85760 (612565)
Текст из файла
КУРСОВОЙ ПРОЕКТ
ПО ВЫСШЕЙ МАТЕМАТИКЕ
НА ТЕМУ
МАТЕМАТИЧЕСКОЕ МОДЕЛИРОВАНИЕ И ОПТИМИЗАЦИЯ СИСТЕМЫ МАССОВОГО ОБСЛУЖИВАНИЯ
СОДЕРЖАНИЕ
ВВЕДЕНИЕ
ПОСТАНОВКА ЗАДАЧИ
РЕШЕНИЕ ЗАДАЧИ
ЗАКЛЮЧЕНИЕ
СПИСОК ЛИТЕРАТУРЫ
ВВЕДЕНИЕ
Теория массового обслуживания – область прикладной математики, занимающаяся анализом процессов в системах производства, обслуживания, управления, в которых однородные события повторяются многократно, например, на предприятиях бытового обслуживания; в системах приема, переработки и передачи информации; автоматических линиях производства и др. [1]
Предметом теории массового обслуживания является установление зависимостей между характером потока заявок, числом каналов обслуживан6ия, производительностью отдельного канала и эффективным обслуживанием с целью нахождения наилучших путей управления этими процессами. [1]
Задача теории массового обслуживания – установить зависимость результирующих показателей работы системы массового обслуживания (вероятности того, что заявка будет обслужена; математического ожидания числа обслуженных заявок и т.д.), от входных показателей (количества каналов в системе, параметров входящего потока заявок и т.д.). Результирующими показателями или интересующими нас характеристиками СМО являются – показатели эффективности СМО, которые описывают, способна ли данная система справляться с потоком заявок. [1]
Системы массового обслуживания могут быть одноканальными или многоканальными.
Заметим, что за последние годы область применения математических методов теории массового обслуживания непрерывно расширяется и все больше выходит за пределы задач, связанных с "обслуживающими организациями" в буквальном смысле слова. Как своеобразные системы массового обслуживания могут рассматриваться: электронные цифровые вычислительные машины; системы сбора и обработки информации; автоматизированные производственные цехи, поточные линии; транспортные системы; системы противовоздушной обороны и т. д. [2]
Задачи массового обслуживания условно делят на задачи анализа и задачи синтеза - оптимизации систем массового обслуживания. Первые предполагают определение основных параметров функционирования системы массового обслуживания при неизменных, наперед заданных исходных характеристиках: структура системы, дисциплина обслуживания, потоки требований и законы распределения времени на их обслуживание. Вторые направлены на поиск оптимальных параметров систем массового обслуживания. [4]
Оптимизационные модели широко используются в экономике и технике. Среди них задачи подбора сбалансированного рациона питания, оптимизации ассортимента продукции, транспортная задача и пр., и пр.
Задача оптимизации – задача выбора из множества возможных вариантов наилучшего, оптимального. Оптимизация – от латинского слова «оптимус» - наилучший – поиск наилучшего, поиск наилучшего проектного изделия. [4]
Каждая задача оптимизации обязательно должна иметь три компоненты:
неизвестные (что ищем, то есть, план);
ограничение на неизвестные (область поиска);
целевая функция (цель, для которой ищем экстремум).
Математическая модель, та которая определена с помощью математических формализмов. Математическая модель не является точной, а является идеализацией.
Определение параметров состояния - задача моделирования. Определение переменных проектирования – задачи проектирования или задачи оптимизации. [3]
Выявление основных особенностей, взаимосвязей и количественных закономерностей
Функционирование любой системы массового обслуживания можно представить через все возможные состояния ее и интенсивность перехода из одного состояния в другое. Основными параметрами функционирования СМО являются вероятности ее состояния, то есть возможности наличия n требований в системе - Рn.
Важным параметром функционирования СМО является также среднее число требований, находящихся в системе Nsyst, то есть в очереди на обслуживание, а также средняя длина очереди Noch. Исходными параметрами, характеризующими систему массового обслуживания, являются: число каналов обслуживания - n; число требований - m; интенсивность поступления одного требования на обслуживание - λ, то есть число поступлений требований в единицу времени; интенсивность обслуживания требований - μ.
Многоканальная СМО с отказами
Рассмотрим n-канальную СМО с отказами. Будем нумеровать состояния системы по числу занятых каналов (или, что в данном случае то же, по числу заявок, связанных с системой). Состояния будут:
S0 - все каналы свободны, S1 - занят ровно один канал, остальные свободны,
Sk - заняты ровно k каналов, остальные свободны, Sn - заняты все n каналов.
Граф состояний СМО представлен на рис.1. Разместим граф, т.е. проставим у стрелок интенсивности соответствующих потоков событий. По стрелкам слева на право систему переводит один и тот же поток - поток заявок с интенсивностью l.
Рис.1
Если система находиться в состоянии Sk (занято k каналов) и пришла новая заявка, система переходит (перескакивает) в состояние Sk+1
Определим интенсивности потоков событий, переводящих систему по стрелкам справа налево.
Пусть система находиться в состоянии S1 (занят один канал). Тогда, как только закончиться обслуживание заявки, занимающей этот канал, система перейдет в S0; значит, поток событий, переводящий систему по стрелке S1 ® S0, Имеет интенсивность m. Очевидно, если обслуживанием занято два канала, а не один, поток обслуживаний, переводящий систему по стрелке S2 ® S1, будет вдвое интенсивнее (2m); если занято k каналов - в k раз интенсивнее (km). Проставим соответствующие интенсивности у стрелок, ведущих справа налево.
Из рис.1 видно, что процесс, протекающий в СМО, представляет собой частный случай процесса гибели и размножения.
