16550 (600815), страница 2
Текст из файла (страница 2)
Стратегические решения, прежде всего, связаны с разработкой стратегических документов (концепций, планов, целевых программ). Такие решения ориентированы на достаточно длительную перспективу (не менее 3 – 5 лет).
Тактические решения направлены на детализацию стратегических решений на относительно коротком (среднесрочном и более кратком) интервале времени с точки зрения выбора способов, методов реализации стратегических решений. Иногда их называют стратегическими решениями для этого интервала времени. Если стратегические решения принимаются руководством высшего звена управления, то тактические – преимущественно руководителями среднего звена.
Оперативные решения непосредственно воздействуют на процесс реализации стратегических и тактических решений. Оперативные решения определяют содержание текущей деятельности организации, лежат в основе оперативно-календарных планов и действий по их реализации. Иногда оперативные решения приобретают характер срочных решений. Решения по найму и увольнению, проведению рекламной кампании, изменению цен и многие другие могут носить оперативный характер, их принятие часто обусловливается изменением внешних и внутренних условий, хода выполнения планов.
Тактические и оперативные решения можно смело отнести к краткосрочным управленческим решениям, которые выделяются как подвиды к ходе рассмотрения дисциплины бухгалтерский управленческий учет.
Программируемые решения направлены на решение сильно структурированных, как правило, стандартных проблем. Они являются результатом реализации определенных шагов или действий. Как правило, число возможных альтернатив ограничено, и исходя из прежнего опыта используется апробированный алгоритм принятия решений. К программируемым решениям могут быть отнесены определенные типы рутинных решений. Если при принятии программируемых решений используются математические методы, то их также можно отнести к формализованным решениям.
Непрограммируемые решения принимаются в ситуациях, которые в определенной мере являются новыми, слабо структуризированными, предполагают учет неизвестных факторов. Для таких решений практически невозможно составить конкретную последовательность необходимых шагов по принятию решения. Такие решения могут содержать достаточно много вариантов решений. Они плохо поддаются формализации. К числу таких решений относятся творческие, уникальные решения. Краткосрочные решения, также как правило являются непрограммируемыми.
Принятие решения может выполняться как формализованным, так и неформализованным путем. В первом случае речь идет о решениях в высокой мере структурированных задач на основе достаточно четких алгоритмов, когда при обосновании рассматриваемых решений используются формальные средства – математические методы и вычислительная техника (как минимум, простые арифметические расчеты, например составление графика выхода на работу медицинских сестер, исходя из задачи обеспечения необходимого соотношения между ними и числом больных). Во втором случае решения выбираются преимущественно на основе мышления руководителя и специалистов, то есть неформальным образом. Частично формализуемые решения в большей мере отражают реальную практику принятия управленческих решений. Например, для обработки данных эвристического происхождения используются математические методы.
Рутинные решения практически не предполагают использования творческого потенциала руководителя, применения специальных методов обоснования решений. Примером таких решений являются решения о найме и увольнении, при обосновании которых руководствуются четкими законами и правилами, критериями, характеризующими соответствие кандидатов определенным требованиям (имеется в виду объективный подход к принятию данных решений). Другой пример – решения научно-технических, ученых и других советов, органов законодательной власти и тому подоюных, где принятие решения определяется четким регламентом (скажем, простым или абсолютным большинством голосов, понятием кворума). (Здесь не рассматривается процесс выработки альтернатив решения, который может носить творческий характер.) Многие такие решения носят стандартный характер.
Творческие решения основываются на нетрадиционных подходах, инновациях, на умении нестандартно взглянуть на возникшую проблему. Для таких решений обычно заранее не известны все имеющиеся альтернативы, невозможно использовать прежний опыт. Творческий подход используется при выборе направлений развития организации, разработке стратегических планов, различных комплексных программ, принятии уникальных решений.
Периодические повторяющиеся решения характеризуются определенной повторяемостью. Примером таких решений являются решения о найме и увольнении, если их рассматривать с точки зрения данного классификационного признака.
К непериодическим решениям можно отнести многие решения, принимаемые по отдельным проблемам нерегулярно, по мере возникновения этих проблем. Появление таких проблем может повторяться. Например, проблемы повышения качества, производительности труда, разумеется, если они не являются перманентными проблемами.
Уникальные решения предполагают решение судьбоносных, уникальных проблем, появляющихся очень редко, когда заранее не известны варианты решения и надо приложить много усилий по их определению и оценке. К таким решениям можно отнести выбор новых направлений развития предприятия. Например, принятие Генри Фордом решения о переходе к серийному выпуску автомобилей; президентом одной японской компании о переходе к выпуску белья и одежды с использованием нейлона, материала, который тогда существовал только в лаборатории ученых. Практика говорит о том, что не все такие решения относятся к числу творческих, рациональных; они могут приниматься и на интуитивной основе.
