47278 (608198), страница 4
Текст из файла (страница 4)
Рисунок 4.1 – График исследуемой функции
Изобразим на рисунке (4.2) линии уровня функции
Рисунок 4.2 – Линии уровня исследуемой функции
Отобразим на графиках линий уровня для каждого из заданных методов траекторию спуска
Рисунок 4.3 – траектория спуска (метод Нелдера-Мида)
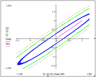
Рисунок 4.4 – траектория спуска (градиентный метод)
-
АНАЛИТИЧЕСКОЕ ИССЛЕДОВАНИЕ МЕТОДОВ
Для выявления зависимости числа итераций от заданной точности методы реализованы для каждого значения точности. Результаты представлены в таблицах (5.1-5.6, 5.8-5.13)
Реализация метода Нелдера-Мида :
Таблица 5.1 – Реализация метода Нелдера-Мида при
| Номер итерации | Х1 | Х2 | Функция | Параметр останова |
| 1 | 0,4066667 | 0,4066667 | 45,631123492267 | 14,5885289 |
| 2 | 0,4433333 | 0,2683333 | 29,870063661634 | 2,8471538 |
| 3 | 0,3141667 | 0,2704167 | 16,456883364840 | 0,8308005 |
| 4 | 0,2495833 | 0,2714583 | 13,667862520021 | 0,3301516 |
| 5 | 0,2194792 | 0,2030729 | 12,662220410942 | 0,1540974 |
| 6 | 0,1796615 | 0,1864974 | 12,281326901893 | 0,0870517 |
Таблица 5.2 – Реализация метода Нелдера-Мида при
| Номер итерации | Х1 | Х2 | Функция | Параметр останова |
| 1 | 0,4066667 | 0,4066667 | 45,631123492267 | 14,5885289 |
| 2 | 0,4433333 | 0,2683333 | 29,870063661634 | 2,8471538 |
| 3 | 0,3141667 | 0,2704167 | 16,456883364840 | 0,8308005 |
| 4 | 0,2495833 | 0,2714583 | 13,667862520021 | 0,3301516 |
| 5 | 0,2194792 | 0,2030729 | 12,662220410942 | 0,1540974 |
| 6 | 0,1796615 | 0,1864974 | 12,281326901893 | 0,0870517 |
| 7 | 0,1546549 | 0,1481608 | 12,136891733007 | 0,0558708 |
| 8 | 0,1284945 | 0,1302889 | 12,072845463097 | 0,0394655 |
| 9 | 0,1094511 | 0,1066526 | 12,044325208099 | 0,0355389 |
| 10 | 0,0380868 | 0,0472725 | 12,032057545239 | 0,0204381 |
| 11 | 0,0107240 | 0,0206094 | 12,021017539213 | 0,0124410 |
| 12 | 0,0217244 | 0,0287886 | 12,011093940034 | 0,0130068 |
| 13 | -0,0220008 | -0,0163585 | 12,008732867306 | 0,0089109 |
Таблица 5.3 – Реализация метода Нелдера-Мида при
| Номер итерации | Х1 | Х2 | Функция | Параметр останова |
| 1 | 0,4066667 | 0,4066667 | 45,631123492267 | 14,5885289 |
| 2 | 0,4433333 | 0,2683333 | 29,870063661634 | 2,8471538 |
| 3 | 0,3141667 | 0,2704167 | 16,456883364840 | 0,8308005 |
| 4 | 0,2495833 | 0,2714583 | 13,667862520021 | 0,3301516 |
| 5 | 0,2194792 | 0,2030729 | 12,662220410942 | 0,1540974 |
| 6 | 0,1796615 | 0,1864974 | 12,281326901893 | 0,0870517 |
| 7 | 0,1546549 | 0,1481608 | 12,136891733007 | 0,0558708 |
| 8 | 0,1284945 | 0,1302889 | 12,072845463097 | 0,0394655 |
| 9 | 0,1094511 | 0,1066526 | 12,044325208099 | 0,0355389 |
| 10 | 0,0380868 | 0,0472725 | 12,032057545239 | 0,0204381 |
