 | 1,03 | 0,3485 |
| 0,08 | 0,0319 | 0,40 | 0,1554 | 0,72 | 0,2642 | 1,04 | 0,3508 |
| 0,09 | 0,0359 | 0,41 | 0,1591 | 0,73 | 0,2673 | 1,05 | 0,3531 |
| 0,10 | 0,0398 | 0,42 | 0,1628 | 0,74 | 0,2703 | 1,06 | 0,3554 |
| 0,11 | 0,0438 | 0,43 | 0,1664 | 0,75 | 0,2734 | 1,07 | 0,3577 |
| 0,12 | 0,0478 | 0,44 | 0,1700 | 0,76 | 0,2764 | 1,08 | 0,3599 |
| 0,13 | 0,0517 | 0,45 | 0,1736 | 0,77 | 0,2794 | 1.09 | 0,3621 |
| 0,14 | 0,0557 | 0,46 | 0,1772 | 0,78 | 0,2823 | 1.10 | 0,3643 |
| 0,15 | 0,0596 | 0,47 | 0,1808 | 0,79 | 0,2852 | 3665 | 0,3665 |
| 0,16 | 0,0636 | 0,48 | 0,1844 | 0,80 | 0,2881 | 3686 | 0,3686 |
| 0,17 | 0,0675 | 0,49 | 01879 | 0,81 | 0,2910 | 1,13 | 0,3708. |
| 0,18 | 0,0714 | 0,50 | 0,1915 | 0,82 | 0,2939 | 1,14 | 0,3729 |
| 0,19 | 0,0753 | 0,51 | 0,1950 | 0,83 | 0,2967 | 1,15 | 0,3749 |
| 0,20 | 0,0793 | 0,52 | 0,1985 | 0,84 | 0,2995 | 1,16 | 0,3770 |
| 0,21 | 0,0832 | 0,53 | 0,2019 | 0,85 | 0,3023 | 1,17 | 0,3790 |
| 0,22 | 0,0871 | 0,54 | 0,2054 | 0,86 | 0,3051 | 1,18 | 0,3810 |
| 0,23 | 0,0910 | 0,55 | 0,2088 | 0,87 | 0,3078 | 1,19 | 0,3830 |
| 0,24 | 0,0948 | 0,56 | 0,2123 | 0,88 | 0,3106 | 1,20 | 0,3849 |
| 0,25 | 0,0987 | 0,57 | 0,2157 | 0,89 | 0,3133 | 1.21 | 0,3869 |
| 0,26 | 0,1026 | 0,58 | 0,2190 | 0,90 | 0,3159 | 1,22 | 0/3883 |
| 0,27 | 0,1064 | 0,59 | 0,2224 | 0,91 | 0,3186 | 1,23 | 0,3907 |
| 0,28 | 0,1103 | 0,60 | 0,2257 | 0,92 | 0,3212 | 1.24 | 0,3925 |
| 0,29 | 0,1141 | 0,61 | 0,2291 | 0,93 | 0,3238 | 1,25 | 0,3944 |
| 0,30 | 0,1179 | 0,62 | 0,2324 | 0,94 | 0,3264 | ||
| 0,31 | 0,1217 | 0,63 | 0,2357 | 0,95 | 0,3289 |
| x |
| x | | x |
| x |
|
| 1,26 | 0,3962 | 1,59 | 0,4441 | 1,92 | 0,4726 | 2,50 | 0,4938 |
| 1,27 | 0,3980 | 1,60 | 0,4452 | 1,93 | 0,4732 | 2,52 | 0,4941 |
| 1,28 | 0,3997 | 1,61 | 0,4463 | 1,94 | 0,4738 | 2,54 | 0,4945 |
| 1,29 | 0.4015 | 1,62 | 0,4474 | 1,95 | 0,4744 | 2,56 | 0,4948 |
| 1,30 | 0,4032 | 1,63 | 0.4484 | 1.96 | 0,4750 | 2,58 | 0,4951 |
| 1,31 | 0,4049 | 1,64 | 0,4495 | 1,97 | 0,4756 | 2,60 | 0,4953 |
| 1,32 | 0.4066 | 1,65 | 0,4505 | 1,98 | 0,4761 | 2,62 | 0,4956 |
| 1,33 | 0,4082 | 1,66 | 0,4515 | 1,99 | 0,4767 | 2,64 | 0,4959 |
| 1,34 | 0.4099 | 1,67 | 0.4525 | 2.00 | 0,4772 | 2,66 | 0,4961 |
| 1.3S | 0.4115 | 1,68 | 0,4535 | 2,02 | 0,4783 | 2,68 | 0,4963 |
| 1,36 | 0.4131 | 1,69 | 0,4545 | 2,04 | 0,4793 | 2,70 | 0,4965 |
| 1,37 | 0.4147 | 1,70 | 0,4554 | 2,06 | 0,4803 | 2,72 | 0,4967 |
| 1,38 | 0.4162 | 1.71 | 0,4564 | 2,08 | 0,4812 | 2,74 | 0,4969 |
