48823 (608797)
Текст из файла
МИНИСТЕРСТВО ОБРАЗОВАНИЯ И НАУКИ УКРАИНЫ
СУМСКИЙ ГОСУДАРСТВЕННЫЙ УНИВЕРСИТЕТ
Курсовая работа
по программированию по теме:
«Решение системы линейных уравнений методом Гаусса и Жордана-Гаусса »
Сумы 2005
ПЛАН
Постановка задачи
Теоретическая часть
Методы решения примененные в программе
Метод Гаусса.
Метод Жордана-Гаусса.
Краткое описание среды визуальной разработки Delphi
Таблица основных обозначений программы.
Описание процедур и алгоритм роботы программы
Текст программы.
Файл-модуль unit1.pas
Файл-модуль unit2.pas
Файл проекта - Project1.dpr:
Результат работы программы.
Инструкция по работе с программой
Использованная Литература
Постановка задачи
Составить программу для решения систем линейных уравнений размером n на n методом Гауса и Жордана-Гаусса.
Теоретическая часть
Методы решения примененные в программе
Метод Гаусса
Метод Гаусса решения систем линейных уравнений состоит в последовательном исключении неизвестных и описывается следующей процедурой.
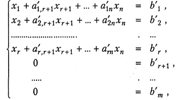
С помощью элементарных преобразований над строками и перестановкой столбцов расширенная матрица
системы
может быть приведена к виду
Эта матрица является расширенной матрицей системы
которая эквивалентна исходной системе
Заметим, что перестановка столбцов означает перенумерацию переменных. На практике обычно избегают этой процедуры, приводя расширенную матрицу к ступенчатому виду путем элементарных преобразований над строками.
Если хотя бы одно из чисел
отлично от нуля, то система
несовместна. Если же
, то система
совместна и можно получить явное выражение для
базисных неизвестных
через
свободных неизвестных
Метод Жордана-Гаусса.
Элементарные преобразования этого метода аналогичны методу Гаусса, только матрица при использовании этого метода приводится к виду, тоесть столбец свободных коэффициентов превращается в столбец корней.
Краткое описание среды визуальной разработки Delphi
Среда Delphi - это сложный механизм, обеспечивающий высокоэффективную работу программиста. Визуально она реализуется несколькими одновременно раскрытыми на экране окнами. Окна могут перемещаться по экрану, частично или полностью перекрывая друг друга, что обычно вызывает у пользователя, привыкшего к относительной “строгости” среды текстового процессора Word или табличного процессора Excel, ощущение некоторого дискомфорта. После приобретения опыта работы с Delphi это ощущение пройдет, и вы научитесь быстро отыскивать нужное окно, чтобы изменить те или иные функциональные свойства создаваемой вами программы, ибо каждое окно несет в себе некоторую функциональность, т. е. предназначено для решения определенных задач.
Запустите Delphi - и вы увидите нечто, похожее на
На рисунке изображены шесть наиболее важных окон Delphi: главное окно, окно Дерева объектов (Object Tree View), окно Инспектора объектов, окно браузера, окно формы и окно кода программы.
Чтобы упорядочить окна так, как они показаны на рисунке, вам придется вручную изменять их положение и размеры, т. к. обычно окно кода программы почти полностью перекрыто окном формы. Впрочем, добиваться максимального сходства того, что вы видите на экране вашего ПК, с изображением, показанным на рисунке, вовсе не обязательно: расположение и размеры окон никак не влияют на их функциональностью.
Замечу, что при первом запуске Delphi поверх всех окон появится окно
С помощью этого окна вы сможете получить доступ к Web-страницам корпорации Inprise для просмотра самой свежей информации о корпорации и ее программных продуктах, копирования дополни тельных файлов, чтения ответов на наиболее часто задаваемые вопросы и т. д. При повторных запусках Delphi это окно появляется автоматически с некоторой периодичностью, определяемой настройками на странице окна Tolls | Environment Options, связанной с закладкой Delphi Direct. Вы также сможете его вызвать в любой момент с помощью опции Help | Delphi Direct главного меню.