| 11 | 0,0107240 | 0,0206094 | 12,021017539213 | 0,0124410 |
| 12 | 0,0217244 | 0,0287886 | 12,011093940034 | 0,0130068 |
| 13 | -0,0220008 | -0,0163585 | 12,008732867306 | 0,0089109 |
| 14 | -0,0274319 | -0,0235556 | 12,005248404276 | 0,0053110 |
| 15 | -0,0178584 | -0,0140681 | 12,003293104515 | 0,0042019 |
| 16 | -0,0191470 | -0,0189750 | 12,002069416305 | 0,0030794 |
| 17 | -0,0146824 | -0,0154579 | 12,001121615618 | 0,0025320 |
| 18 | -0,0132441 | -0,0133520 | 12,000655246493 | 0,0026725 |
| 19 | -0,0028766 | -0,0042119 | 12,000504634754 | 0,0015212 |
| 20 | 0,0004344 | -0,0008739 | 12,000339347268 | 0,0009248 |
Таблица 5.4 – Реализация метода Нелдера-Мида при
| Номер итерации | Х1 | Х2 | Функция | Параметр останова |
| 1 | 0,4066667 | 0,4066667 | 45,631123492267 | 14,5885289 |
| 2 | 0,4433333 | 0,2683333 | 29,870063661634 | 2,8471538 |
| 3 | 0,3141667 | 0,2704167 | 16,456883364840 | 0,8308005 |
| 4 | 0,2495833 | 0,2714583 | 13,667862520021 | 0,3301516 |
| 5 | 0,2194792 | 0,2030729 | 12,662220410942 | 0,1540974 |
| 6 | 0,1796615 | 0,1864974 | 12,281326901893 | 0,0870517 |
| 7 | 0,1546549 | 0,1481608 | 12,136891733007 | 0,0558708 |
| 8 | 0,1284945 | 0,1302889 | 12,072845463097 | 0,0394655 |
| 9 | 0,1094511 | 0,1066526 | 12,044325208099 | 0,0355389 |
| 10 | 0,0380868 | 0,0472725 | 12,032057545239 | 0,0204381 |
| 11 | 0,0107240 | 0,0206094 | 12,021017539213 | 0,0124410 |
| 12 | 0,0217244 | 0,0287886 | 12,011093940034 | 0,0130068 |
| 13 | -0,0220008 | -0,0163585 | 12,008732867306 | 0,0089109 |
| 14 | -0,0274319 | -0,0235556 | 12,005248404276 | 0,0053110 |
| 15 | -0,0178584 | -0,0140681 | 12,003293104515 | 0,0042019 |
| 16 | -0,0191470 | -0,0189750 | 12,002069416305 | 0,0030794 |
| 17 | -0,0146824 | -0,0154579 | 12,001121615618 | 0,0025320 |
| 18 | -0,0132441 | -0,0133520 | 12,000655246493 | 0,0026725 |
| 19 | -0,0028766 | -0,0042119 | 12,000504634754 | 0,0015212 |
| 20 | 0,0004344 | -0,0008739 | 12,000339347268 | 0,0009248 |
| 21 | -0,0013297 | -0,0023245 | 12,000183034613 | 0,0009948 |
| 22 | 0,0035282 | 0,0029010 | 12,000137117579 | 0,0007582 |
| 23 | 0,0038607 | 0,0034821 | 12,000078476732 | 0,0004900 |
| 24 | 0,0027293 | 0,0023210 | 12,000050320679 | 0,0004156 |
| 25 | 0,0022628 | 0,0023222 | 12,000031684386 | 0,0002830 |
| 26 | 0,0015804 | 0,0017419 | 12,000017894979 | 0,0002411 |
| 27 | 0,0015265 | 0,0015966 | 12,000009969113 | 0,0002705 |
| 28 | 0,0001079 | 0,0002907 | 12,000008036464 | 0,0001594 |
| 29 | -0,0002737 | -0,0001084 | 12,000005403290 | 0,0000921 |
Таблица 5.5 – Реализация метода Нелдера-Мида при
| Номер итерации | Х1 | Х2 | Функция | Параметр останова |
| 1 | 0,4066667 | 0,4066667 | 45,631123492267 | 14,5885289 |
| 2 | 0,4433333 | 0,2683333 | 29,870063661634 | 2,8471538 |