| 1,39 | 0.4177 | 1,72 | 0,4573 | 2,10 | 0,4821 | 2,76 | 0,4971 |
| 1.40 | 0,4192 | 1,73 | 0,4582 | 2,12 | 0,4830 | 2,78 | 0,4973 |
| 1.41 | 0,4207 | 1.74 | 0,4591 | 2,14 | 0,4838 | 2,80 | 0,4974 |
| 1.42 | 0.4222 | 1,75 | 0.4599 | 2,16 | 0,4846 | 2,82 | 0,4976 |
| 1.43 | 0.4236 | 1,76 | 0,4608 | 2,18 | 0,4854 | 2,84 | 0,4977 |
| 1.44 | 0,4251 | 1.77 | 0,4616 | 2,20 | 0,4861 | 2,86 | 0,4979 |
| 1,45 | 0.4265 | 1,78 | 0.4625 | 2,22 | 0,4868 | 2,88 | 0,4980 |
| 1.46 | 0,4279 | 1,79 | 0,4633 | 2,24 | 0,4875 | 2,90 | 0,4981 |
| 1.47 | 0,4292 | 1,80 | 0,4641 | 2,26 | 0,4881 | 2,92 | 0,4982 |
| 1,48 | 0,4306 | 1.81 | 0,4649 | 2,28 | 0,4887 | 2,94 | 0,4984 |
| 1,49 | 0.4319 | 1,82 | 0,4656 | 2,30 | 0,4893 | 2,96 | 0,4985 |
| 1.50 | 0,4332 | 1,83 | 0,4664 | 2,32 | 0,4898 | 2.98 | 0,4986 |
| 1,51 | 0,4345 | 1,84 | 0,4671 | 2,34 | 0,4904 | 3,00 | 0,49865 |
| 1.52 | 0,4357 | 1,85 | 0,4678 | 2,36 | 0,4909 | 3,20 | 0,49931 |
| 1.53 | 0,4370 | 1,86 | 0,4686 | 2,38 | 0,4913 | 3.40 | 0,49966 |
| 1.54 | 0,4382 | 1,87 | 0,4693 | 2,40 | 0,4918 | 3,60 | 0,49984 |
| 1,55 | 0,4394 | 1.88 | 0,4699 | 2,42 | 0,4922 | 3,80 | 0,49992 |
| 1.S6 | 0,4406 | 1.89 | 0,4706 | 2,44 | 0,4927 | 4,00 | 0,49996 |
| 1,57 | 0,4418 | 1,90 | 0,4713 | 2,46 | 0,4931 | 4,50 | 0,49999 |
| 1,58 | 0,4429 | 1,91 | 0,4719 | 2,48 | 0,4934 | 5,00 | 0,49999 |
Характеристики
Тип файла документ
Документы такого типа открываются такими программами, как Microsoft Office Word на компьютерах Windows, Apple Pages на компьютерах Mac, Open Office - бесплатная альтернатива на различных платформах, в том числе Linux. Наиболее простым и современным решением будут Google документы, так как открываются онлайн без скачивания прямо в браузере на любой платформе. Существуют российские качественные аналоги, например от Яндекса.
Будьте внимательны на мобильных устройствах, так как там используются упрощённый функционал даже в официальном приложении от Microsoft, поэтому для просмотра скачивайте PDF-версию. А если нужно редактировать файл, то используйте оригинальный файл.
Файлы такого типа обычно разбиты на страницы, а текст может быть форматированным (жирный, курсив, выбор шрифта, таблицы и т.п.), а также в него можно добавлять изображения. Формат идеально подходит для рефератов, докладов и РПЗ курсовых проектов, которые необходимо распечатать. Кстати перед печатью также сохраняйте файл в PDF, так как принтер может начудить со шрифтами.
















