11660 (600596)
Текст из файла
Содержание
Введение
1. Микробиологические трансформации органических соединений
2. Микробиологические трансформации стероидов
2.1 Стерины
2.2 Основные микробиологические превращения стероидов
2.2.1 Введение гидроксильной группы
2.2.2 Дегидрогенизация стероидов
2.2.3 Микробиологическое восстановление
2.2.4 Окисление гидроксильной группы в кетогруппу
2.2.5 Гидролиз эфиров стероидов
2.2.6 Отщепление боковых цепей стероидов
3. Методы проведения процессов микробиологических трансформаций
4. Примеры промышленного использования микробиологических трансформаций
Список используемой литературы
Введение
Микробиологическая трансформация – использование ферментативной активности жизнеспособных клеток микроорганизмов, результатом чего является некоторое изменение молекулярной структуры трансформируемого субстрата.
В области превращений стероидных соединений достоинства биологических катализаторов проявляются наиболее ярко. Долгое время микробиологическая трансформация считалась специфическим методом химии стероидов.
Первые сообщения о трансформации стероидов микроорганизмами появились задолго до того, как было установлено строение основных представителей стероидов. Еще в конце XIX в. Было известно, что бактериальная флора кишечника млекопитающих превращает холестерин в копростерин, а холевую кислоту — в дезоксихолевую. К 1913 г. Относится открытие полного расщепления холестерина микобактериями. И лишь в 30-х годах, когда была установлена структура основных стероидных гормонов, известных к тому времени, начались попытки применять трансформирующую способность микроорганизмов для препаративного получения этих соединений. В 1948 г. Впервые осуществлено введение гидроксильной группы в молекулу стероида микробилогическим путем. Но только после получения 11
-гидроксипрогестерона из прогестерона при ферментации последнего с культурой Rhizopus nigricans микробиологические трансформации стероидов привлекли широкое внимание.
Данная трансформация ярко продемонстрировала преимущества микробиологических методов перед химическими: введение кислородной функции в определенное положение молекулы стероида заменялось единственной стадией ферментативного гидроксилирования. Открытие в эти же годы терапевтической ценности кортизона наряду с указанными успехами микробиологического процесса гидроксилирования привлекло огромное внимание микробиологов, химиков и врачей к данной области.
Внедрение микробиологического синтеза в процессы получения стероидных гормональных препаратов вызвало переворот в фармацевтической промышленности, позволив сразу во много раз удешевить ценные препараты.
-
Микробиологические трансформации органических соединений
Область синтетического применения микроорганизмов можно условно разделить на два направления:
-
полный биосинтез микроорганизмами важных биологически активных веществ и продуктов (антибиотиков, ферментов, витаминов, стеринов, аминокислот и др.) осуществляемый клетками с помощью компонентов питательной среды;
-
микробиологические трансформации, то есть совместное использование отдельных химических и микробиологических стадий в многостадийном целенаправленном синтезе лекарственных препаратов и других ценных для народного хозяйства продуктов.
Применение микроорганизмов в качестве носителей активных полиферментных систем, способных переводить экзогенные органические соединения в разнообразные полезные продукты и физиологически активные вещества основано на том, что они могут осуществлять в одну стадию важнейшие превращения, требующие при синтезе 20 химических стадий. Кроме того, удается легко проводить реакции, трудно или пока совсем не осуществимые методами чисто химического синтеза.
Метод микробиологических превращений имеет явные преимущества перед химическими реакциями: возможность тонких перестроек сложных молекул, удобство и экономичность технологических процессов. Особенно ярко проявляются они в области химии стероидов. Дело в том, что сложность и громоздкость молекул стероидов затрудняет даже незначительные модификации их химическим путем. Микроорганизмы могут осуществлять уникальные реакции в синтезе лекарственных препаратов стероидной природы, а именно 1,2-дегидрирование, 11
-гидроксилирование. Промышленный синтез таких важнейших лекарств, как гидрокортизон, преднизон, преднизолон, дексаметазон стал возможен только после разработки микробиологических способов их получения. Эти препараты широко применяются при лечении тяжелых ревматических заболеваний, бронхиальной астмы, воспалительных процессов и хронических кожных заболеваний.
Большинство процессов микробиологической трансформации приводит к незначительной перестройке молекулы субстрата, осуществляемой одним или несколькими ферментами. Однако имеются микробиологические процессы, существенно изменяющие структуру трансформируемого соединения. Общей чертой всех процессов микробиологической трансформации является то, что их результат — изменение молекулярной структуры трансформируемого вещества, а не синтез молекулы de novo.
К микробиологическим трансформациям относится также синтез метаболитов из предшественников, если при этом структура продукта реакции определяется, в основном, структурой молекул предшественников (например, синтез некоторых нуклеотидов из гетероциклических оснований, пентоз и фосфатов).
В настоящее время принята классификация микробиологических трансформаций по типу возникновения и отщепления функциональных групп.
Основные процессы микробиологической трансформации: окисление, восстановление, декарбоксилирование, дезаминирование, образование гликозидов, гидролиз, метилирование, этерификация, дегидрирование, диспропорционирование, конденсация, аминирование, ацетилирование, амидирование, деметоксилирование, нуклеотидация, галогенирование, деметилирование, асимметризация, рацемизация, изомеризация.