| 3 | 0,3141667 | 0,2704167 | 16,456883364840 | 0,8308005 |
| 4 | 0,2495833 | 0,2714583 | 13,667862520021 | 0,3301516 |
| 5 | 0,2194792 | 0,2030729 | 12,662220410942 | 0,1540974 |
| 6 | 0,1796615 | 0,1864974 | 12,281326901893 | 0,0870517 |
| 7 | 0,1546549 | 0,1481608 | 12,136891733007 | 0,0558708 |
| 8 | 0,1284945 | 0,1302889 | 12,072845463097 | 0,0394655 |
| 9 | 0,1094511 | 0,1066526 | 12,044325208099 | 0,0355389 |
| 10 | 0,0380868 | 0,0472725 | 12,032057545239 | 0,0204381 |
| 11 | 0,0107240 | 0,0206094 | 12,021017539213 | 0,0124410 |
| 12 | 0,0217244 | 0,0287886 | 12,011093940034 | 0,0130068 |
| 13 | -0,0220008 | -0,0163585 | 12,008732867306 | 0,0089109 |
| 14 | -0,0274319 | -0,0235556 | 12,005248404276 | 0,0053110 |
| 15 | -0,0178584 | -0,0140681 | 12,003293104515 | 0,0042019 |
| 16 | -0,0191470 | -0,0189750 | 12,002069416305 | 0,0030794 |
| 17 | -0,0146824 | -0,0154579 | 12,001121615618 | 0,0025320 |
| 18 | -0,0132441 | -0,0133520 | 12,000655246493 | 0,0026725 |
| 19 | -0,0028766 | -0,0042119 | 12,000504634754 | 0,0015212 |
| 20 | 0,0004344 | -0,0008739 | 12,000339347268 | 0,0009248 |
| 21 | -0,0013297 | -0,0023245 | 12,000183034613 | 0,0009948 |
| 22 | 0,0035282 | 0,0029010 | 12,000137117579 | 0,0007582 |
| 23 | 0,0038607 | 0,0034821 | 12,000078476732 | 0,0004900 |
| 24 | 0,0027293 | 0,0023210 | 12,000050320679 | 0,0004156 |
| 25 | 0,0022628 | 0,0023222 | 12,000031684386 | 0,0002830 |
| 26 | 0,0015804 | 0,0017419 | 12,000017894979 | 0,0002411 |
| 27 | 0,0015265 | 0,0015966 | 12,000009969113 | 0,0002705 |
| 28 | 0,0001079 | 0,0002907 | 12,000008036464 | 0,0001594 |
| 29 | -0,0002737 | -0,0001084 | 12,000005403290 | 0,0000921 |
| 30 | -0,0000145 | 0,0001182 | 12,000003012890 | 0,0000930 |
| 31 | -0,0005185 | -0,0004534 | 12,000002135678 | 0,0000765 |
| 32 | -0,0005149 | -0,0004829 | 12,000001171711 | 0,0000537 |
| 33 | -0,0003880 | -0,0003474 | 12,000000755753 | 0,0000486 |
| 34 | -0,0002538 | -0,0002710 | 12,000000487650 | 0,0000301 |
| 35 | -0,0001568 | -0,0001842 | 12,000000290103 | 0,0000249 |
| 36 | -0,0001661 | -0,0001816 | 12,000000155619 | 0,0000289 |
| 37 | 0,0000186 | -0,0000052 | 12,000000128281 | 0,0000180 |
| 38 | 0,0000601 | 0,0000402 | 12,000000084592 | 0,0000102 |
| 39 | 0,0000243 | 0,0000074 | 12,000000049029 | 0,0000094 |
Таблица 5.6 – Реализация метода Нелдера-Мида при
| Номер итерации | Х1 | Х2 | Функция | Параметр останова |
| 1 | 0,4066667 | 0,4066667 | 45,631123492267 | 14,5885289 |
| 2 | 0,4433333 | 0,2683333 | 29,870063661634 | 2,8471538 |
| 3 | 0,3141667 | 0,2704167 | 16,456883364840 | 0,8308005 |
| 4 | 0,2495833 | 0,2714583 | 13,667862520021 | 0,3301516 |
| 5 | 0,2194792 | 0,2030729 | 12,662220410942 | 0,1540974 |
| 6 | 0,1796615 | 0,1864974 | 12,281326901893 | 0,0870517 |