Таблица основных обозначений программы.
| Обозначение | Описание | Модуль |
| maxr | Константа для ограничения максимального размера системы | Unit2 |
| arys, ary2s | Типы данных для переменных, в которых хранятся значения коэффициентов системы | Unit2 |
| Gauss1 | Процедура для решения системы линейных уравнений методом Гаусса | Unit2 |
| Gaussj | Процедура для решения системы линейных уравнений методом Жордана-Гаусса | Unit2 |
| i,j,l | Счетчики | Unit1 |
| prover | Промежуточная переменная типа String, используется для проверки наличия букв среди коэффициентов системы, а также для замены «.» на «,». | Unit1 |
| S | Переменная для хранения размера матрицы | Unit1 |
| k | Переменная для хранения длины строчки хранящейся в переменной prover. | Unit1 |
| dl | Переменная для проверки размера системы. | Unit1 |
| MainMenu1 | Меню программы. | Unit1 |
| File1, New1, Save1, Exit1 | Пункты меню. | Unit1 |
| Matrix, Coef, Gauss, Jgauss | Таблицы для ввода элементов системы и вывода результатов расчета. | Unit1 |
| XPManifest1 | Компонент, который дает программе возможность использовать оформление Windows. | Unit1 |
| SaveDialog1 | Диалоговое окно для сохранения результатов. | Unit1 |
| Button1, Button2 | Кнопки для запуска процедур решения системы. | Unit1 |
| New1Click | Процедура, которая выполняется после выбора пункта меню New. | Unit1 |
| Button1Click | Процедура, которая выполняется после нажатия кнопки Gauss. | Unit1 |
| Button2Click | Процедура, которая выполняется после нажатия кнопки J-Gauss. | Unit1 |
| Save1Click | Процедура, которая выполняется после выбора пункта меню Save. | Unit1 |
| Exit1Click | Процедура, которая выполняется после выбора пункта меню Exit. | Unit1 |
| Form1 | Собственно окно программы. | Unit1 |
Описание процедур и алгоритм роботы программы
В программу включены следующие процедуры : «gauss1», «gaussj », «New1Click», «Button1Click », «Button2Click », «Save1Click», «Exit1Click ». С каждой из них мы ознакомимся ниже.
Процедура «gauss1» выполняет проверку системы на сходимость и решение методом Гаусса.
Процедура «gaussj » выполняет проверку системы на сходимость и решение методом Жордана-Гаусса.
Процедура «New1Click» выполняется после выбора пункта меню «New» или сразу после запуска программы и выполняет чтение размера системы и устанавливает размер таблиц для ввода коэффициентов системы.
Процедура «Button1Click » считывает коэффициенты системы, проверяет корректность ввода коэффициентов и заменяет при необходимости «.» на «,». Потом запускает процедуру «gauss1» для решения системы и выводит результаты.
Процедура «Button2Click » считывает коэффициенты системы, проверяет корректность ввода коэффициентов и заменяет при необходимости «.» на «,». Потом запускает процедуру «gaussj » для решения системы и выводит результаты.
Процедура «Save1Click» запускает диалог сохранения файлов и выполняет сохранение результатов.
Процедура «Exit1Click » - Выход из программы.
Текст программы.
Файл-модуль unit1.pas
unit Unit1;
interface
uses
Windows, Messages, SysUtils, Variants, Classes, Graphics, Controls, Forms,
Dialogs, Menus, XPMan, StdCtrls, Grids, unit2;
type
TForm1 = class(TForm)
Coef: TStringGrid;
Характеристики
Тип файла документ
Документы такого типа открываются такими программами, как Microsoft Office Word на компьютерах Windows, Apple Pages на компьютерах Mac, Open Office - бесплатная альтернатива на различных платформах, в том числе Linux. Наиболее простым и современным решением будут Google документы, так как открываются онлайн без скачивания прямо в браузере на любой платформе. Существуют российские качественные аналоги, например от Яндекса.
Будьте внимательны на мобильных устройствах, так как там используются упрощённый функционал даже в официальном приложении от Microsoft, поэтому для просмотра скачивайте PDF-версию. А если нужно редактировать файл, то используйте оригинальный файл.
Файлы такого типа обычно разбиты на страницы, а текст может быть форматированным (жирный, курсив, выбор шрифта, таблицы и т.п.), а также в него можно добавлять изображения. Формат идеально подходит для рефератов, докладов и РПЗ курсовых проектов, которые необходимо распечатать. Кстати перед печатью также сохраняйте файл в PDF, так как принтер может начудить со шрифтами.
