Срочные решения (указания руководства, требующие немедленных действий, решения в чрезвычайных ситуациях) принимаются в условиях сильного дефицита времени, когда нет возможности использовать широкий арсенал методов принятия решений. Однако и для таких решений можно выработать определенные рекомендации по их принятию, о чем речь пойдет в одной из статей данного цикла. Несрочные решения предполагают использование всего арсенала методов принятия решений.
Чисто интуитивное решение – это выбор, сделанный только на основе ощущения того, что он правилен. Руководитель при принятии решения не использует определенные методы, не проводит сознательную оценку вариантов решений. Интуитивное решение основывается на так называемом шестом чувстве или озарении.
Когда руководитель принимает решение на основе прошлого опыта, проектирования прошлых решений на ситуацию принятия решения в данный момент, использует метод аналогии, прецедента, использует здравый смысл, то такие решения называются решениями, основанными на суждениях. Логика таких решений неочевидна. Чрезмерная ориентация руководителя на прежний опыт, порой, приводит к принятию традиционных решений, к исключению из рассмотрения новых альтернатив.
Рациональные решения принимаются исходя из строгой логики процесса поиска решения, основываются на использовании научных методов.
Долгосрочные решения – рассматриваются с точки зрения дисциплины бухгалтерский управленческий учет и они характеризуются тем, что определяют деятельность организации на долгосрочный период, определяют общую стратегию деятельности предприятия на будущее. К таким решениям относятся решения о капиталовложениях, о реструктуризации бизнеса, о целесообразности освоения новых видов продукции.
Краткосрочные решения – носят оперативный характер и решают вопросы связанные с определением точки безубыточности в организации, планирование ассортимента продукции, отказ или привлечение дополнительных заказов, определение структуры продукции с учетом лимитирующего фактора, принятие решений о ценообразовании [10].
Классификация видов решений по перечисленным признакам приводит к различным комбинациям видов решений. Например, некоторое конкретное решение может быть классифицировано как решение в условиях неопределенности, стратегическое, плановое, групповое и многоцелевое. Возможны и другие комбинации. Таким образом, вид решения определяет выбор рациональной технологии его принятия.
1.3 Сбор и обработки информации для принятия управленческих решений
Существующий подход к сбору информации для принятия управленческих решений, реализованный на многих предприятиях, носит «функциональный» характер и понимается соответственно как функция от информационного окружения, т.е. существуют базы данных внутренней и внешней информации, которую собрали и порой используют для принятия решения функциональные службы. Так, например, отдел сбыта предприятия собирает информацию о контактах с клиентами, о сделках и услугах; служба маркетинга готовит обзоры тенденций рынка и изменений вкусов потребителей; технический отдел и инвестиций собирает информацию о новых производственных идеях и готовит данные и расчеты для инвестиционных проектов; производственники собирают информацию о возможностях обновления производства и совершенствования выпускаемой продукции; служба информации готовит обзоры новинок программного обеспечения и информационного оборудования; отдел кадров и соцобеспечения отслеживает изменения в составе рабочей силы и в возможностях найма. Каковы недостатки данного подхода помимо того, что на предприятии стратегическое мышление замкнуто границами этих изолированных баз данных, которые используют определенные группы сотрудников для выработки предложений о направлении развития компании и разработки стратегий, ведущих к успеху. Во-первых, эти базы данных отражают функциональный подход к деятельности предприятия, а не широкое управленческое понимание бизнеса. Во-вторых, истолкование собранных данных находится под влиянием предрассудков и запретов, сковано шаблонами представлений о прежних факторах успеха. В-третьих, специалисты служб планирования, финансового обеспечения, маркетинга, информационных и других технических служб продолжают действовать исключительно как получатели и хранители информации.
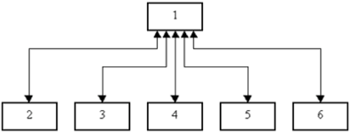
Таким образом, на предприятии вся информационная деятельность нацелена на одностороннее и узкое обслуживание руководства организации и редко используется для информационного обеспечения других этажей управления в целях подготовки оптимальных в целом управленческих решений. Схема информационных представлена на рисунке 4.
1 – управление организацией, 2–6 – подразделения организации
Рис. 4. Существующая схема организации информационных потоков
Для организации современной бизнес-деятельности необходима такая реорганизация информационных потоков, которая обеспечивает информационную достаточность и четкость во взаимном информационном обеспечении отдельных подразделений с целью выработки оптимального для фирмы решения. Но организация такой информационной системы на современном уровне возможна лишь на основе создания современного управленческого учета, система и задачи которого изложены далее.