| 7 | 0,1546549 | 0,1481608 | 12,136891733007 | 0,0558708 |
| 8 | 0,1284945 | 0,1302889 | 12,072845463097 | 0,0394655 |
| 9 | 0,1094511 | 0,1066526 | 12,044325208099 | 0,0355389 |
| 10 | 0,0380868 | 0,0472725 | 12,032057545239 | 0,0204381 |
| 11 | 0,0107240 | 0,0206094 | 12,021017539213 | 0,0124410 |
| 12 | 0,0217244 | 0,0287886 | 12,011093940034 | 0,0130068 |
| 13 | -0,0220008 | -0,0163585 | 12,008732867306 | 0,0089109 |
| 14 | -0,0274319 | -0,0235556 | 12,005248404276 | 0,0053110 |
| 15 | -0,0178584 | -0,0140681 | 12,003293104515 | 0,0042019 |
| 16 | -0,0191470 | -0,0189750 | 12,002069416305 | 0,0030794 |
| 17 | -0,0146824 | -0,0154579 | 12,001121615618 | 0,0025320 |
| 18 | -0,0132441 | -0,0133520 | 12,000655246493 | 0,0026725 |
| 19 | -0,0028766 | -0,0042119 | 12,000504634754 | 0,0015212 |
| 20 | 0,0004344 | -0,0008739 | 12,000339347268 | 0,0009248 |
| 21 | -0,0013297 | -0,0023245 | 12,000183034613 | 0,0009948 |
| 22 | 0,0035282 | 0,0029010 | 12,000137117579 | 0,0007582 |
| 23 | 0,0038607 | 0,0034821 | 12,000078476732 | 0,0004900 |
| 24 | 0,0027293 | 0,0023210 | 12,000050320679 | 0,0004156 |
| 25 | 0,0022628 | 0,0023222 | 12,000031684386 | 0,0002830 |
| 26 | 0,0015804 | 0,0017419 | 12,000017894979 | 0,0002411 |
| 27 | 0,0015265 | 0,0015966 | 12,000009969113 | 0,0002705 |
| 28 | 0,0001079 | 0,0002907 | 12,000008036464 | 0,0001594 |
| 29 | -0,0002737 | -0,0001084 | 12,000005403290 | 0,0000921 |
| 30 | -0,0000145 | 0,0001182 | 12,000003012890 | 0,0000930 |
| 31 | -0,0005185 | -0,0004534 | 12,000002135678 | 0,0000765 |
| 32 | -0,0005149 | -0,0004829 | 12,000001171711 | 0,0000537 |
| 33 | -0,0003880 | -0,0003474 | 12,000000755753 | 0,0000486 |
| 34 | -0,0002538 | -0,0002710 | 12,000000487650 | 0,0000301 |
| 35 | -0,0001568 | -0,0001842 | 12,000000290103 | 0,0000249 |
| 36 | -0,0001661 | -0,0001816 | 12,000000155619 | 0,0000289 |
| 37 | 0,0000186 | -0,0000052 | 12,000000128281 | 0,0000180 |
| 38 | 0,0000601 | 0,0000402 | 12,000000084592 | 0,0000102 |
| 39 | 0,0000243 | 0,0000074 | 12,000000049029 | 0,0000094 |
| 40 | 0,0000716 | 0,0000655 | 12,000000032997 | 0,0000081 |
| 41 | 0,0000655 | 0,0000636 | 12,000000017601 | 0,0000061 |
| 42 | 0,0000522 | 0,0000486 | 12,000000011215 | 0,0000059 |
| 43 | 0,0000267 | 0,0000299 | 12,000000007565 | 0,0000034 |
| 44 | 0,0000136 | 0,0000178 | 12,000000004741 | 0,0000026 |
| 45 | 0,0000167 | 0,0000194 | 12,000000002493 | 0,0000031 |
| 46 | -0,0000062 | -0,0000033 | 12,000000002045 | 0,0000021 |
| 47 | -0,0000104 | -0,0000081 | 12,000000001302 | 0,0000012 |
| 48 | -0,0000057 | -0,0000037 | 12,000000000784 | 0,0000010 |
| 49 | -0,0000094 | -0,0000089 | 12,000000000507 | 0,0000009 |
Данные по количеству итераций и заданным точностям для метода Нелдера-Мида сведены в таблицу 5.7