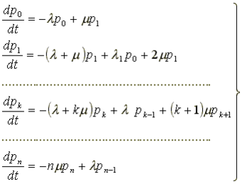
Пользуясь общими правилами, можно составить уравнения Колмогорова для вероятностей состояний:
Уравнения (1) называются уравнениями Эрланга. Естественными начальными условиями для их решения являются:
p0(0)=1; p1(0)=p2(0)=...=pn(0)=0 (в начальный момент система свободна).
Интегрирование системы уравнений (1) в аналитическом виде довольно сложно; на практике такие системы дифференциальных уравнений обычно решаются численно, на ЭВМ. Такое решение дает нам все вероятности состояний p0(t), p1(t),..., pn(t) как функции времени.
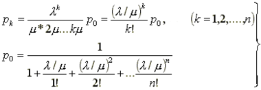
Естественно, нас больше всего будут интересовать предельные вероятности состояний p0 , p1 ,..., pk ,..., pn, характеризующие установившийся режим работы СМО (при t ® ¥). Для нахождения предельных вероятностей воспользуемся уже готовым решением задачи, полученным для схемы гибели и размножения. Согласно этому решению,
В этих формулах интенсивность потока заявок l и интенсивность потока обслуживаний (для одного канала) m не фигурируют по отдельности, а входят только своим отношением l /m. Обозначим это отношение l /m=r и будем называть величину r "приведенной интенсивностью" потока заявок. Физический смысл ее таков: величина r представляет собой среднее число заявок, приходящих в СМО за среднее время обслуживания одной заявки.
С учетом этого обозначения, формулы (2) примут вид:
| | (3) |
Формулы (3) называются формулами Эрланга. Они выражают предельные вероятности всех состояний системы в зависимости от параметров l, m и n (l - интенсивность потока заявок, m - интенсивность обслуживания, n - число каналов СМО).
Зная все вероятности состояний p0 , p1 ,..., pk ,..., pn, можно найти характеристики эффективности СМО: относительную пропускную способность q, абсолютную пропускную способность А и вероятность отказа Pотк.
Действительно, заявка получает отказ, если приходит в момент, когда все n каналов заняты. Вероятность этого равна
Вероятность того, что заявка будет принята к обслуживанию (она же относительная пропускная способность q) дополняет Pотк до единицы:
Абсолютная пропускная способность:
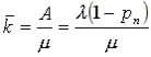
Одной из важных характеристик СМО с отказами является среднее число занятых каналов (в данном случае оно совпадает со средним числом заявок, находящихся в системе). Обозначим это среднее число k-.
Величину k- можно вычислить непосредственно через вероятности p0 , p1,..., pn по формуле:
как математическое ожидание дискретной случайной величины, принимающей значения 0,1,...,n с вероятностями p0 , p1,..., pn. однако значительно проще выразить среднее число занятых каналов через абсолютную пропускную способность А, которую мы уже знаем. Действительно, А есть не что иное, как среднее число заявок, обслуживаемых в единицу времени; один занятый канал обслуживает в среднем за единицу времени m заявок; среднее число занятых каналов получится делением А на m:
или, переходя к обозначению l/m = r,
[5], [6].
Цель данной работы заключается в разработке модели, имитирующей работу поста ГИБДД. Такая задача была поставлена для того, чтобы выявить эффективность работы системы обслуживания поста ГИБДД для дальнейшей ее оптимизации.
В данной работе предлагается к использованию одна из методик, которая предполагает разделение процесса моделирования на две части. Первая часть –обеспечивает нахождение параметров работы исходной задачи. Вторая часть – производится оптимизация определенных параметров при неизменных остальных параметров в таблицах MS Excel. Строятся графики функций. Производится их анализ и делаются выводы.
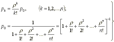
Рассмотрим подробнее математическую модель работы поста ГИБДД как системы массового обслуживания. Для решения задачи было принято допущение, что очередь клиентов ограничена, и, следовательно, данная модель является СМО с ограниченной очередью, где n – количество каналов обслуживания. Также принимаем допущение, что все потоки событий (случайные события) в системе являются Марковскими. Напомним, что случайный процесс, протекающий в системе, называется Марковским, если для любого момента времени t0 вероятностные характеристики процесса в будущем зависят только от его состояния в данный момент t0 и не зависят от того, когда и как система пришла в это состояние.
Поток нарушителей в систему поступают с интенсивностью
. Тогда
Вероятность отказа
.
Относительная пропускная способность
.
Абсолютная пропускная способность
.
Среднее число заявок, связанных с системой
.
Средняя длина очереди
.
Количество, ожидающих в очереди
.
Время в очереди
.
Характеристики
Тип файла документ
Документы такого типа открываются такими программами, как Microsoft Office Word на компьютерах Windows, Apple Pages на компьютерах Mac, Open Office - бесплатная альтернатива на различных платформах, в том числе Linux. Наиболее простым и современным решением будут Google документы, так как открываются онлайн без скачивания прямо в браузере на любой платформе. Существуют российские качественные аналоги, например от Яндекса.
Будьте внимательны на мобильных устройствах, так как там используются упрощённый функционал даже в официальном приложении от Microsoft, поэтому для просмотра скачивайте PDF-версию. А если нужно редактировать файл, то используйте оригинальный файл.
Файлы такого типа обычно разбиты на страницы, а текст может быть форматированным (жирный, курсив, выбор шрифта, таблицы и т.п.), а также в него можно добавлять изображения. Формат идеально подходит для рефератов, докладов и РПЗ курсовых проектов, которые необходимо распечатать. Кстати перед печатью также сохраняйте файл в PDF, так как принтер может начудить со шрифтами.
















