86266 (612703), страница 2
Текст из файла (страница 2)
Несимметричные кривые представляют собой почти произвольные фигуры. Рассмотрим какой-либо набор пересекающихся прямых. Рассмотрим один из секторов. Проведём дугу окружности произвольного радиуса с центром в точке пересечения прямых, определяющих этот сектор. Возьмём соседний сектор, и с центром в точке пересечения прямых, определяющих его, проведём окружность. Радиус подбирается такой, чтобы уже нарисованный кусок кривой непрерывно продолжался. Будем так делать дальше. Оказывается, при таком построении кривая замкнётся и будет иметь постоянную ширину.
Также существуют трёхмерные аналоги кривых постоянной ширины – тела постоянной ширины. Сфера — не единственное тело, которое может вращаться внутри куба, все время касаясь всех шести его граней. Этим же свойством обладают все тела постоянной ширины. Простейшим примером несферического тела постоянной ширины может служить тело, образующееся при вращении треугольника Рело вокруг одной из его осей симметрии. Существует бесконечно много и других тел постоянной ширины. Те из них, которые имеют наименьший объем при данной ширине, получаются из правильного тетраэдра, так же как треугольник Рело — из равностороннего треугольника (рис.7).
Рис.12 Тела постоянной ширины.
-
Треугольник Рело
4.1 Исторические сведения
Рассмотрим подробнее наиболее известную фигуру - треугольник Рело, названный по имени придумавшего его механика Франца Рело – немецкого учёного-инженера, жившего с1829 по 1905 г.г.. В 1852 он окончил политехникум в Карлсруэ, с 1856 профессор Политехнического института в Цюрихе, в 1864—96 профессор Промышленного института (позже — Высшая техническая школа) в Берлине. В 1875 впервые четко сформулировал и изложил основные вопросы структуры и кинематики механизмов, которые ранее содержались в неявной форме в работах П. Л. Чебышева и др.. Рело дал определение кинематической пары, кинематической цепи и механизма как кинематической цепи принуждённого движения; предложил способ преобразования механизмов путём изменения стойки и путём изменения конструкций кинематических пар. Связал теорию механизмов и машин с проблемами конструирования, например, впервые поставил и пытался решить проблему эстетичности технических объектов. Имея в виду это направление его работ, современники Рело называли его поэтом в технике. Творчество Рело оказало значительное влияние на последующие исследования по теории механизмов.
Эта фигура обладает частью важнейших свойств круга. Построить это треугольник просто. Начертим равносторонний треугольник. Заменим его стороны дугами окружностей, центрам которых являются вершины, а радиусами – стороны треугольника (на любом правильном нечётном n-угольнике можно построить кривую постоянной ширины по той же схеме, что и треугольник Рело). На самом деле эта фигура не является треугольником. Треугольник Рело имеет постоянную ширину, равную стороне исходного треугольника. Его также можно использовать в качестве катка при перемещении поверхности, но его гораздо сложнее изготовить, чем круг.
Построим пару параллельных прямых, касающихся треугольника Рело. Проведём ещё пару касательных, перпендикулярных первой паре. Фигура окажется "запертой" в квадрате и будет касаться каждой из его сторон. При вращении фигуры в квадрате она будет постоянно прилегать ко всем сторонам квадрата.
4.2 Очертание четырёхугольника
Наиболее известное свойство треугольника Рело – очертание четырёхугольника сложенным вращением этого треугольник (рис.8).
Если вращать треугольник А1В1С1 вокруг центра О1 описанной вокруг него окружности с радиусом О1А1, а центр треугольника О1 вращать в противоположную сторону в три раза быстрее по окружности с центром N, то треугольник очертит фигуру, которая незначительно отличается от четырёхугольника. А именно, за один оборот центра О1 направо по окружности с радиусом О1N два угла четырёхугольника будут оформлены вершиной А треугольника Рело и по одному – вершинами В и С, т.е. через каждую четверть оборота вокруг центра N треугольника Рело будет находиться в положении А2В2С2, А3В3С3 иА4В4С4.
Выполненные на рисунке построения показывают небольшую кривизну сторон четырёхугольника, о которой также указывают инженеры. По их данным, наибольшее отклонение стороны от идеальной прямой имеет место в середине стороны. Треугольник Рело при вращении контактирует с точкой D серединой своей стороны.
Обозначим через R- радиус, описанного около треугольника Рело круга, r=О1N. Тогда
А1В1=А2В2=А3В3=А4В4=R
,
ND=r
R+R
Из треугольника А1NА4 получаем
А1N=r
R, NЕ=
Из равенства DE=ND=NE следует, что
DE= r – R + R
,
DE=R(
1
)+r(1
)
0,025R+0,293r.