2. Микробиологические трансформации стероидов
2.1 Стерины
Природные стерины — сырье для получения ценных лекарственных препаратов. [1]
Большой класс стероидов характеризуется наличием в молекуле специфического циклического скелета — циклопентанпергидрофенантрена, построенного из четырех колец, три из которых шестичленные (А, В и С) и одно — пятичленное (D). Для обозначения различных положений этого кольца принята следующая нумерация. К стеринам (стеролам) относятся стероиды, несущие в положении С-3 гидроксильную группу:
Одним из наиболее важных и хорошо изученных стеринов является холестерин (класс зоостеринов), имеющий бруттоформулу С27Н46О. Он обнаруживается почти во всех органах и тканях животных и человека. Холестерин принимает участие в физиологических процессах, происходящих в живой клетке, без его участия не может развиваться растущий организм. Желчные камни человека на 99% состоят из холестерина, богаты этим соединением надпочечники и другие органы. Спинной мозг и мозг рогатого скота представляет собой наилучший материал для промышленного получения холестерина. Он считался специфическим животным стерином до тех пор, пока он не был обнаружен в некоторых растениях и в морских красных водорослях. Точная структурная формула этого соединения была установлена лишь в 1932 г., хотя впервые он был выделен из желчных камней в 1782 г.
Другие стерины встречающиеся в природе, отличаются от холестерина или по длине боковой цепи, или по степени насыщенности.
Стерины растений (фитостерины). Очень важный класс соединений, они служат источником получения многих ценных стероидных препаратов.
Эргостерин по структуре отличается от холестерина дополнительной метильной группой в боковой цепи при С-24, а также имеет две дополнительные двойные связи: одна из них при С-7, другая в боковой цепи при 22- и 23-углеродных атомах. Эргостерин является провитамином витамина D. Строение эргостерина было установлено в 1934 г.
Он встречается у многочисленных представителей растительного мира, а также у грибов, микроорганизмов и других представителей живого мира. Особенно велико содержание эргостерина у дрожжевых микроорганизмов. Для промышленного получения эргостерина чаще всего используются пекарские дрожжи, содержание эргостерина в них колеблется в зависимости от расы, питательной среды и культивирования от 0,2 до 15% на сухую массу.
Стигмастерин С29H48О — один из наиболее распространенных фитостеринов, он содержится в большом количестве в соевом масле и сахарном тростнике. По структуре стигмастерин отличается от холестерина наличием двойной связи между 22 и 23-углеродными атомами и наличием этильной группы в положении 24:
Другим широко распространенным растительным стерином является
-ситостерин С29Н50О. По строению он сходен со стигмастерином, отличаясь от него лишь отсутствием двойной связи в боковой цепи:
Ситостерины встречаются в хлопковом и соевом маслах, в зародышах пшеницы и натуральном каучуке, в сахарном тростнике и другом растительном материале. Коммерческим источником ситостеринов чаще всего являются тростник и хлопковое масло. Ситостерины и стигмастерин — наиболее перспективные и дешевые исходные продукты для получения стероидных гормонов.
Стерины необходимы для осуществления физиологических и биохимических функций живого организма. Предполагается, что стерины требуются для образования мембранных систем, клеточных оболочек и других структурных образований клетки. Есть данные о том, что стерины являются защитным фактором против токсического действия многих природных соединений.
Основные пути биосинтеза стероидных гормонов из холестерина. В организме животных и человека из холестерина образуются три важные группы гормонов: прогестины, половые гормоны и гормоны коры надпочечников (кортикостероиды). Основные пути биосинтеза этих гормонов показаны на схеме:
При образовании стероидных гормонов из холестерина сначала образуется прегненолон — основной промежуточный продукт биосинтеза стероидов и кортикостероидов. Окисление 3ОН-группы прегненолона в С=0 сопровождается перемещением двойной связи; продуктом этой кетостероидизомеразной реакции является прогестерон — гормон плаценты и желтого тела.
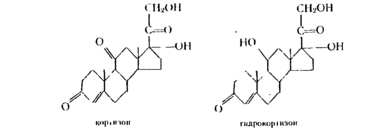
Прегненолон является также предшественником мужских половых гормонов (тестостерона) и женских половых гормонов (эстрогенов — эстрона, эстрадиола). В коре надпочечников прогестерон превращается в кортикостерон и кортизол (гидрокортизон): секреция кортизола достигает у взрослого человека 15—30 мг в день. Эти вещества были первоначально выделены из коры надпочечников в кристаллическом виде.
Кортизол (гидрокортизон) и его синтетические аналоги такие, как преднизолон или дексаметазон, принадлежит к числу современных средств экстренной терапии, благодаря их уникальному противовоспалительному, десенсибилизирующему и противошоковому действию. По своему химическому строению они могут быть разделены на 11-дезоксистероиды, 11-гидроксистероиды, 11,17-дигидрокснстероиды (к последним относятся кортизон и гидрокортизон):
2.2 Основные микробиологические превращения стероидов
Характеристики
Тип файла документ
Документы такого типа открываются такими программами, как Microsoft Office Word на компьютерах Windows, Apple Pages на компьютерах Mac, Open Office - бесплатная альтернатива на различных платформах, в том числе Linux. Наиболее простым и современным решением будут Google документы, так как открываются онлайн без скачивания прямо в браузере на любой платформе. Существуют российские качественные аналоги, например от Яндекса.
Будьте внимательны на мобильных устройствах, так как там используются упрощённый функционал даже в официальном приложении от Microsoft, поэтому для просмотра скачивайте PDF-версию. А если нужно редактировать файл, то используйте оригинальный файл.
Файлы такого типа обычно разбиты на страницы, а текст может быть форматированным (жирный, курсив, выбор шрифта, таблицы и т.п.), а также в него можно добавлять изображения. Формат идеально подходит для рефератов, докладов и РПЗ курсовых проектов, которые необходимо распечатать. Кстати перед печатью также сохраняйте файл в PDF, так как принтер может начудить со шрифтами.
