Задачи, решаемые при создании системы подготовки информации для принятия управленческих решений, находят свое отражение в управленческом учете. Перед предприятием стоит задача организации такого учета.
Под управленческим учетом мы будем понимать систему выявления, сбора и агрегирования учетных данных, направленную на решение конкретной управленческой задачи.
Следует отметить, что существуют различные подходы к определению понятия «управленческий учет». Русский термин «Управленческий учет» восходит к английскому термину «Managerial accounting» и к его европейскому аналогу: «контроллинг». Эти два термина не являются полностью эквивалентными и отражают два подхода к пониманию термина «управленческий учет», которые можно охарактеризовать следующим образом:
-
первый рассматривает управленческий учет как систему сбора и интерпретации информации о затратах, издержках и себестоимости продукции, что ближе к термину «контроллинг», при этом большее внимание уделяется нормативному характеру подобной информации и ее значению для получения «внешней отчетности» предприятия. Кстати, термин контроллинг не случайно является однокоренным со словом «контроль», что подчеркивает связь учета с управлением. Упрощенно можно считать, что это расширенная система организации учета для целей контроля за деятельностью предприятия.
-
второй подход исходит из того, что основная задача любой учетной деятельности – обеспечение управленческого персонала предприятия своевременной и полной информацией для принятия управленческих решений, и что имеет место «системнозависимый» характер учетной деятельности, то есть тесная, точнее неразрывная связь технологий учета с технологиями управления компанией в целом и / или ее частями. Такой подход соответствует понятию «Managerial accounting», который может быть переведен следующей фразой «организация учета, исходя из потребностей управления». При таком подходе к понятию «управленческий учет» относятся не только система сбора и анализа информации об издержках предприятия, но и система управления бюджетами (то есть планирования) и система оценки деятельности подразделений, то есть более управленческие, нежели бухгалтерские технологии. Существует также более узкая трактовка данного понятия, при которой под «Managerial accounting» понимается формирование специальных отчетов из имеющихся бухгалтерских данных для целей поддержки принятия решений. В данном случае необходимо понимать, что получить указанные отчеты можно только при наличии соответствующей информации в учетных регистрах. Считается, что используемая система бухгалтерского учета (западная) устроена таким образом, что такие отчеты получить возможно, ниже мы еще вернемся к вопросу о том, как должна быть для этого устроена, по нашему мнению, любая система учета (в том числе бухгалтерская) с точки зрения получения корректной информации.
Как в первом, так и во втором случае можно констатировать, что в современном развитии западных источников термина «управленческий учет» центр тяжести все более и более переносится на слово «управленческий», что связано с тем, что методика и технология организации учета все более и более определятся именно управленческой задачей, стоящей перед предприятием. При этом полезно вспомнить, что собственно учет и анализ издержек с целью их снижения и оптимизации является простейшей и самой очевидной формой организации управления коммерческой структурой. Однако, при решении данной задачи недостаточно для определения форм и методов учета руководствоваться только требованиями финансовой или налоговой оптимизации деятельности, а необходимо учитывать и требования технологии основной деятельности, которые, как правило, серьезно влияют на конечный результат. В частности, например, стандартные требования не учитывают необходимость регистрации времени выписки документов на отпуск товара. В то же время временной анализ деятельности отдела сбыта может позволить существенно снизить издержки за счет оптимизации количества персонала с учетом сезонности, или повысить отгрузку путем введения сменности. Или, например, управление и оперативный анализ «ликвидности» дебиторской и кредиторской задолженности – весьма эффективное средство повышения общих финансовых результатов. Но для проведения подобного анализа необходимо ввести детальные учетные регистры, в частности иметь «сквозной» учет и анализ кредиторов и дебиторов.
Таким образом, в связи с необходимостью изменения учетной информации для целей управления на смену «нормативному или налоговому» учету вполне естественно приходит учет управленческий, который в действительности существовал всегда. Причем методика его использования точно соответствовала методике использования данных «управленческого учета»: на базе данных принимались решения, прогнозировались финансовые результаты, а затем на основании этих же решений и результатов формировался учет [3].
В отечественной литературе практически не освящены вопросы классификации систем управленческого учета, за исключением некоторых аспектов финансового управленческого учета.
В то же время создание на предприятии системы управленческого учета практически невозможно без правильной классификации процессов и технологий в соответствии с систематикой управленческого учета, что позволит выработать правильную методологию учета затрат, определения результатов деятельности подразделения, да и наконец, просто определения системы управленческой отчетности подразделения. В общем виде схема генерации управленческого учета представлена на рисунке 5.
