Вычислив кривизну, получаем:
DE ~ 0.025R + 0.293r
Таким образом, отклонение DE стороны квадрата от сделанной прямой зависит, в первую очередь, от радиуса r и не может быть устранено, потому что R и r не могут равняться нулю.
-
Движение вершины и центра треугольника Рело
Попробуем построить траектории движения двух характерных точек треугольника Рело при качении его по плоской горизонтальной поверхности. Такими точками будут одна из вершин треугольника и его геометрический центр. Моделирование одного полного оборота треугольника Рело показано на рисунке.
Рис.14
На фигурах 2, 6, 10 треугольник катится по поверхности окружности, на фигурах 4, 8, 12 треугольник переваливается через вершину, на остальных фигурах происходит смена характера движения треугольника с качения на переваливание и наоборот. Рассмотрим движение вершины треугольника. На фигурах 1, 2, 3 помеченная вершина движется линейно, по прямой (Рис. 10). Фактически помеченная вершина является центром вращения окружности, элементом которой является поверхность стороны треугольника Рело. На фигуре 3 помеченная вершина меняет траекторию движения с прямолинейной на траекторию движения по окружности с радиусом, равным длине стороны, по которой он движется на фигурах 3, 4, 5.
На фигуре 5 происходит смена траектории движения вершины. На фигурах 5, 6, 7 вершина движется по трохоиде точки, находящейся на поверхности окружности с радиусом, равным длине стороны треугольника. На фигурах 7, 8, 9 меченная вершина является точкой перевала треугольника, она жестко лежит на поверхности. Фигуры 9, 10, 11 – опять трохоида и 11, 12, 1 – движение по окружности. По аналогии эти фигуры описаны выше. Меченая вершина возвращается в исходную точку. Треугольник Рело совершил полный оборот.
Рис.15 Движение вершины треугольника.
Рис.16 Движение центра треугольника.
Рис.17
Очень важной является траектория движения геометрического центра треугольника. Если обозначить длину стороны треугольника через R, то расстояние от вершины до геометрического центра будет равно R/
. На фигурах 3 – 4 – 5, 7 – 8 - 9, 11 – 12 – 1 (Рис.16) центр движется по дугам с радиусом именно R/
. На фигурах же 1 – 2 – 3, 5 – 6 – 7, 9 – 10 – 11 центр движется по трохоиде, причем расстояние от центра катящейся окружности (не путать с геометрическим центром треугольника, Рис. 15) до траектории искомой точки опять же равно R/
.
-
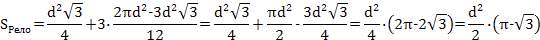
Площадь треугольника Рело
Одна из задач моей работы: доказать, что из всех фигур постоянной ширины d треугольник Рело имеет наименьшую площадь.
Для начала найдем площадь треугольника Рело:
;
;
Следовательно, площадь треугольника Рело равна
Попробуем доказать, что треугольник Рело имеет наименьшую площадь. Обозначим через n количество сторон многоугольника.
Пусть дан какой-то правильный n–угольник (с нечетным числом сторон), следовательно, его шириной будет наибольшая из диагоналей (в данном случае их две).
(при n
),
.
Оценим
и площадь треугольника Релло:
,
>
Следовательно,
больше площади треугольника Рело, а равносторонний, треугольник является многоугольником с наименьшим числом вершин (сторон). Значит, с увеличением числа вершин многоугольника площадь фигуры постоянной ширины, в которую вписан этот многоугольник, будет увеличиваться.
Попробуем доказать, что треугольник Рело имеет наименьшую площадь через n— количество сторон многоугольника.
Доказательство.
Итак, площадь треугольника Рело равна
.
Пусть дан правильный многоугольник со стороной а. О — центр вписанной и описанной окружности. ОА=ОD; ОН
АD;
АОD=
(n-число сторон), т.к. треугольник равнобедренный, ОН –биссектриса угла АОD.
Следовательно,
АОН=
НОD;
АОН:
АОН=
; АН=
, то
.
.
Диаметром многоугольника является его наибольшая диагональ (в данном случае их две). Рассмотрим центральный угол АОВ и вписанный в окружность угол АМВ (рис. 21), то
АОВ=2
АМВ,
АМВ=
. AM=MB, то по теореме косинусов
, то
Площадь фигуры, в которую вписан правильный многоугольник состоит из площади многоугольника и суммы площадей равных сегментов. Площадь сегмента равна
















